MedPath

Oxaliplatin

These highlights do not include all the information needed to use OXALIPLATIN INJECTION, USP safely and effectively. See full prescribing information for OXALIPLATIN INJECTION, USP.OXALIPLATIN Injection, for intravenous use Initial U.S. Approval: 2002

Approved
Approval ID

e12e2850-4980-48de-af58-15e559fb921f

Product Type

HUMAN PRESCRIPTION DRUG LABEL

Effective Date

Aug 13, 2025

Manufacturers
FDA

Fresenius Kabi USA, LLC

DUNS: 608775388

Products 1

Detailed information about drug products covered under this FDA approval, including NDC codes, dosage forms, ingredients, and administration routes.

Oxaliplatin

Product Details

FDA regulatory identification and product classification information

FDA Identifiers
NDC Product Code63323-750
Application NumberANDA078811
Product Classification
M
Marketing Category
C73584
G
Generic Name
Oxaliplatin
Product Specifications
Route of AdministrationINTRAVENOUS
Effective DateAugust 13, 2025
FDA Product Classification

INGREDIENTS (2)

WATERInactive
Code: 059QF0KO0R
Classification: IACT
OXALIPLATINActive
Quantity: 5 mg in 1 mL
Code: 04ZR38536J
Classification: ACTIB

Drug Labeling Information

PACKAGE LABEL.PRINCIPAL DISPLAY PANEL

LOINC: 51945-4Updated: 9/30/2021

PACKAGE LABEL PRINCIPAL DISPLAY PANEL- 50 mg per 10 mL- Vial Carton Panel
** NDC** 63323-750-10 775010
Oxaliplatin Injection, USP
50 mg per 10 mL
** (5 mg per mL)**
For intravenous use only.
MUST BE DILUTED WITH 5% DEXTROSE INJECTION BEFORE USE.
** Preservative free.**
** Cytotoxic agent.**
Do not mix or add to sodium chloride/chloride-containing solutions.

Single Dose Vial Rx only
PACKAGE LABEL PRINCIPAL DISPLAY PANEL- 50 mg per 10 mL- Vial Carton Panel

Boxed Warning section

LOINC: 34066-1Updated: 9/30/2021

WARNING: HYPERSENSITIVITY REACTIONS, INCLUDING ANAPHYLAXIS

See full prescribing information for complete boxed warning.

Serious and fatal hypersensitivity adverse reactions, including anaphylaxis, can occur with OXALIPLATIN INJECTION, USP within minutes of administration and during any cycle. OXALIPLATIN INJECTION, USP is contraindicated in patients with hypersensitivity reactions to oxaliplatin and other platinum-based drugs. Immediately and permanently discontinue OXALIPLATIN INJECTION, USP for hypersensitivity reactions and administer appropriate treatment. (4, 5.1)

INDICATIONS & USAGE SECTION

LOINC: 34067-9Updated: 9/30/2021

1 INDICATIONS AND USAGE

Oxaliplatin Injection, in combination with infusional fluorouracil and leucovorin, is indicated for:

adjuvant treatment of stage III colon cancer in patients who have undergone complete resection of the primary tumor. 

treatment of advanced colorectal cancer. 
Key Highlight

Oxaliplatin Injection is a platinum-based drug used in combination with infusional fluorouracil and leucovorin, which is indicated for:

adjuvant treatment of stage III colon cancer in patients who have undergone complete resection of the primary tumor. (1) 

treatment of advanced colorectal cancer. (1) 

CONTRAINDICATIONS SECTION

LOINC: 34070-3Updated: 9/30/2021

4 CONTRAINDICATIONS

Oxaliplatin is contraindicated in patients with a history of a hypersensitivity reaction to oxaliplatin or other platinum-based drugs. Reactions have included anaphylaxis [see Warnings and Precautions (5.1)].

Key Highlight

History of hypersensitivity reaction to oxaliplatin or other platinum-based drugs. (4, 5.1) 

WARNINGS AND PRECAUTIONS SECTION

LOINC: 43685-7Updated: 9/30/2021

5 WARNINGS AND PRECAUTIONS

5.1 Hypersensitivity Reactions

Serious and fatal hypersensitivity reactions, including anaphylaxis, can occur with Oxaliplatin within minutes of administration and during any cycle. Grade 3-4 hypersensitivity reactions, including anaphylaxis, occurred in 2% to 3% of patients with colon cancer who received Oxaliplatin. Hypersensitivity reactions, including rash, urticaria, erythema, pruritus, and, rarely, bronchospasm and hypotension, were similar in nature and severity to those reported with other platinum-based drugs.

Oxaliplatin is contraindicated in patients with hypersensitivity reactions to platinum-based drugs [see Contraindications (4)]. Immediately and permanently discontinue Oxaliplatin for hypersensitivity reactions and administer appropriate treatment for management of hypersensitivity reactions.

5.2 Peripheral Sensory Neuropathy

Oxaliplatin can cause acute and delayed neuropathy. Reduce the dose or permanently discontinue Oxaliplatin for persistent neurosensory reactions based on the severity of the adverse reaction [see Dosage and Administration (2.3)].

Acute Neuropathy

Acute neuropathy typically presents as a reversible, primarily peripheral sensory neuropathy that occurs within hours or 2 days following a dose, resolves within 14 days, and frequently recurs with further dosing. The symptoms can be precipitated or exacerbated by exposure to cold temperature or cold objects and they usually present as transient paresthesia, dysesthesia and hypoesthesia in the hands, feet, perioral area, or throat. Jaw spasm, abnormal tongue sensation, dysarthria, eye pain, and a feeling of chest pressure have also been observed. The acute, reversible pattern of sensory neuropathy was observed in about 56% of patients who received Oxaliplatin Injection with fluorouracil/leucovorin. In any individual cycle, acute neuropathy occurred in approximately 30% of patients. For grade 3 peripheral sensory neuropathy, the median time to onset was 9 cycles for adjuvant treatment and 6 cycles for previously treated advanced colorectal cancer.

An acute syndrome of pharyngolaryngeal dysesthesia occurred in 1% to 2% (grade 3 to 4) of patients previously untreated for advanced colorectal cancer. Subjective sensations of dysphagia or dyspnea, without any laryngospasm or bronchospasm (no stridor or wheezing) occurred in patients previously treated for advanced colorectal cancer.

Avoid topical application of ice for mucositis prophylaxis or other conditions, because cold temperature can exacerbate acute neurological symptoms.

Delayed Neuropathy

Delayed neuropathy typically presents as a persistent (greater than 14 days), primarily peripheral sensory neuropathy that is usually characterized by paresthesias, dysesthesias, and hypoesthesias, but may also include deficits in proprioception that can interfere with daily activities (e.g., writing, buttoning, swallowing, and difficulty walking from impaired proprioception). These forms of neuropathy occurred in 48% of patients receiving Oxaliplatin. Delayed neuropathy can occur without any prior acute neuropathy. Most patients (80%) who developed grade 3 persistent neuropathy progressed from prior grade 1 or 2 reactions. These symptoms may improve in some patients upon discontinuation of Oxaliplatin.

Adjuvant treatment

In the adjuvant treatment trial, neuropathy was graded using NCI CTC, version 1 as summarized in Table 3.

Table 3: Grading for Neuropathy in Adjuvant Treatment Trial

Grade

Definition

0

No change or none

1

Mild paresthesias, loss of deep tendon reflexes

2

Mild or moderate objective sensory loss, moderate paresthesias

3

Severe objective sensory loss or paresthesias that interfere with function

4

Not applicable

Peripheral sensory neuropathy occurred in 92% of patients (all grades), including 13% of patients (grade 3) who received Oxaliplatin with fluorouracil/leucovorin. At the 28-day follow-up after the last treatment cycle, 60% of patients had any grade (grade 1=40%, grade 2=16%, grade 3=5%) peripheral sensory neuropathy, decreasing to 39% at 6 months of follow-up (grade 1=31%, grade 2=7%, grade 3=1%) and 21% at 18 months of follow-up (grade 1=17%, grade 2=3%, grade 3=1%).

Advanced colorectal cancer

In the advanced colorectal cancer trials, neuropathy was graded using the neurotoxicity scale summarized in Table 4.

Table 4: Grading for Neuropathy in Advanced Colorectal Cancer Trials

Grade

Definition

1

Resolved and did not interfere with functioning

2

Interfered with function but not daily activities

3

Pain or functional impairment that interfered with daily activities

4

Persistent impairment that is disabling or life-threatening

Neuropathy occurred in 82% (all grades) of patients previously untreated for advanced colorectal cancer, including 19% grade 3-4; and in 74% (all grades) of patients previously treated for advanced colorectal cancer, including 7% grade 3-4.

5.3 Severe Myelosuppression

Grade 3 or 4 neutropenia occurred in 41% to 44% of patients with colorectal cancer who received Oxaliplatin with fluorouracil/leucovorin. Sepsis, neutropenic sepsis and septic shock, including fatal outcomes, occurred in patients who received Oxaliplatin [see Adverse Reactions (6.1, 6.2)].

Grade 3 or 4 thrombocytopenia occurred in 2% to 5% of patients with colorectal cancer who received Oxaliplatin with fluorouracil/leucovorin.

Monitor complete blood cell count at baseline, before each subsequent cycle and as clinically indicated. Delay Oxaliplatin until neutrophils are greater than or equal to 1.5 × 109/L and platelets are greater than or equal to 75 × 109/L. Withhold Oxaliplatin for sepsis or septic shock. Dose reduce Oxaliplatin after recovery from grade 4 neutropenia, febrile neutropenia or grade 3-4 thrombocytopenia as recommended [see Dosage and Administration (2.2)].

5.4 Posterior Reversible Encephalopathy Syndrome

PRES occurred in less than 0.1% of patients across clinical trials [see Adverse Reactions (6.1)]. Signs and symptoms of PRES can include headache, altered mental functioning, seizures, abnormal vision from blurriness to blindness, associated or not with hypertension. Confirm the diagnosis of PRES with magnetic resonance imaging. Permanently discontinue Oxaliplatin in patients who develop PRES.

5.5 Pulmonary Toxicity

Oxaliplatin has been associated with pulmonary fibrosis (less than 1% of patients), which may be fatal [see Adverse Reactions (6.1)].

In the adjuvant treatment trial, the combined incidence of cough and dyspnea was 7.4% (any grade), including less than 1% (grade 3) in the Oxaliplatin arm. One patient died from eosinophilic pneumonia in the Oxaliplatin arm.

In the previously untreated advanced colorectal cancer trial, the combined incidence of cough, dyspnea and hypoxia was 43% (any grade), including 7% (grade 3-4) in the Oxaliplatin with fluorouracil/leucovorin arm.

In case of unexplained respiratory symptoms, such as non-productive cough, dyspnea, crackles, or radiological pulmonary infiltrates, withhold Oxaliplatin until further pulmonary investigation excludes interstitial lung disease or pulmonary fibrosis. Permanently discontinue Oxaliplatin for confirmed interstitial lung disease or pulmonary fibrosis.

5.6 Hepatotoxicity

In the adjuvant treatment trial, increased transaminases (57% vs 34%) and alkaline phosphatase (42% vs 20%) occurred more commonly in the Oxaliplatin arm than in the fluorouracil/leucovorin arm [see Adverse Reactions (6.1)]. The incidence of increased bilirubin was similar on both arms. Changes noted on liver biopsies include: peliosis, nodular regenerative hyperplasia or sinusoidal alterations, perisinusoidal fibrosis, and veno-occlusive lesions. Consider evaluating patients who develop abnormal liver tests or portal hypertension which cannot be explained by liver metastases, for hepatic vascular disorders. Monitor liver function tests at baseline, before each subsequent cycle and as clinically indicated.

5.7 QT Interval Prolongation and Ventricular Arrhythmias

QT prolongation and ventricular arrhythmias, including fatal torsade de pointes, have been reported with Oxaliplatin [see Adverse Reactions (6.2)].

Avoid Oxaliplatin in patients with congenital long QT syndrome. Monitor electrocardiograms (ECG) in patients with congestive heart failure, bradyarrhythmias, and electrolyte abnormalities and in patients taking drugs known to prolong the QT interval, including Class Ia and III antiarrhythmics [see Drug Interactions (7.1)]. Monitor and correct electrolyte abnormalities prior to initiating Oxaliplatin and periodically during treatment.

5.8 Rhabdomyolysis

Rhabdomyolysis, including fatal cases, has been reported with Oxaliplatin [see Adverse Reactions (6.2)]. Permanently discontinue Oxaliplatin for any signs or symptoms of rhabdomyolysis.

5.9 Hemorrhage

The incidence of hemorrhage in clinical trials was higher on the Oxaliplatin combination arm compared to the fluorouracil/leucovorin arm. These reactions included gastrointestinal bleeding, hematuria, and epistaxis. In the adjuvant treatment trial, 2 patients died from intracerebral hemorrhage [see Adverse Reactions (6.1)].

Prolonged prothrombin time and INR occasionally associated with hemorrhage have been reported in patients who received Oxaliplatin with fluorouracil/leucovorin while on anticoagulants [see Adverse Reactions (6.2)]. Increase frequency of monitoring in patients who are receiving Oxaliplatin with fluorouracil/leucovorin and oral anticoagulants [see Drug Interactions (7.3)].

Thrombocytopenia and immune-mediated thrombocytopenia have been observed with Oxaliplatin. Rapid onset of thrombocytopenia and greater risk of bleeding have been observed in immune-mediated thrombocytopenia. In this case, consider discontinuing Oxaliplatin.

5.10 Embryo-Fetal Toxicity

Based on findings from animal studies and its mechanism of action, Oxaliplatin can cause fetal harm when administered to a pregnant woman. The available human data do not establish the presence or absence of major birth defects or miscarriage related to the use of Oxaliplatin. Reproductive toxicity studies demonstrated adverse effects on embryo-fetal development in rats at maternal doses that were below the recommended human dose based on body surface area.

Advise pregnant women of the potential risk to a fetus. Advise females of reproductive potential to use effective contraception during treatment with Oxaliplatin and for at least 9 months after the final dose. Advise males with female partners of reproductive potential to use effective contraception during treatment with Oxaliplatin and for 6 months after the final dose [see Use in Specific Populations (8.1, 8.3)].

Key Highlight

 Peripheral Sensory Neuropathy: Acute and delayed neuropathy can occur. Avoid topical application of ice. Reduce the dose or permanently discontinue Oxaliplatin Injection as recommended. (5.2) 

 Severe Myelosuppression: Delay Oxaliplatin Injection until neutrophils are greater than or equal to 1.5 × 109/L and platelets are greater than or equal to 75 × 109/L. Withhold Oxaliplatin Injection for sepsis or septic shock. Dose reduce after recovery from grade 4 neutropenia, febrile neutropenia, or grade 3-4 thrombocytopenia as recommended. (5.3) 

 Posterior Reversible Encephalopathy Syndrome (PRES): Permanently discontinue Oxaliplatin Injection in patients who develop PRES. (5.4) 

 Pulmonary Toxicity: Withhold Oxaliplatin Injection until investigation excludes interstitial lung disease or pulmonary fibrosis. (5.5) 

 Hepatotoxicity: Monitor liver function tests at baseline, before each subsequent cycle, and as clinically indicated. (5.6) 

 QT Interval Prolongation: Avoid in patients with congenital long QT syndrome. Monitor electrocardiograms in patients with congestive heart failure, bradyarrhythmias, and electrolyte abnormalities, and in patients taking drugs known to prolong the QT interval. Correct electrolyte abnormalities prior to initiating Oxaliplatin Injection and periodically during treatment. (5.7) 

 Rhabdomyolysis: Permanently discontinue Oxaliplatin Injection if rhabdomyolysis occurs. (5.8) 

 Hemorrhage: Increase frequency of monitoring in patients who are receiving Oxaliplatin Injection with fluorouracil/leucovorin and oral anticoagulants (5.9) 

 Embryo-Fetal Toxicity: Can cause fetal harm. Advise pregnant women of the potential risk to a fetus. Advise males and females of reproductive potential to use an effective method of contraception. (5.10, 8.1, 8.3) 

ADVERSE REACTIONS SECTION

LOINC: 34084-4Updated: 9/30/2021

6 ADVERSE REACTIONS

The following clinically significant adverse reactions are described elsewhere in labeling:

Hypersensitivity Reactions [see Warnings and Precautions (5.1)]

Peripheral Sensory Neuropathy [see Warnings and Precautions (5.2)]

Severe Myelosuppression [see Warnings and Precautions (5.3)]

Reversible Posterior Leukoencephalopathy Syndrome [see Warnings and Precautions (5.4)]

Pulmonary Toxicity [see Warnings and Precautions (5.5)]

Hepatotoxicity [see Warnings and Precautions (5.6)]

QT Interval Prolongation and Ventricular Arrhythmias [see Warnings and Precautions (5.7)]

Rhabdomyolysis [see Warnings and Precautions (5.8)]

Hemorrhage [see Warnings and Precautions (5.9)]

6.1 Clinical Trials Experience

Because clinical trials are conducted under widely varying conditions, adverse reaction rates observed in the clinical trials of a drug cannot be directly compared to rates in the clinical trials of another drug and may not reflect the rates observed in practice.

More than 1,100 patients with stage II or III colon cancer and more than 4,000 patients with advanced colorectal cancer were treated in trials with Oxaliplatin. The most common adverse reactions in patients with stage II or III colon cancer receiving adjuvant treatment were peripheral sensory neuropathy, neutropenia, thrombocytopenia, anemia, nausea, increase in transaminases and alkaline phosphatase, diarrhea, emesis, fatigue and stomatitis. The most common adverse reactions in previously untreated and treated patients with advanced colorectal cancer were peripheral sensory neuropathies, fatigue, neutropenia, nausea, emesis, and diarrhea.

Adjuvant Treatment

The safety of Oxaliplatin in combination with fluorouracil (FU)/leucovorin (LV) was evaluated in patients with stage II or III colon cancer, who had undergone complete resection of the primary tumor in the adjuvant treatment trial [see Clinical Studies (14.1)].

Fatal adverse reactions in patients who received Oxaliplatin in the combination arm included sepsis/neutropenic sepsis (n=3), intracerebral hemorrhage (n=2) and eosinophilic pneumonia (n=1).

Thromboembolic events occurred in 6% (grade 3-4, 1.2%) of patients in the Oxaliplatin arm.

Grade 3 or 4 adverse reactions occurred in 70% of patients in the Oxaliplatin arm. Grade 3-4 gastrointestinal bleeding occurred in 0.2% of patients. Febrile neutropenia occurred in 0.7% and documented infection with concomitant grade 3-4 neutropenia occurred in 1.1%.

Discontinuation due to an adverse reaction occurred in 15% of the patients in the Oxaliplatin arm.

Tables 5, 6, and 7 summarize the adverse reactions reported in patients with colon cancer receiving adjuvant treatment.

Table 5: Adverse Reactions Reported in Patients with Colon Cancer Receiving Adjuvant Treatment (greater than or equal to 5% of all patients and with greater than or equal to 1% grade 3-4)
  • Event coded in WHO-ART dictionary

† Includes thrombosis related to the catheter

Adverse Reaction*

Oxaliplatin + FU/LV N=1108

FU/LV N=1111

All Grades (%)

Grade 3-4 (%)

All Grades (%)

Grade 3-4 (%)

Neurology

Peripheral Sensory Neuropathy

92

12

16

<1

Gastrointestinal

Nausea

74

5

61

2

Diarrhea

56

11

48

7

Vomiting

47

6

24

1

Stomatitis

42

3

40

2

Anorexia

13

1

8

<1

Constitutional Symptoms/Pain

Fatigue

44

4

38

1

Abdominal Pain

18

1

17

2

Dermatology/Skin

Skin Disorder

32

2

36

2

Injection Site Reaction†

11

3

10

3

Fever/Infection

Fever

27

1

12

1

Infection

25

4

25

3

Allergy/Immunology

Allergic Reaction

10

3

2

<1

Table 6: Adverse Reactions Reported in Patients with Colon Cancer Receiving Adjuvant Treatment (greater than or equal to 5% of all patients but with less than 1% grade 3-4)
  • Event coded in WHO-ART dictionary

† No complete alopecia was reported.
In females, the following grade 3-4 adverse reactions were more frequent: diarrhea, fatigue, neutropenia, nausea, and vomiting.
In patients greater than or equal to 65 years old, the incidence of grade 3-4 diarrhea and neutropenia was higher than in younger adults.
Clinically relevant adverse reactions were reported in greater than or equal to 2% and less than 5% of the patients in the Oxaliplatin arm (listed in decreasing order of frequency) were pain, leukopenia, weight loss, and cough.

Adverse Reaction*

Oxaliplatin + FU/LV N=1108

FU/LV
N=1111

All Grades (%)

All Grades
(%)

Dermatology/Skin

Alopecia†

30

28

Gastrointestinal

Constipation

22

19

Taste Perversion

12

8

Dyspepsia

8

5

Constitutional Symptoms/Pain/Ocular/Visual

Epistaxis

16

12

Weight Increase

10

10

Conjunctivitis

9

15

Headache

7

5

Dyspnea

5

3

Pain

5

5

Abnormal Lacrimation

4

12

Neurology

Sensory Disturbance

8

1

Allergy/Immunology

Rhinitis

6

8

Table 7: Laboratory-Related Adverse Reactions Occurring in ≥5% of Patients with Colon Cancer Receiving Adjuvant Treatment

Laboratory-Related Adverse Reaction

Oxaliplatin with FU/LV
N=1108

FU/LV
N=1111

All Grades
(%)

Grades 3-4
(%)

All Grades
(%)

Grades 3-4
(%)

Hematology

Neutropenia

79

41

40

5

Thrombocytopenia

77

2

19

<1

Anemia

76

1

67

<1

Hepatic

Increased Transaminases

57

2

34

1

Increased Alkaline Phosphatase

42

<1

20

<1

Hyperbilirubinemia

20

4

20

5

Previously Untreated Advanced Colorectal Cancer

The safety of Oxaliplatin in combination with fluorouracil (FU)/leucovorin (LV) was evaluated in a randomized trial of patients with previously untreated advanced colorectal cancer [see Clinical Studies (14.2)]. The adverse reaction profile in this trial was similar to that seen in other trials.

Tables 8, 9, and 10 summarize the adverse reactions reported in the previously untreated advanced colorectal cancer trial.

Table 8: Adverse Reactions Reported in Patients in the Previously Untreated Advanced Colorectal Cancer Clinical Trial (greater than or equal to 5% of all patients and with greater than or equal to 1% grade 3-4)
  • Event coded in WHO-ART dictionary

† Not otherwise specified

‡ Absolute neutrophil count

Adverse Reaction*

Oxaliplatin + FU/LV N=259

Irinotecan + FU/LV N=256

Oxaliplatin +
Irinotecan
N=258

All Grades (%)

Grades 3-4 (%)

All Grades (%)

Grades 3-4 (%)

All Grades (%)

Grades 3-4
(%)

Neurology

Neuropathy

82

19

18

2

69

7

Paresthesias

77

18

16

2

62

6

Pharyngo-laryngeal
Dysesthesias

38

2

1

0

28

1

Neuro-sensory

12

1

2

0

9

1

Neuro NOS†

1

0

1

0

1

0

Gastrointestinal

Nausea

71

6

67

15

83

19

Diarrhea

56

12

65

29

76

25

Vomiting

41

4

43

13

64

23

Stomatitis

38

0

25

1

19

1

Anorexia

35

2

25

4

27

5

Constipation

32

4

27

2

21

2

Diarrhea-colostomy

13

2

16

7

16

3

Gastrointestinal NOS†

5

2

4

2

3

2

Constitutional Symptoms/Pain/Ocular/Visual

Fatigue

70

7

58

11

66

16

Abdominal Pain

29

8

31

7

39

10

Myalgia

14

2

6

0

9

2

Pain

7

1

5

1

6

1

Abnormal Vision

5

0

2

1

6

1

Neuralgia

5

0

0

0

2

1

Pulmonary

Cough

35

1

25

2

17

1

Dyspnea

18

7

14

3

11

2

Hiccups

5

1

2

0

3

2

Hepatic/Metabolic/Laboratory/Renal

Hyperglycemia

14

2

11

3

12

3

Hypokalemia

11

3

7

4

6

2

Dehydration

9

5

16

11

14

7

Hypoalbuminemia

8

0

5

2

9

1

Hyponatremia

8

2

7

4

4

1

Urinary Frequency

5

1

2

1

3

1

Hematology/Infection

Infection Normal ANC‡

10

4

5

1

7

2

Infection Low ANC‡

8

8

12

11

9

8

Lymphopenia

6

2

4

1

5

2

Febrile Neutropenia

4

4

15

14

12

11

Dermatology/Skin

Hand/Foot Syndrome

7

1

2

1

1

0

Injection Site Reaction

6

0

1

0

4

1

Cardiovascular

Thrombosis

6

5

6

6

3

3

Hypotension

5

3

6

3

4

3

Table 9: Adverse Reactions Reported in Patients in the Previously Untreated Advanced Colorectal Cancer Clinical Trial (greater than or equal to 5% of all patients but with less than 1% grade 3-4)
  • Event coded in WHO-ART dictionary

† No complete alopecia was reported.

‡ Absolute neutrophil count

Adverse Reaction*

Oxaliplatin + 5-FU/LV N=259

Irinotecan + 5-FU/LV N=256

Oxaliplatin +
Irinotecan N=258

All Grades (%)

All Grades (%)

All Grades
** (%)**

Dermatology/Skin

Alopecia†

38

44

67

Flushing

7

2

5

Pruritus

6

4

2

Dry Skin

6

2

5

Hematology/Infection

Fever Normal ANC‡

16

9

9

Cardiovascular

Edema

15

13

10

Gastrointestinal

Taste Perversion

14

6

8

Dyspepsia

12

7

5

Flatulence

9

6

5

Mouth Dryness

5

2

3

Constitutional Symptoms/Pain/Ocular/Visual

Headache

13

6

9

Weight Loss

11

9

11

Epistaxis

10

2

2

Tearing

9

1

2

Rigors

8

2

7

Dysphasia

5

3

3

Sweating

5

6

12

Arthralgia

5

5

8

Neurology

Insomnia

13

9

11

Depression

9

5

7

Dizziness

8

6

10

Anxiety

5

2

6

Allergy/Immunology

Rash

11

4

7

Rhinitis Allergic

10

6

6

Hepatic/Metabolic/Laboratory/Renal

Hypocalcemia

7

5

4

Elevated Creatinine

4

4

5

Clinically relevant adverse reactions that occurred in greater than or equal to 2% and less than 5% of the patients in the Oxaliplatin and fluorouracil/leucovorin combination arm (listed in decreasing order of frequency) were: metabolic, pneumonitis, catheter infection, vertigo, prothrombin time, pulmonary, rectal bleeding, dysuria, nail changes, chest pain, rectal pain, syncope, hypertension, hypoxia, unknown infection, bone pain, pigmentation changes, and urticaria.

Table 10: Laboratory-Related Adverse Reactions Occurring in ≥5% of Patients in the Previously Untreated Advanced Colorectal Cancer Trial
  • Aspartate transaminase

† Alanine transaminase

Laboratory-Related
Adverse Reaction

Oxaliplatin and FU/LV N=259

Irinotecan and FU/LV N=256

Oxaliplatin and
Irinotecan N=258

All Grades (%)

Grades 3-4 (%)

All Grades (%)

Grades 3-4 (%)

All Grades (%)

Grades 3-4
(%)

Hematology

Leukopenia

85

20

84

23

76

24

Neutropenia

81

53

77

44

71

36

Thrombocytopenia

71

5

26

2

44

4

Anemia

27

3

28

4

25

3

Hepatic

Increased AST*

17

1

2

1

11

1

Increased Alkaline Phosphatase

16

0

8

0

14

2

Hyperbilirubinemia

6

1

3

1

3

2

Increased ALT†

6

1

2

0

5

2

Previously Treated Advanced Colorectal Cancer

The safety of Oxaliplatin in combination with fluorouracil (FU)/leucovorin (LV) was evaluated in a randomized trial in patients with refractory and relapsed colorectal cancer [see Clinical Studies (14.3)]. The adverse reaction profile in this trial was similar to that seen in other trials.

Three patients who received Oxaliplatin in the combination arm experienced fatal adverse reactions: gastrointestinal bleeding and dehydration.

Grade 3 and 4 neutropenia were reported in 27% and 17% of patients, respectively, in the Oxaliplatin with fluorouracil/leucovorin combination arm. Grade 3-4 increased serum creatinine occurred in 1% of patients in the Oxaliplatin with combination fluorouracil/leucovorin arm.

Thirteen percent of patients in the Oxaliplatin with fluorouracil/leucovorin combination arm discontinued treatment; the most frequent reasons were gastrointestinal adverse reactions, hematologic adverse reactions and neuropathies.

Tables 11, 12, and 13 summarize the adverse reactions reported in the previously treated advanced colorectal cancer trial.

Table 11: Adverse Reactions Reported in Patients in the Previously Treated Advanced Colorectal Cancer Trial (greater than or equal to 5% of all patients and with greater than or equal to 1% grade 3-4)
  • Event coded in WHO-ART dictionary

Adverse Reaction*

Oxaliplatin + FU/LV N=150

Oxaliplatin N=153

FU/LV
N=142

All Grades (%)

Grades 3-4 (%)

All Grades (%)

Grades 3-4 (%)

All Grades (%)

Grades 3-4 (%)

Neurology

Neuropathy

74

7

76

7

17

0

Acute

56

2

65

5

10

0

Persistent

48

6

43

3

9

0

Constitutional Symptoms/Pain

Fatigue

68

7

61

9

52

6

Back Pain

19

3

11

0

16

4

Pain

15

2

14

3

9

3

Gastrointestinal

Diarrhea

67

11

46

4

44

3

Nausea

65

11

64

4

59

4

Vomiting

40

9

37

4

27

4

Stomatitis

37

3

14

0

32

3

Abdominal Pain

33

4

31

7

31

5

Anorexia

29

3

20

2

20

1

Gastroesophageal Reflux

5

2

1

0

3

0

Hematology/Infection

Fever

29

1

25

1

23

1

Febrile Neutropenia

6

6

0

0

1

1

Cardiovascular

Dyspnea

20

4

13

7

11

2

Coughing

19

1

11

0

9

0

Edema

15

1

10

1

13

1

Thromboembolism

9

8

2

1

4

2

Chest Pain

8

1

5

1

4

1

Dermatology/Skin

Injection Site Reaction

10

3

9

0

5

1

Hepatic/Metabolic/Laboratory/Renal

Hypokalemia

9

4

3

2

3

1

Dehydration

8

3

5

3

6

4

Table 12: Adverse Reactions Reported in Patients in the Previously Treated Advanced Colorectal Cancer Clinical Trial (greater than or equal to 5% of all patients but with less than 1% grade 3-4)
  • Event coded in WHO-ART dictionary

† No complete alopecia was reported.

Adverse Reaction*

Oxaliplatin +
FU/LV
N=150

Oxaliplatin
N=153

5-FU/LV
N=142

All Grades (%)

All Grades (%)

All Grades (%)

Gastrointestinal

Constipation

32

31

23

Dyspepsia

14

7

10

Taste Perversion

13

5

1

Mucositis

7

2

10

Flatulence

5

3

6

Constitutional Symptoms/Pain/Ocular/Visual

Headache

17

13

8

Arthralgia

10

7

10

Epistaxis

9

2

1

Abnormal Lacrimation

7

1

6

Rigors

7

9

6

Allergy/Immunology

Rhinitis

15

6

4

Allergic Reaction

10

3

1

Rash

9

5

5

Neurology

Dizziness

13

7

8

Insomnia

9

11

4

Dermatology/Skin

Hand-Foot Syndrome

11

1

13

Flushing

10

3

2

Alopecia†

7

3

3

Pulmonary

Upper Respiratory Tract Infection

10

7

4

Pharyngitis

9

2

10

Cardiovascular

Peripheral Edema

10

5

11

Hepatic/Metabolic/Laboratory/Renal

Hematuria

6

0

4

Dysuria

6

1

1

Clinically relevant adverse reactions in greater than or equal to 2% and less than 5% of the patients in the Oxaliplatin and fluorouracil/leucovorin combination arm (listed in decreasing order of frequency) were: anxiety, myalgia, erythematous rash, increased sweating, conjunctivitis, weight decrease, dry mouth, rectal hemorrhage, depression, ataxia, ascites, hemorrhoids, muscle weakness, nervousness, tachycardia, abnormal micturition frequency, dry skin, pruritus, hemoptysis, purpura, vaginal hemorrhage, melena, somnolence, pneumonia, proctitis, involuntary muscle contractions, intestinal obstruction, gingivitis, tenesmus, hot flashes, enlarged abdomen, and urinary incontinence.

Table 13: Laboratory-Related Adverse Reactions Occurring in ≥5% of Patients with Previously Treated Advanced Colorectal Cancer
  • Alanine transaminase

† Aspartate transaminase

Laboratory-Related Adverse Reaction

Oxaliplatin and FU/LV N=150

Oxaliplatin N=153

FU/LV N=142

All Grades (%)

Grades 3-4 (%)

All Grades (%)

Grades 3-4 (%)

All Grades (%)

Grades 3-4
(%)

Hematology

Anemia

81

2

64

1

68

2

Leukopenia

76

19

13

0

34

1

Neutropenia

73

44

7

0

25

5

Thrombocytopenia

64

4

30

3

20

0

Hepatic

Increased ALT*

31

0

36

1

28

3

Increased AST†

47

0

54

4

39

2

Increased Bilirubin

13

1

13

5

22

6

Additional Adverse Reactions

The following adverse reactions were observed across clinical trials.

Intravenous site reactions

Injection site reaction, including redness, swelling, and pain, can occur with Oxaliplatin. In some cases, skin necrosis has occurred with extravasation.

PRES

PRES occurred in less than 0.1% of patients.

Pulmonary fibrosis and interstitial lung disease

Pulmonary fibrosis, which may be fatal, occurred in less than 1% of patients.

6.2 Postmarketing Experience

The following adverse reactions have been identified during postapproval use of Oxaliplatin. Because these reactions are reported voluntarily from a population of uncertain size, it is not always possible to reliably estimate their frequency or establish a causal relationship to drug exposure.

General: angioedema, anaphylactic shock 

Cardiovascular: QT prolongation leading to ventricular arrhythmias, including fatal torsade de pointes; bradyarrhythmia 

Neurological: loss of deep tendon reflexes, dysarthria, Lhermitte's sign, cranial nerve palsies, fasciculations, convulsion 

Hearing and vestibular system: deafness 

Infections: septic shock, including fatal outcomes 

Infusion-related reactions and hypersensitivity reactions: laryngospasm 

Hepatic and gastrointestinal: severe diarrhea/vomiting resulting in hypokalemia, colitis (including Clostridium difficile diarrhea), metabolic acidosis, ileus, intestinal obstruction, pancreatitis, sinusoidal obstruction syndrome, perisinusoidal fibrosis which rarely may progress, esophagitis 

Musculoskeletal and connective tissue: rhabdomyolysis, including fatal outcomes 

Platelet, bleeding, and clotting disorders: immuno-allergic thrombocytopenia, prolonged prothrombin time and INR in patients receiving anticoagulants 

Blood disorders: secondary leukemia 

Red blood cell: hemolytic uremic syndrome, immuno-allergic hemolytic anemia 

Renal: acute tubular necrosis, acute interstitial nephritis, acute renal failure 

Respiratory: interstitial lung diseases (sometimes fatal) and pneumonia (including fatal outcomes) 

Vision: decrease of visual acuity, visual field disturbance, optic neuritis and transient vision loss (reversible following treatment discontinuation) 

Injury, poisoning, and procedural complications: fall-related injuries 
Key Highlight

Most common adverse reactions (incidence greater than or equal to 40%) were peripheral sensory neuropathy, neutropenia, thrombocytopenia, anemia, nausea, increase in transaminases and alkaline phosphatase, diarrhea, emesis, fatigue, and stomatitis. (6.1)

To report SUSPECTED ADVERSE REACTIONS, contact Fresenius Kabi USA, LLC, Vigilance & Medical Affairs at 1-800-551-7176 or FDA at 1-800-FDA-1088 or www.fda.gov/medwatch.

DRUG INTERACTIONS SECTION

LOINC: 34073-7Updated: 9/30/2021

7 DRUG INTERACTIONS

7.1 Drugs that Prolong the QT Interval

QT interval prolongation and ventricular arrhythmias can occur with Oxaliplatin [see Warnings and Precautions (5.7)]. Avoid coadministration of Oxaliplatin with medicinal products with a known potential to prolong the QT interval.

7.2 Use with Nephrotoxic Drugs

Because platinum-containing species are eliminated primarily through the kidney, clearance of these products may be decreased by coadministration of potentially nephrotoxic compounds [see Clinical Pharmacology (12.3)]. Avoid coadministration of Oxaliplatin with medicinal products known to cause nephrotoxicity.

7.3 Use with Anticoagulants

Prolonged prothrombin time and INR occasionally associated with hemorrhage have been reported in patients who received Oxaliplatin with fluorouracil/leucovorin while on anticoagulants [see Warnings and Precautions (5.10), Adverse Reactions (6.2)]. Increase frequency of monitoring in patients who are receiving Oxaliplatin with fluorouracil/leucovorin and oral anticoagulants.

USE IN SPECIFIC POPULATIONS SECTION

LOINC: 43684-0Updated: 9/30/2021

8 USE IN SPECIFIC POPULATIONS

8.1 Pregnancy

Risk Summary

Based on its direct interaction with DNA, Oxaliplatin can cause fetal harm when administered to a pregnant woman. The available human data do not establish the presence or absence of major birth defects or miscarriage related to the use of Oxaliplatin. Reproductive toxicity studies demonstrated adverse effects on embryo-fetal development in rats at maternal doses that were below the recommended human dose based on body surface area (see Data). Advise a pregnant woman of the potential risk to a fetus.

In the U.S. general population, the estimated background risk of major birth defects and miscarriage in clinically recognized pregnancies is 2% to 4% and 15% to 20%, respectively.

Data

Animal data

Pregnant rats were administered oxaliplatin at less than one-tenth the recommended human dose based on body surface area during gestation days (GD)1-5 (preimplantation), GD 6-10, or GD 11-16 (during organogenesis). Oxaliplatin caused developmental mortality (increased early resorptions) when administered on days GD 6-10 and GD 11-16 and adversely affected fetal growth (decreased fetal weight, delayed ossification) when administered on days GD 6-10.

8.2 Lactation

Risk Summary

There are no data on the presence of oxaliplatin or its metabolites in human or animal milk or its effects on the breastfed infant or on milk production. Because of the potential for serious adverse reactions in breastfed infants, advise women not to breastfeed during treatment with Oxaliplatin and for 3 months after the final dose.

8.3 Females and Males of Reproductive Potential

Pregnancy Testing

Verify pregnancy status in females of reproductive potential prior to initiating Oxaliplatin [see Use in Specific Populations (8.1)].

Contraception

Oxaliplatin can cause embryo-fetal harm when administered to a pregnant woman [see Use in Specific Populations (8.1)].

Females

Advise female patients of reproductive potential to use effective contraception while receiving Oxaliplatin and for 9 months after the final dose.

Males

Based on its mechanism action as a genotoxic drug, advise males with female partners of reproductive potential to use effective contraception while receiving Oxaliplatin and for 6 months after the final dose [see Nonclinical Toxicology (13.1)].

Infertility

Based on animal studies, Oxaliplatin may impair fertility in males and females [see Nonclinical Toxicology (13.1)].

8.4 Pediatric Use

The safety and effectiveness of Oxaliplatin in pediatrics have not been established. Safety and effectiveness were assessed across 4 open-label studies in 235 patients aged 7 months to 22 years with solid tumors.

In a multicenter, open-label, non-comparative, non-randomized study (ARD5531), oxaliplatin was administered to 43 patients with refractory or relapsed malignant solid tumors, mainly neuroblastoma and osteosarcoma. The dose limiting toxicity (DLT) was sensory neuropathy at a dose of 110 mg/m2. The main adverse reactions were: paresthesia (60%, grade 3-4: 7%), fever (40%, grade 3-4: 7%), and thrombocytopenia (40%, grade 3-4: 27%). No responses were observed.

In an open-label non-randomized study (DFI7434), oxaliplatin was administered to 26 pediatric patients with metastatic or unresectable solid tumors, mainly neuroblastoma and ganglioneuroblastoma. The DLT was sensory neuropathy at a dose of 160 mg/m2. No responses were observed.

In an open-label, single-agent study (ARD5021), oxaliplatin was administered to 43 pediatric patients with recurrent or refractory embryonal CNS tumors. The most common adverse reactions reported were: leukopenia (67%, grade 3-4: 12%), anemia (65%, grade 3-4: 5%), thrombocytopenia (65%, grade 3-4: 26%), vomiting (65%, grade 3-4: 7%), neutropenia (58%, grade 3-4: 16%), and sensory neuropathy (40%, grade 3-4: 5%).

In an open-label single-agent study (ARD5530), oxaliplatin was administered to 123 pediatric patients with recurrent solid tumors, including neuroblastoma, osteosarcoma, Ewing sarcoma or peripheral PNET, ependymoma, rhabdomyosarcoma, hepatoblastoma, high grade astrocytoma, Brain stem glioma, low grade astrocytoma, malignant germ cell tumor and other tumors. The most common adverse reactions reported were: sensory neuropathy (52%, grade 3-4: 12%), thrombocytopenia (37%, grade 3-4: 17%), anemia (37%, grade 3-4: 9%), vomiting (26%, grade 3-4: 4%), increased ALT (24%, grade 3-4: 6%), increased AST (24%, grade 3-4: 2%), and nausea (23%, grade 3-4: 3%).

The pharmacokinetic parameters of ultrafiltrable platinum were evaluated in 105 pediatric patients during the first cycle. The mean clearance in pediatric patients estimated by the population pharmacokinetic analysis was 4.7 L/h (%CV, 41%). Mean platinum pharmacokinetic parameters in ultrafiltrate were Cmax of 0.75 ± 0.24 mcg/mL, AUC0-48h of 7.52 ± 5.07 mcg∙h/mL and AUCinf of 8.83 ± 1.57 mcg∙h/mL at 85 mg/m2 of oxaliplatin and Cmax of 1.10 ± 0.43 mcg/mL, AUC0-48h of 9.74 ± 2.52 mcg∙h/mL and AUCinf of 17.3 ± 5.34 mcg∙h/mL at 130 mg/m2 of oxaliplatin.

8.5 Geriatric Use

In the adjuvant treatment trial [see Clinical Studies (14.1)], 400 patients who received Oxaliplatin with fluorouracil/leucovorin were greater than or equal to 65 years. The effect of Oxaliplatin in patients greater than or equal to 65 years was not conclusive. Patients greater than or equal to 65 years receiving Oxaliplatin experienced more diarrhea and grade 3-4 neutropenia (45% vs 39%) compared to patients less than 65 years.

In the previously untreated advanced colorectal cancer trial [see Clinical Studies (14.2)], 99 patients who received Oxaliplatin with fluorouracil and leucovorin were greater than or equal to 65 years. The same efficacy improvements in response rate, time to tumor progression, and overall survival were observed in the greater than or equal to 65 years patients as in the overall study population. Adverse reactions were similar in patients less than 65 and greater than or equal to 65 years, but older patients may have been more susceptible to diarrhea, dehydration, hypokalemia, leukopenia, fatigue, and syncope.

In the previously treated advanced colorectal cancer trial [see Clinical Studies (14.3)], 55 patients who received Oxaliplatin with fluorouracil and leucovorin were greater than or equal to 65 years. No overall differences in effectiveness were observed between these patients and younger adults. Adverse reactions were similar in patients less than 65 and greater than or equal to 65 years, but older patients may have been more susceptible to diarrhea, dehydration, hypokalemia, and fatigue.

No significant effect of age on the clearance of ultrafiltrable platinum has been observed [see Clinical Pharmacology (12.3)].

8.6 Patients with Renal Impairment

The AUC of unbound platinum in plasma ultrafiltrate was increased in patients with renal impairment [see Clinical Pharmacology (12.3)]. No dose reduction is recommended for patients with mild (creatinine clearance 50 to 79 mL/min) or moderate (creatinine clearance 30 to 49 mL/min) renal impairment, calculated by Cockcroft-Gault equation. Reduce the dose of Oxaliplatin in patients with severe renal impairment (creatinine clearance less than 30 mL/min) [see Dosage and Administration (2.3)].

Key Highlight

 Lactation: Advise not to breastfeed. 

REFERENCES SECTION

LOINC: 34093-5Updated: 9/30/2021

15 REFERENCES

“OSHA Hazardous Drugs.” OSHA. http://www.osha.gov/SLTC/hazardousdrugs/index.html 

DOSAGE & ADMINISTRATION SECTION

LOINC: 34068-7Updated: 9/30/2021

2 DOSAGE AND ADMINISTRATION

2.1 Recommended Dosage

Administer Oxaliplatin Injection in combination with fluorouracil and leucovorin every 2 weeks.

For adjuvant treatment, continue treatment for up to 12 cycles or unacceptable toxicity. 

For advanced colorectal cancer, continue treatment until disease progression or unacceptable toxicity. 

Day 1

Administer Oxaliplatin 85 mg/m2 as an intravenous infusion over 120 minutes and leucovorin 200 mg/m2 as an intravenous infusion over 120 minutes at the same time in separate bags, followed by fluorouracil 400 mg/m2 as intravenous bolus over 2 to 4 minutes, followed by fluorouracil 600 mg/m2 as a 22-hour continuous infusion.

Day 2

Administer leucovorin 200 mg/m2 as an intravenous infusion over 120 minutes, followed by fluorouracil 400 mg/m2 as intravenous bolus over 2 to 4 minutes, followed by fluorouracil 600 mg/m2 as a 22-hour continuous infusion.

Refer to the prescribing information for fluorouracil and leucovorin for additional information.

2.2 Dosage Modification for Adverse Reactions

Prolongation of infusion time for Oxaliplatin from 2 hours to 6 hours may mitigate acute toxicities, such as non-life threatening infusion-related reactions.

Permanently discontinue Oxaliplatin for any of the following:

Hypersensitivity Reactions [see Warnings and Precautions (5.1)]

Posterior reversible encephalopathy syndrome (PRES) [see Warnings and Precautions (5.4)]

Confirmed interstitial lung disease or pulmonary fibrosis [see Warnings and Precautions (5.5)]

Rhabdomyolysis [see Warnings and Precautions (5.8)]

Refer to the fluorouracil and leucovorin prescribing information for dosage modifications for adverse reactions.

Dosage Modifications for Adjuvant Treatment

Dosage modifications for adverse reactions for adjuvant treatment are presented in Table 1.

Table 1: Dosage Modifications for Adjuvant Treatment in Patients with Stage III Colon Cancer

Adverse Reactions

Severity

Oxaliplatin Injection Dosage Modifications

Peripheral Sensory Neuropathy [see Warnings and Precautions (5.2)]

Persistent Grade 2

Consider reducing Oxaliplatin Injection dose to 75 mg/m2.

Persistent Grade 3

Consider discontinuing Oxaliplatin Injection.

Grade 4

Discontinue Oxaliplatin Injection.

Myelosuppression
[see Warnings and Precautions (5.3), Adverse Reactions (6.1)].

Grade 4 neutropenia or febrile neutropenia

Delay the next dose until neutrophils greater than or equal to 1.5 × 109/L and platelets greater than or equal to
75 × 109/L.
Reduce Oxaliplatin Injection dose to 75 mg/m2.

Grade 3 to 4 thrombocytopenia

Gastrointestinal Adverse Reactions
[see Adverse Reactions (6.1)]

Grade 3-4

After recovery, reduce Oxaliplatin Injection dose to 75 mg/m2 along with a dose reduction of fluorouracil to 300 mg/m2 as an intravenous bolus and 500 mg/m2 as a 22-hour continuous infusion.

Dosage Modifications for Advanced Colorectal Cancer

Dosage modifications for adverse reactions for advanced colorectal cancer are presented in Table 2.

Table 2: Dosage Modifications for Advanced Colorectal Cancer

Adverse Reactions

Severity

Oxaliplatin Dosage Modifications

Neuropathy
[see Warnings and Precautions (5.2)]

Persistent Grade 2

Consider reducing Oxaliplatin Injection dose to 65 mg/m2.

Persistent Grade 3

Consider discontinuing Oxaliplatin Injection.

Grade 4

Discontinue Oxaliplatin Injection

Myelosuppression

Grade 4 neutropenia or febrile neutropenia

Delay the next dose until neutrophils greater than or equal to 1.5 × 109/L and platelets greater than or equal to 75 × 109/L.

Reduce Oxaliplatin Injection dose to 65 mg/m2.

[see Warnings and Precautions (5.3), Adverse Reactions (6.1)]

Grade 3-4 thrombocytopenia

Gastrointestinal Adverse Reactions
[see Adverse Reactions (6.1)]

Grade 3-4

After recovery, reduce Oxaliplatin Injection dose to 65 mg/ m2 along with a dose reduction of fluorouracil to 300 mg/m2 as an intravenous bolus and 500 mg/m2 as a 22-hour continuous infusion.

2.3 Dosage Modifications for Patients with Renal Impairment

In patients with severe renal impairment (creatinine clearance [CLcr] less than 30 mL/min, calculated by the Cockcroft-Gault equation), reduce the Oxaliplatin Injection dose to 65 mg/m2 [see Use in Specific Populations (8.6), Clinical Pharmacology (12.3)].

2.4 Preparation and Administration

Oxaliplatin Injection is a cytotoxic drug. Follow applicable special handling and disposal procedures.1

Do not freeze. 

Protect the concentrated solution from light. 

Dilute concentrated solution with 250 to 500 mL of 5% Dextrose Injection, USP.**Do not dilute with sodium chloride solution or other chloride-containing solutions.**

Store diluted solution for no more than 6 hours at room temperature (20°C to 25°C [68°F to 77°F]) or 24 hours under refrigeration (2°C to 8°C [36°F to 46°F]). Protection from light is not required. 

Visually inspect for particulate matter and discoloration prior to administration and discard if present. 

Do not mix Oxaliplatin or administer Oxaliplatin through the same infusion line concurrently with alkaline medications or media (such as basic solutions of fluorouracil). 

Flush the infusion line with 5% Dextrose Injection, USP prior to administration of any concomitant medication. 

Do not use needles or intravenous administration sets containing aluminum parts for the preparation or mixing of Oxaliplatin. Aluminum has been reported to cause degradation of platinum compounds. 

Administer Oxaliplatin as an intravenous infusion over 120 minutes concurrently with leucovorin over 120 minutes in separate bags. 
Key Highlight

Administer Oxaliplatin Injection 85 mg/m2 as an intravenous infusion over 120 minutes concurrently with leucovorin over 120 minutes in separate bags, followed by fluorouracil on Day 1 of each 14-day cycle. Administer fluorouracil and leucovorin on Day 2 as recommended. (2.1) 

 Adjuvant Treatment: Continue treatment for up to 12 cycles or unacceptable toxicity. (2.1) 

 Advanced Colorectal Cancer: Continue treatment until disease progression or unacceptable toxicity. (2.1) 

DOSAGE FORMS & STRENGTHS SECTION

LOINC: 43678-2Updated: 9/30/2021

3 DOSAGE FORMS AND STRENGTHS

Injection: 50 mg (5 mg/mL) or 100 mg (5 mg/mL) clear, colorless solution in a single-dose vial.

Key Highlight

Injection: 50 mg (5 mg/mL) or 100 mg (5 mg/mL) in a single-dose vial (3)

OVERDOSAGE SECTION

LOINC: 34088-5Updated: 9/30/2021

10 OVERDOSAGE

The maximum dose of oxaliplatin that has been administered in a single infusion is 825 mg. Several cases of overdoses have been reported with Oxaliplatin. Adverse reactions observed following an overdosage were grade 4 thrombocytopenia (less than 25,000/mm3) without bleeding, anemia, sensory neuropathy (including paresthesia, dysesthesia, laryngospasm and facial muscle spasms), gastrointestinal disorders (including nausea, vomiting, stomatitis, flatulence, abdomen enlarged and grade 4 intestinal obstruction), grade 4 dehydration, dyspnea, wheezing, chest pain, respiratory failure, severe bradycardia and death.

Closely monitor patients suspected of receiving an overdose, including for the adverse reactions described above and administer appropriate supportive treatment.

DESCRIPTION SECTION

LOINC: 34089-3Updated: 9/30/2021

11 DESCRIPTION

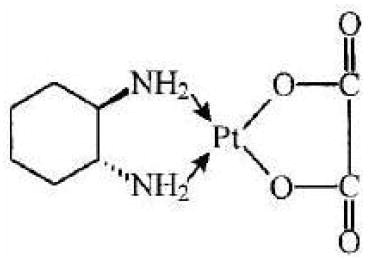
Oxaliplatin is a platinum-based drug with the molecular formula C8H14N2O4Pt and the chemical name of cis-[(1 R,2 R)-1,2-cyclohexanediamine-N,N'] [oxalato(2-)-O,O'] platinum. Oxaliplatin is an organoplatinum complex in which the platinum atom is complexed with 1,2-diaminocyclohexane (DACH) and with an oxalate ligand as a leaving group.

Structural Formula

The molecular weight is 397.3. Oxaliplatin is slightly soluble in water at 6 mg/mL, very slightly soluble in methanol, and practically insoluble in ethanol and acetone.

Oxaliplatin Injection, USP, for intravenous use is supplied in vials containing 50 mg or 100 mg of oxaliplatin as a sterile, preservative-free, aqueous solution at a concentration of 5 mg/mL. Water for Injection, USP is present as an inactive ingredient.

CLINICAL PHARMACOLOGY SECTION

LOINC: 34090-1Updated: 9/30/2021

12 CLINICAL PHARMACOLOGY

12.1 Mechanism of Action

Oxaliplatin undergoes nonenzymatic conversion in physiologic solutions to active derivatives via displacement of the labile oxalate ligand. Several transient reactive species are formed, including monoaquo and diaquo DACH platinum, which covalently bind with macromolecules. Both inter- and intrastrand Pt-DNA crosslinks are formed. Crosslinks are formed between the N7 positions of two adjacent guanines (GG), adjacent adenine-guanines (AG), and guanines separated by an intervening nucleotide (GNG). These crosslinks inhibit DNA replication and transcription. Cytotoxicity is cell-cycle nonspecific.

In vivo studies have shown antitumor activity of oxaliplatin against colon carcinoma. In combination with fluorouracil, oxaliplatin exhibits in vitro and in vivo antiproliferative activity greater than either compound alone in several tumor models (HT29 [colon], GR [mammary], and L1210 [leukemia]).

12.2 Pharmacodynamics

A pharmacodynamic relationship between platinum ultrafiltrate levels and clinical safety and effectiveness has not been established.

12.3 Pharmacokinetics

The reactive oxaliplatin derivatives are present as a fraction of the unbound platinum in plasma ultrafiltrate. After a single 2-hour intravenous infusion of Oxaliplatin at a dose of 85 mg/m2, pharmacokinetic parameters expressed as ultrafiltrable platinum were Cmax of 0.814 mcg/mL and volume of distribution of 440 L.

Interpatient and intrapatient variability in ultrafiltrable platinum exposure (AUC0-48hr) assessed over 3 cycles was 23% and 6%, respectively.

Distribution

At the end of a 2-hour infusion of Oxaliplatin, approximately 15% of the administered platinum is present in the systemic circulation. The remaining 85% is rapidly distributed into tissues or eliminated in the urine. The decline of ultrafiltrable platinum levels following Oxaliplatin administration is triphasic, including two distribution phases (t1/2α; 0.43 hours and t1/2β; 16.8 hours).

In patients, plasma protein binding of platinum is irreversible and is greater than 90%. The main binding proteins are albumin and gamma-globulins.

Platinum also binds irreversibly and accumulates (approximately 2-fold) in erythrocytes, where it appears to have no relevant activity. No platinum accumulation was observed in plasma ultrafiltrate following 85 mg/m2 every two weeks.

Elimination

The decline of ultrafiltrable platinum concentrations from plasma is characterized by a long terminal elimination phase (t1/2γ; 392 hours).

Metabolism

Oxaliplatin undergoes rapid and extensive nonenzymatic biotransformation. There is no evidence of cytochrome P450-mediated metabolism in vitro.

Up to 17 platinum-containing derivatives have been observed in plasma ultrafiltrate samples from patients, including several cytotoxic species (monochloro DACH platinum, dichloro DACH platinum, and monoaquo and diaquo DACH platinum) and a number of noncytotoxic, conjugated species.

Excretion

The major route of platinum elimination is renal excretion. At five days after a single 2-hour infusion of Oxaliplatin, urinary elimination accounted for about 54% of the platinum eliminated, with fecal excretion accounting for only about 2%. Platinum was cleared from plasma at a rate (10 to 17 L/h) that was similar to or exceeded the average human glomerular filtration rate (GFR; 7.5 L/h). The renal clearance of ultrafiltrable platinum is significantly correlated with GFR.

Special Populations

Sex

There was no significant effect of sex on the clearance of ultrafiltrable platinum.

Patients with renal impairment

Patients with normal function (CLcr greater than 80 mL/min) and patients with mild (CLcr=50- 80 mL/min) and moderate (CLcr equal to 30-49 mL/min) renal impairment received Oxaliplatin 85 mg/m2 and those with severe (CLcr less than 30 mL/min) renal impairment received Oxaliplatin 65 mg/m2. Mean dose adjusted AUC of unbound platinum was 40%, 95%, and 342% higher for patients with mild, moderate, and severe renal impairment, respectively, compared to patients with normal renal function. Mean dose adjusted Cmax of unbound platinum appeared to be similar among the normal, mild and moderate renal function groups, but was 38% higher in the severe group than in the normal group [see Dosage and Administration (2.3)].

Drug Interaction Studies

No pharmacokinetic interaction between Oxaliplatin 85 mg/m2 and infusional fluorouracil has been observed in patients treated every 2 weeks, but increases of fluorouracil plasma concentrations by approximately 20% have been observed with doses of 130 mg/m2 of Oxaliplatin administered every 3 weeks.

In vitro platinum was not displaced from plasma proteins by the following medications: erythromycin, salicylate, sodium valproate, granisetron, and paclitaxel.

In vitro Oxaliplatin does not inhibit human cytochrome P450 isoenzymes.

CLINICAL STUDIES SECTION

LOINC: 34092-7Updated: 9/30/2021

14 CLINICAL STUDIES

14.1 Adjuvant Treatment with Oxaliplatin in Combination with Fluorouracil

and Leucovorin

The efficacy of Oxaliplatin in combination with fluorouracil (FU)/leucovorin (LV) was evaluated in an international, multicenter, randomized (1:1) trial (The Multicenter International Study of Oxaliplatin/5-Fluorouracil/Leucovorin in the Adjuvant Treatment of Colon Cancer [MOSAIC], NCT00275210) in patients with stage II (Dukes' B2) or III (Dukes' C) colon cancer who had undergone complete resection of the primary tumor. Patients were randomized to receive Oxaliplatin with fluorouracil/leucovorin or fluorouracil/leucovorin alone for a total of 6 months (i.e., 12 cycles). Table 14 shows the dosing regimens for the two arms.

Eligible patients were between 18 and 75 years of age, had histologically proven stage II (T3-T4 N0 M0; Dukes' B2) or III (any T N1-2 M0; Dukes' C) colon carcinoma (with the inferior pole of the tumor above the peritoneal reflection, i.e., greater than or equal to 15 cm from the anal margin) and had undergone (within 7 weeks prior to randomization) complete resection of the primary tumor without gross or microscopic evidence of residual disease and carcino-embyrogenic antigen (CEA) less than 10 ng/mL. Additional eligibility criteria were no prior chemotherapy, immunotherapy or radiotherapy; Eastern Cooperative Oncology Group performance status of 0, 1, or 2 (Karnofsky Performance Status greater than or equal to 60%); no pre-existing neuropathy; and absolute neutrophil count (ANC) greater than or equal to 1.5 × 109/L, platelets greater than or equal to 100 × 109/L, serum creatinine less than or equal to 1.25 × upper limit normal (ULN), total bilirubin less than 2 × ULN, and aspartate transaminase (AST)/alanine transaminase (ALT) less than 2 × ULN. The major efficacy outcome was 3-year disease-free survival (DFS).

Table 14: Dosing Regimens in Adjuvant Treatment Study

Treatment Arm

Dose

Regimen

Oxaliplatin + FU/LV (FOLFOX4) (N=1123)

Day 1: Oxaliplatin: 85 mg/m2 (2-hour infusion) + LV: 200 mg/m2
(2-hour infusion), followed by FU: 400 mg/m2 (bolus), 600 mg/m2 (22-hour infusion)
Day 2: LV: 200 mg/m2 (2-hour infusion), followed by FU: 400 mg/m2 (bolus), 600 mg/m2 (22-hour infusion)

every 2 weeks
12 cycles

FU/LV (N=1123)

Day 1: LV: 200 mg/m2 (2-hour infusion), followed by FU: 400 mg/m2 (bolus), 600 mg/m2 (22-hour infusion)
Day 2: LV: 200 mg/m2 (2-hour infusion), followed by FU: 400 mg/m2 (bolus), 600 mg/m2 (22-hour infusion)

every 2 weeks
12 cycles

There were 2,246 patients enrolled, of whom 1,347 (60%) had Stage III disease. Tables 15 and 16 show the baseline characteristics and exposure to Oxaliplatin.

Table 15: Baseline Characteristics in Adjuvant Treatment Study

Oxaliplatin + Infusional FU/LV
N=1123

Infusional FU/LV
N=1123

Sex: Male (%)

56.1

52.4

Female (%)

43.9

47.6

Median age (years)

61.0

60.0

<65 years of age (%)

64.4

66.2

≥65 years of age (%)

35.6

33.8

KPS (%)

100

29.7

30.5

90

52.2

53.9

80

4.4

3.3

70

13.2

11.9

≤60

0.6

0.4

Primary site (%)

Colon including cecum

54.6

54.4

Sigmoid

31.9

33.8

Recto sigmoid

12.9

10.9

Other including rectum

0.6

0.9

Bowel obstruction (%)

Yes

17.9

19.3

Perforation (%)

Yes

6.9

6.9

Stage at Randomization (%)

II (T=3,4 N=0, M=0)

40.1

39.9

III (T=any, N=1,2, M=0)

59.6

59.3

IV (T=any, N=any, M=1)

0.4

0.8

Staging – T (%)

T1

0.5

0.7

T2

4.5

4.8

T3

76.0

75.9

T4

19.0

18.5

Staging – N (%)

N0

40.2

39.9

N1

39.4

39.4

N2

20.4

20.7

Staging – M (%)

M1

0.4

0.8

Table 16: Exposure to Oxaliplatin in Adjuvant Treatment Study

Oxaliplatin +
Infusional
FU/LV
N=1108

Infusional
FU/LV
N=1111

Median Relative Dose Intensity (%)

FU

84.4

97.7

Oxaliplatin

80.5

N/A

Median Number of Cycles

12

12

Median Number of Cycles with Oxaliplatin

11

N/A

The median duration of follow-up was approximately 77 months. In the overall and the stage III colon cancer populations, DFS was statistically significantly improved in the Oxaliplatin - containing arm compared to fluorouracil/leucovorin alone; however, a statistically significant improvement in DFS was not observed in Stage II patients. No significant differences in overall survival (OS) were detected in the overall population or those with Stage III disease. Table 17 and Figures 1 and 2 summarize the 5-year DFS rates in the overall randomized population and in patients with stage II and III disease based on an intention-to-treat (ITT) analysis.

Table 17: Summary of DFS Analysis in Adjuvant Treatment Study – ITT Population

A hazard ratio of less than 1 favors Oxaliplatin + Infusional FU/LV

Data cut off for disease-free survival June 1, 2006

Parameter

Oxaliplatin +
Infusional FU/LV

Infusional
FU/LV

Overall

Number of patients

1123

1123

Number of events – relapse or death (%)

304 (27.1)

360 (32.1)

5-yr Disease-free survival % (95% CI)

73.3 (70.7, 76.0)

67.4 (64.6,
70.2)

Hazard ratio (95% CI)

0.80 (0.68, 0.93)

Stratified Log rank test

p=0.003

Stage III (Dukes' C)

Number of patients

672

675

Number of events – relapse or death (%)

226 (33.6)

271 (40.1)

5-yr Disease-free survival % (95% CI)

66.4 (62.7, 70.0)

58.9 (55.2, 62.7)

Hazard ratio (95% CI)

0.78 (0.65, 0.93)

Log rank test

p=0.005

Stage II (Dukes' B2)

Number of patients

451

448

Number of events – relapse or death (%)

78 (17.3)

89 (19.9)

5-yr Disease-free survival % (95% CI)

83.7 (80.2, 87.1)

79.9 (76.2, 83.7)

Hazard ratio (95% CI)

0.84 (0.62, 1.14)

Log rank test

p=0.258

Figure 1: Kaplan-Meier Curves of Disease-Free Survival (cutoff: 1 June 2006) in Adjuvant Treatment Trial – ITT Population

Figure 1

Figure 2: Kaplan-Meier Curves of Disease-Free Survival in Stage III Patients (cutoff: 1 June 2006) in Adjuvant Treatment Trial - ITT Population

Figure 2

Table 18 summarizes the OS results in the overall randomized population and in patients with stage II and III disease, based on the ITT analysis.

Table 18: Summary of OS Analysis in Adjuvant Treatment - ITT Population

A hazard ratio of less than 1 favors Oxaliplatin + Infusional FU/LV

Data cut off for overall survival January 16, 2007

Parameter

Oxaliplatin +
Infusional FU/LV

Infusional FU/LV

Overall

Number of patients

1123

1123

Number of death events (%)

245 (21.8)

283 (25.2)

Hazard ratio (95% CI)

0.84 (0.71, 1.00)

Stage III (Dukes' C)

Number of patients

672

675

Number of death events (%)

182 (27.1)

220 (32.6)

Hazard ratio (95% CI)

0.80 (0.65, 0.97)

Stage II (Dukes' B2)

Number of patients

451

448

Number of death events (%)

63 (14.0)

63 (14.1)

Hazard ratio (95% CI)

1.00 (0.70, 1.41)

14.2 Previously Untreated Advanced Colorectal Cancer

The efficacy of Oxaliplatin in combination with fluorouracil (FU)/leucovorin (LV) was evaluated in a North American, multicenter, open-label, randomized, active-controlled trial (A Randomized Phase III Trial of Three Different Regimens of CPT-11 Plus 5-Fluorouracil and Leucovorin Compared to 5-Fluorouracil and Leucovorin in Patients with Advanced Adenocarcinoma of the Colon and Rectum; NCT00003594). The trial included 7 arms at different times during its conduct, four of which were closed due to either changes in the standard of care, toxicity, or simplification. During the trial, the control arm was changed to irinotecan with fluorouracil/leucovorin.

The results reported below compared the efficacy of Oxaliplatin with fluorouracil/leucovorin and Oxaliplatin with irinotecan to an approved control regimen of irinotecan with fluorouracil/leucovorin in 795 concurrently randomized patients previously untreated for locally advanced or metastatic colorectal cancer. Table 19 presents the dosing regimens for the three arms. After completion of enrollment, the dose of irinotecan with fluorouracil/leucovorin was decreased due to toxicity.

Eligible patients were at least 18 years of age; had known locally advanced, locally recurrent, or metastatic colorectal adenocarcinoma not curable by surgery or amenable to radiation therapy; with an Eastern Cooperative Oncology Group (ECOG) performance status ≤0, 1, or 2. Patients had to have absolute neutrophil count (ANC) greater than or equal to 1.5 × 109/L, platelets greater than or equal to 100 × 109/L, hemoglobin greater than or equal to 9.0 g/dL, creatinine less than or equal to 1.5 × upper limit of normal (ULN), total bilirubin less than or equal to 1.5 mg/dL, aspartate transaminase (AST) less than or equal to 5 × ULN, and alkaline phosphatase less than or equal to 5 × ULN. Patients may have received adjuvant treatment for resected Stage II or III disease without recurrence within 12 months. Randomization was stratified by ECOG performance status (0, 1 vs 2), prior adjuvant chemotherapy (yes vs no), prior immunotherapy (yes vs no), and age (less than 65 vs greater than or equal to 65 years). Although no post study treatment was specified in the protocol, 65% to 72% of patients received additional post study chemotherapy after study treatment discontinuation on all arms. Fifty-eight percent of patients on the Oxaliplatin with fluorouracil/leucovorin arm received an irinotecan-containing regimen and 23% of patients on the irinotecan with fluorouracil/leucovorin arm received an oxaliplatin-containing regimen. The main efficacy outcome measure was 3-year disease-free survival (DFS) and additional efficacy outcome measures were overall survival (OS).

Table 19: Dosing Regimens for Previously Untreated Advanced Colorectal Cancer Clinical Trial

Treatment Arm

Dose

Regimen

Oxaliplatin + FU/LV
(FOLFOX4) (N=267)

Day 1: Oxaliplatin: 85 mg/m2 (2-hour infusion)
+ LV 200 mg/m2 (2-hour infusion), followed by FU: 400 mg/m2 (bolus), 600 mg/m2 (22-hour infusion)

Day 2: LV 200 mg/m2 (2-hour infusion), followed by FU: 400 mg/m2 (bolus), 600 mg/m2 (22-hour infusion)

every 2 weeks

Irinotecan +
FU/LV
(IFL)
(N=264)

Day 1: irinotecan 125 mg/m2 as a 90-min infusion + LV 20 mg/m2 as a 15-min infusion or intravenous push, followed by FU 500 mg/m2 intravenous bolus weekly x 4

every 6 weeks

Oxaliplatin+
Irinotecan
(IROX)
(N=264)

Day 1: Oxaliplatin: 85 mg/m2 intravenous(2-hour infusion) + irinotecan 200 mg/m2 intravenous over 30 minutes

every 3 weeks

Table 20 presents the baseline characteristics.

Table 20: Baseline Characteristics for Previously Untreated Advanced Colorectal Cancer Clinical Trial

Oxaliplatin + FU/LV N=267

Irinotecan + FU/LV N=264

Oxaliplatin + Irinotecan
N=264

Sex: Male (%)

58.8

65.2

61.0

Female (%)

41.2

34.8

39.0

Median age (years)

61.0

61.0

61.0

<65 years of age (%)

61

62

63

≥65 years of age (%)

39

38

37

ECOG (%)

0-1

94.4

95.5

94.7

2

5.6

4.5

5.3

Involved organs (%)

Colon only

0.7

0.8

0.4

Liver only

39.3

44.3

39.0

Liver + other

41.2

38.6

40.9

Lung only

6.4

3.8

5.3

Other (including lymph nodes)

11.6

11.0

12.9

Not reported

0.7

1.5

1.5

Prior radiation (%)

3.0

1.5

3.0

Prior surgery (%)

74.5

79.2

81.8

Prior adjuvant (%)

15.7

14.8

15.2

The median number of cycles administered per patient was 10 (23.9 weeks) for the Oxaliplatin plus fluorouracil/leucovorin regimen, 4 (23.6 weeks) for the irinotecan plus fluorouracil/leucovorin regimen, and 7 (21.0 weeks) for the Oxaliplatin plus irinotecan regimen.

Patients who received Oxaliplatin with fluorouracil/leucovorin had a significantly longer time to tumor progression based on investigator assessment, longer OS, and a significantly higher confirmed response rate based on investigator assessment compared to patients who received irinotecan with fluorouracil/leucovorin. Efficacy results are summarized in Table 21 and Figure 3.

Table 21: Efficacy Results for Previously Untreated Advanced Colorectal Cancer Trial
  • Compared to irinotecan plus fluorouracil/leucovorin (IFL) arm.

† A hazard ratio of less than 1 favors Oxaliplatin + Infusional FU/LV. ‡ Based on all patients with measurable disease at baseline.

The numbers in the response rate and TTP analysis are based on unblinded investigator assessment.

Oxaliplatin + FU/LV N=267

Irinotecan + FU/LV N=264

Oxaliplatin +
Irinotecan
N=264

Survival (ITT)

Number of deaths (%)

155 (58.1)

192 (72.7)

175 (66.3)

Median survival (months)

19.4

14.6

17.6

Hazard ratio (95% CI)

0.65 (0.53, 0.80)*

-

P-value

<0.0001*

-

TTP (ITT, investigator assessment)

Percentage of progressors

82.8

81.8

89.4

Median TTP (months)

8.7

6.9

6.5

Hazard ratio (95% CI)

0.74 (0.61, 0.89)*

-

P-value

0.0014*

-

Response Rate (investigator assessment)****‡

Patients with measurable disease

210

212

215

Complete response, N (%)

13 (6.2)

5 (2.4)

7 (3.3)

Partial response, N (%)

82 (39.0)

64 (30.2)

67 (31.2)

Complete and partial response, N (%)

95 (45.2)

69 (32.5)

74 (34.4)

95% CI

(38.5, 52.0)

(26.2, 38.9)

(28.1, 40.8)

P-value

0.0080*

-

Figure 3: Kaplan-Meier Curves for Overall Survival in Previously Untreated Advanced Colorectal Cancer Trial

Figure 3

*Log rank test comparing Oxaliplatin plus 5-FU/LV to irinotecan plus 5-FU/LV

In descriptive subgroup analyses, the improvement in overall survival (OS) for Oxaliplatin with fluorouracil/leucovorin compared to irinotecan with fluorouracil/leucovorin appeared to be maintained across age groups, prior adjuvant treatment, number of organs involved and both sexes; however, the effect appeared larger among women than men.

14.3 Previously Treated Advanced Colorectal Cancer

The efficacy of Oxaliplatin in combination with fluorouracil (FU)/leucovorin (LV) was evaluated in a multicenter, open-label, randomized, three-arm controlled trial was conducted in the US and Canada in patients with advanced colorectal cancer who had relapsed/progressed during or within 6 months of first-line treatment with bolus fluorouracil/leucovorin and irinotecan (A multicenter, open-label, randomized, three-arm study of 5-fluorouracil (5-FU)

  • leucovorin (LV) or oxaliplatin or a combination of 5-FU/LV + oxaliplatin as second-line treatment of metastatic colorectal carcinoma: NCT00008281). Patients were randomized to one of three regimens; the dosing regimens are presented in Table 22. Eligible patients were at least 18 years of age, had unresectable, measurable, histologically proven colorectal adenocarcinoma, with a Karnofsky performance status (KPS) greater than 50%. Patients had to have aspartate transaminase (AST), alanine transaminase (ALT) and alkaline phosphatase less than or equal to 2× upper limit of normal (ULN), unless liver metastases were present and documented at baseline by CT or MRI scan, in which case less than or equal to 5× ULN was permitted. Prior radiotherapy was permitted if it had been completed at least 3 weeks before randomization. The main efficacy outcome measure was 3-year disease-free survival (DFS) and an additional outcome measure was overall survival (OS).
Table 22: Dosing Regimens in Refractory and Relapsed Colorectal Cancer Trial

Treatment Arm

Dose

Regimen

Oxaliplatin +
FU/LV
(N=152)

Day 1: Oxaliplatin: 85 mg/m2 (2-hour infusion) + LV 200 mg/m2 (2-hour infusion), followed by FU: 400 mg/m2 (bolus), 600 mg/m2 (22-hour infusion)

Day 2: LV 200 mg/m2 (2-hour infusion), followed by FU: 400 mg/m2 (bolus), 600 mg/m2 (22-hour infusion)

every 2 weeks

FU/LV
(N=151)

Day 1: LV 200 mg/m2 (2-hour infusion), followed by
FU: 400 mg/m2 (bolus), 600 mg/m2 (22-hour infusion)

Day 2: LV 200 mg/m2 (2-hour infusion), followed by
FU: 400 mg/m2 (bolus), 600 mg/m2 (22-hour infusion)

every 2 weeks

Oxaliplatin
(N=156)

Day 1: Oxaliplatin 85 mg/m2 (2-hour infusion)

every 2 weeks

Patients must have had at least one unidimensional lesion measuring greater than or equal to 20 mm using conventional CT or MRI scans or greater than or equal to10 mm using a spiral CT scan. Tumor response and progression were assessed every 3 cycles (6 weeks) using the Response Evaluation Criteria in Solid Tumors (RECIST) until radiological documentation of progression or for 13 months following the first dose of study drug(s), whichever came first. Confirmed responses were based on two tumor assessments separated by at least 4 weeks.

Baseline characteristics are shown in Table 23.

Table 23: Baseline Characteristics in Refractory and Relapsed Colorectal Cancer Trial

Oxaliplatin+
FU/LV
N = 152

Oxaliplatin
N = 156

FU/LV
N = 151

Sex: Male (%)

57.2

60.9

54.3

Female (%)

42.8

39.1

45.7

Median age (years)

59.0

61.0

60.0

Range

22-88

27-79

21-80

Race (%)

Caucasian

88.8

84.6

87.4

Black

5.9

7.1

7.9

Asian

2.6

2.6

1.3

Other

2.6

5.8

3.3

KPS (%)

70-100

95.4

92.3

94.7

50-60

2.0

4.5

2.6

Not reported

2.6

3.2

2.6

Prior radiotherapy (%)

25.0

19.2

25.2

Prior pelvic radiation (%)

21.1

13.5

18.5

Number of metastatic sites (%)

1

25.7

31.4

27.2

≥ 2

74.3

67.9

72.2

Liver involvement (%)

Liver only

18.4

25.6

22.5

Liver + other

53.3

59.0

60.3

The median number of cycles administered per patient was 6 for the Oxaliplatin and fluorouracil/leucovorin combination and 3 each for fluorouracil/leucovorin alone and Oxaliplatin alone. Patients treated with the combination of Oxaliplatin and fluorouracil/leucovorin had an increased response rate compared to patients given fluorouracil/leucovorin or oxaliplatin alone. Efficacy results are summarized in Tables 24 and 25.

Table 24: Response Rates in Refractory and Relapsed Colorectal Cancer Clinical Trial - ITT Analysis

Best Response

Oxaliplatin +
FU/LV
N=152

Oxaliplatin N=156

FU/LV
N=151

Complete Response

0

0

0

Partial Response

13 (9%)

2 (1%)

0

P-value

0.0002 FU/LV vs Oxaliplatin + FU/LV

95% CI

4.6%, 14.2%

0.2%, 4.6%

0, 2.4%

Table 25: Radiographic Time to Progression (TTP)* in Refractory and Relapsed Colorectal Cancer Clinical Trial
  • This is not an ITT analysis. Events were limited to radiographic disease progression documented by independent review of radiographs. Clinical progression was not included in this analysis, and 18% of patients were excluded from the analysis based on unavailability of the radiographs for independent review.

Arm

Oxaliplatin +
FU/LV
N=152

Oxaliplatin
N=156

FU/LV
N=151

Number of progressors

50

101

74

Number of patients with no radiological evaluation beyond baseline

17 (11%)

16 (10%)

22 (15%)

Median TTP (months)

4.6

1.6

2.7

95% CI

4.2, 6.1

1.4, 2.7

1.8, 3.0

At the time of the interim analysis 49% of the radiographic progression events had occurred. In this interim analysis an estimated 2-month increase in median time to radiographic progression was observed compared to fluorouracil/leucovorin alone.

INFORMATION FOR PATIENTS SECTION

LOINC: 34076-0Updated: 9/30/2021

17 PATIENT COUNSELING INFORMATION

Hypersensitivity Reactions

Advise patients of the potential risk of hypersensitivity and that Oxaliplatin is contraindicated in patients with a history of hypersensitivity reactions to oxaliplatin and other platinum-based drugs. Instruct patients to seek immediate medical attention for signs of severe hypersensitivity reaction such as chest tightness; shortness of breath; wheezing; dizziness or faintness; or swelling of the face, eyelids, or lips [see Warnings and Precautions (5.1)].

Peripheral Sensory Neuropathy

Advise patients of the risk of acute reversible or persistent-type neurosensory toxicity. Advise patients to avoid cold drinks, use of ice, and exposure of skin to cold temperature or cold objects [see Warnings and Precautions (5.2)].

Myelosuppression

Inform patients that Oxaliplatin can cause low blood cell counts and the need for frequent monitoring of blood cell counts. Advise patients to contact their healthcare provider immediately for bleeding, fever, particularly if associated with persistent diarrhea, or symptoms of infection develop [see Warnings and Precautions (5.3)].

Posterior Reversible Encephalopathy Syndrome

Advise patients of the potential effects of vision abnormalities, in particular transient vision loss (reversible following therapy discontinuation), which may affect the patients' ability to drive and use machines [see Warnings and Precautions (5.4)].

Pulmonary Toxicity

Advise patients to report immediately to their healthcare provider any persistent or recurrent respiratory symptoms, such as non-productive cough and dyspnea [see Warnings and Precautions (5.5)].

Hepatotoxicity

Advise patients to report signs or symptoms of hepatic toxicity to their healthcare provider [see Warnings and Precautions (5.6)].

QT Interval Prolongation

Advise patients that Oxaliplatin can cause QTc interval prolongation and to inform their physician if they have any symptoms, such as syncope [see Warnings and Precautions (5.7)].

Rhabdomyolysis

Advise patients to contact their healthcare provider immediately for new or worsening signs or symptoms of muscle toxicity, dark urine, decreased urine output, or the inability to urinate [see Warnings and Precautions (5.8)].

Hemorrhage

Advise patients that Oxaliplatin may increase the risk of bleeding and to promptly inform their healthcare provider of any bleeding episodes [see Warnings and Precautions (5.9)].

Embryo-Fetal Toxicity

Advise females of reproductive potential of the potential risk to a fetus. Advise females to inform their healthcare provider of a known or suspected pregnancy [see Warnings and Precautions (5.10), Use in Specific Populations (8.1)].

Advise females of reproductive potential to use effective contraception during treatment with Oxaliplatin and for 9 months after the final dose [see Use in Specific Populations (8.3)].

Advise male patients with female partners of reproductive potential to use effective contraception during treatment with Oxaliplatin and for 6 months after the final dose [see Use in Specific Populations (8.3), Nonclinical Toxicology (13.1)].

Lactation

Advise women not to breastfeed during treatment with Oxaliplatin and for 3 months after the final dose [see Use in Specific Populations (8.2)].

Infertility

Advise females and males of reproductive potential that Oxaliplatin may impair fertility [see Use in Specific Populations (8.3), Nonclinical Toxicology (13.1)].

Gastrointestinal

Advise patients to contact their healthcare provider for persistent vomiting, diarrhea, or signs of dehydration [see Adverse Reactions (6.1)].

Drug Interactions

Inform patients about the risk of drug interactions and the importance of providing a list of prescription and nonprescription drugs to their healthcare provider [see Drug Interactions (7)].

Fresenius Kabi Logo

For Product Inquiry:
1-800-551-7176 or www.fresenius-kabi.com/us
451426C

SPL PATIENT PACKAGE INSERT SECTION

LOINC: 42230-3Updated: 9/30/2021

Patient Information

Oxaliplatin Injection (ox-AL-i-PLA-tin)

for intravenous use

What is the most important information I should know about Oxaliplatin Injection?

Oxaliplatin Injection can cause serious allergic reactions, including allergic reactions that can lead to death. Oxaliplatin is a platinum-based medicine. Serious allergic reactions including death can happen in people who take Oxaliplatin and who have had previous allergic reactions to platinum- based medicines. Serious allergic reactions can happen within a few minutes of your Oxaliplatin infusion or any time during your treatment with Oxaliplatin Injection.

Get emergency help right away if you:

**have trouble breathing**

**feel like your throat is closing up**

Call your doctor right away if you have any of the following signs or symptoms of an allergic reaction:

rash 

flushed face 

hives 

itching 

swelling of your lips or tongue 

sudden cough 

dizziness or feel faint 

sweating 

chest pain 

See**"What are the possible side effects of Oxaliplatin Injection?"** for information about other serious side effects.

What is Oxaliplatin Injection?

Oxaliplatin is an anti-cancer (chemotherapy) medicine that is used with other anti-cancer medicines called fluorouracil and leucovorin to treat people with:

stage III colon cancer after surgery to remove the tumor 

advanced colon or rectal cancer (colorectal cancer) 

It is not known if Oxaliplatin Injection is effective in children.

Who should not receive Oxaliplatin Injection?

Do not receive Oxaliplatin Injection if you are allergic to any of the ingredients in Oxaliplatin Injection or other medicines that contain platinum. See the end of this leaflet for a complete list of the ingredients Oxaliplatin Injection.

Ask your doctor if you are not sure if you take a medicine that contains platinum.

What should I tell my doctor before receiving Oxaliplatin Injection?

Before receiving Oxaliplatin Injection, tell your doctor about all of your medical conditions, including if you:

have an infection 

have lung, liver, or kidney problems 

have bleeding problems 

have or had heart problems such as an abnormal heart test called an electrocardiogram (ECG or EKG), a condition called long QT syndrome, an irregular or slow heartbeat, or a family history of heart problems. 

have had changes in the level of certain blood salt (electrolytes) levels, including potassium, magnesium, and calcium 

are pregnant or plan to become pregnant. Oxaliplatin Injection may harm your unborn baby. Tell your doctor right away if you become pregnant or think you may be pregnant during treatment with Oxaliplatin Injection. 

if you are able to become pregnant, your doctor may do a pregnancy test before you start treatment with Oxaliplatin Injection and for 9 months after the final dose. Talk to your doctor about forms of birth control that may be right for you. 

Females who are able to become pregnant should avoid becoming pregnant and should use effective birth control during treatment with Oxaliplatin Injection and for 9 months after the final dose. Talk to your doctor about forms of birth control that may be right for you. 

Males with female partners who are pregnant or able to become pregnant should use effective birth control during treatment with Oxaliplatin Injection and for 6 months after the final dose. 

Oxaliplatin Injection may cause fertility problems in males and females. Talk to your doctor if this is a concern for you. 

are breastfeeding or plan to breastfeed. It is not known if Oxaliplatin passes into your breast milk. Do not breastfeed during treatment with Oxaliplatin Injection and for 3 months after the final dose. 

Tell your doctor about all the medicines you take, including prescription and over-the-counter medicines, vitamins, and herbal supplements.

Know the medicines you take. Keep a list of them and show it to your doctor and pharmacist when you get a new medicine.

How will I receive Oxaliplatin Injection?

Oxaliplatin Injection is given to you into your vein through an intravenous (IV) tube. 

Your doctor will prescribe Oxaliplatin Injection in a dose that is right for you. 

Your doctor may change how often you receive Oxaliplatin Injection, your dose, or how long your infusion will take. 

You and your doctor will decide how many Oxaliplatin Injection treatments you will receive. 

It is very important that you do exactly what your doctor and nurse tell you to do. 

Some medicines may be given to you before Oxaliplatin Injection to help prevent nausea and vomiting. 

Each treatment course is given to you over 2 days. You will receive Oxaliplatin Injection on the first day only. 

There are usually 14 days between each chemotherapy treatment course. 

It is important for you to keep all of your medical appointments. Call your doctor if you miss an appointment. There may be special instructions for you. 

Treatment Day 1:

o

Oxaliplatin and leucovorin will be given through a thin plastic tube into a vein (intravenous infusion or IV) and given for 2 hours. You will be watched by a healthcare provider during this time. 

o

Right after the Oxaliplatin and leucovorin are given, 2 doses of fluorouracil will be given. The first dose is given right away into your IV tube. The second dose will be given into your IV tube over the next 22 hours, using a pump device. 

Treatment Day 2:

Youwill not get Oxaliplatin on Day 2. Leucovorin and fluorouracil will be given the same way as on Day 1.

The fluorouracil will be given through your IV with a pump. If you have any problems with the pump or the tube, call your doctor, your nurse, or the person who is responsible for your pump. Do not let anyone other than a healthcare provider touch your infusion pump or tubing.

What should I avoid while receiving Oxaliplatin Injection?

Avoid cold temperatures and cold objects. Cover your skin if you go outdoors in cold temperatures. 

Do not drink cold drinks or use ice cubes in drinks. 

Do not put ice or ice packs on your body. 

Oxaliplatin Injection can cause dizziness, vision problems, or vision loss that can affect your ability to drive or use machines. You should not drive or operate machinery if you develop these symptoms while receiving Oxaliplatin Injection. 

See**“How can I reduce the side effects caused by cold temperatures?”** for more information.

Talk with your doctor and nurse about your level of activity during treatment with Oxaliplatin Injection. Follow their instructions.

What are the possible side effects of Oxaliplatin Injection?

Oxaliplatin Injection can cause serious side effects, including:

**See "****What is the most important information I should know about Oxaliplatin Injection?****"**

**Nerve problems.** Oxaliplatin Injection can affect how your nerves work and make you feel. Nerve problems may happen with the first treatment or within two days after your treatment of Oxaliplatin Injection. Nerve problems may last a short time (acute) or may become persistent. Symptoms may improve after stopping treatment with Oxaliplatin Injection. Exposure to cold or cold objects may cause or worsen nerve problems. Tell your doctor right away if you get any signs of nerve problems, including:

o

very sensitive to cold temperatures and cold objects 

o

trouble breathing, swallowing, or saying words, jaw tightness, odd feelings in your tongue, or chest pressure 

o

pain, tingling, burning (pins and needles, numb feeling) in your hands, feet, or around your mouth or throat, which may cause problems walking, fall, or performing activities of daily living 

For information on ways to lessen or help with the nerve problems, see the end of this leaflet,How can I reduce the side effects caused by cold temperatures?

**Posterior Reversible Encephalopathy Syndrome (PRES)**. PRES is a rare condition that affects the brain. Tell your doctor right away if you have any of the following signs and symptoms of PRES:

o

headache 

o

confusion or a change in the way you think 

o

seizures 

o

vision problems, such as blurriness or vision loss 

**Low blood cell counts (myelosuppression)**. Oxaliplatin Injection when used with fluorouracil and leucovorin can cause low blood cells counts. Low blood cell counts are common with Oxaliplatin Injection when used with fluorouracil and leucovorin and can lead to serious infection and death. Tell your doctor right away if you have a fever greater than 100.9°F (38.3°C) or a prolonged fever greater than 100.4°F (38°C) for more than one hour (febrile neutropenia). Call your doctor right away if you get any of the following signs of infection:

o

chills or shivering 

o

pain on swallowing 

o

sore throat 

o

cough that brings up mucus 

o

burning or pain on urination 

o

redness or swelling at intravenous site 

o

persistent diarrhea 

**Risk of new cancers.** Leukemia, a form of blood cancer, has been reported in patients after taking Oxaliplatin Injection in combination with certain other medicines. Talk to your doctor about the potential for increased risk of this type of cancer when taking Oxaliplatin Injection and certain other medicines. 

**Lung problems**. Oxaliplatin Injection can cause lung problems that may lead to death. Tell your doctor right away if you get any of the following symptoms as these may be indicators of a serious lung disease:

o

shortness of breath 

o

wheezing 

o

cough 

**Liver problems (hepatotoxicity)**. Your doctor will do blood tests to check your liver when you start receiving Oxaliplatin Injection, and before each treatment course as needed. 

**Heart problems**. Oxaliplatin Injection can cause heart problems that have led to death. Your doctor may do blood and heart tests during treatment with Oxaliplatin Injection if you have certain heart problems. If you faint (lose consciousness) or have an irregular heartbeat or chest pain during treatment with Oxaliplatin Injection, get medical help right away as this may be a sign of a serious heart condition. 

**Muscle problems**. Oxaliplatin Injection can cause muscle damage (rhabdomyolysis) which can lead to death. Tell your doctor right away if you have muscle pain and swelling, along with weakness, fever, or red-brown urine. 

**Harm to an unborn baby.** See**"****What should I tell my doctor before receiving Oxaliplatin Injection?****"**

**Bleeding problems (hemorrhage).** Oxaliplatin Injection when used with fluorouracil and leucovorin can cause bleeding problems (hemorrhage) that can lead to death. Your risk of bleeding may increase if you are also taking a blood thinner medicine. Tell your healthcare provider if you have any signs or symptoms of bleeding, including:

o

blood in your stools or black stools (looks like tar) 

o

pink or brown urine 

o

unexpected bleeding, or bleeding that is severe or you cannot control 

o

vomit blood or vomit that looks like coffee grounds 

o

cough up blood or blood clots 

o

increased bruising 

o

dizziness 

o

weakness 

o

confusion 

o

changes in speech 

o

headache that lasts a long time 

The most common side effects of Oxaliplatin Injection include:

numbness, pain, tingling, and/or burning along the nerves 

low white blood cells (blood cells important for fighting infection) 

low platelet count (important for clotting and to control bleeding) 

low red blood cells (blood cells that carry oxygen to the tissues) 

nausea 

changes in liver function tests 

diarrhea 

vomiting 

tiredness 

mouth sores 

Tell your doctor if you have any side effect that bothers your or that does not go away. These are not all the possible side effects of Oxaliplatin Injection. For more information, ask your doctor or pharmacist.

Call your doctor for medical advice about side effects. You may report side effects to FDA at 1-800-FDA-1088.

How can I reduce the side effects caused by cold temperatures?

Cover yourself with a blanket while you are getting your Oxaliplatin infusion. 

Do not breathe deeply when exposed to cold air. 

Wear warm clothing in cold weather at all times. Cover your mouth and nose with a scarf or a pull-down cap (ski cap) to warm the air that goes to your lungs. 

Wear gloves when taking things from the freezer or refrigerator. 

Drink fluids warm or at room temperature. 

Always drink through a straw. 

**Do not** use ice chips if you have nausea or mouth sores. Ask your doctor about what you can use. 

Be aware that most metals are cold to touch, especially in the winter. These include your car door and mailbox. Wear gloves to touch cold objects. 

Do not run the air-conditioning at high levels in the house or in the car in hot weather. 

If your body gets cold, warm-up the affected part. If your hands get cold, wash them with warm water. 

Always let your doctor know**before** your next treatment how well you did since your last visit. 

Your doctor may have other useful tips for helping you with side effects.

General information about the safe and effective use of Oxaliplatin Injection

Medicines are sometimes prescribed for purposes other than those listed in the Patient Information leaflet.

This Patient Information leaflet summarizes the most important information about Oxaliplatin Injection. If you would like more information, talk with your doctor. You can ask your doctor or pharmacist for information about Oxaliplatin Injection that is written for health professionals.

What are the ingredients in Oxaliplatin Injection?

Active ingredient: oxaliplatin

Inactive ingredient: water for injection

Fresenius Kabi Logo

For Product Inquiry:
1-800-551-7176 or www.fresenius-kabi.com/us
451427C
Revised: September 2021

This Patient Information has been approved by the U.S. Food and Drug Administration.

HOW SUPPLIED SECTION

LOINC: 34069-5Updated: 9/30/2021

16 HOW SUPPLIED/STORAGE AND HANDLING

Oxaliplatin Injection, USP is supplied in clear, glass, single-dose vials containing 50 mg or 100 mg of oxaliplatin as a clear, colorless, sterile, preservative-free, aqueous solution at a concentration of 5 mg per mL. Water for Injection USP is present as an inactive ingredient.

Product Code

Unit of Sale

Strength

Each

775010

NDC 63323-750-10
Individually packaged

50 mg per 10 mL (5 mg per mL)

10 mL Single Dose Vial

775020

NDC 63323-750-20
Individually packaged

100 mg per 20 mL (5 mg per mL)

20 mL Single Dose Vial

The container closure is not made with natural rubber latex.

Store at 20°C to 25°C (68° to 77°F) [see USP Controlled Room Temperature]. Do not freeze and protect from light (keep in original outer carton).

Oxaliplatin is a cytotoxic drug. Follow applicable special handling and disposal procedures.1 The use of gloves is recommended. If a solution of Oxaliplatin contacts the skin, wash the skin immediately and thoroughly with soap and water. If Oxaliplatin contacts the mucous membranes, flush thoroughly with water.

NONCLINICAL TOXICOLOGY SECTION

LOINC: 43680-8Updated: 9/30/2021

13 NONCLINICAL TOXICOLOGY

13.1 Carcinogenesis, Mutagenesis, Impairment of Fertility

Long-term animal studies have not been performed to evaluate the carcinogenic potential of oxaliplatin. Oxaliplatin was not mutagenic to bacteria (Ames test) but was mutagenic to mammalian cells in vitro (L5178Y mouse lymphoma assay). Oxaliplatin was clastogenic both in vitro (chromosome aberration in human lymphocytes) and in vivo (mouse bone marrow micronucleus assay).

In a fertility study, male rats were given oxaliplatin at 0, 0.5, 1, or 2 mg/kg/day for five days every 21 days for a total of three cycles prior to mating with females that received two cycles of oxaliplatin on the same schedule. A dose of 2 mg/kg/day (less than one-seventh the recommended human dose on a body surface area basis) did not affect pregnancy rate, but resulted in 97% postimplantation loss (increased early resorptions, decreased live fetuses, decreased live births) and delayed growth (decreased fetal weight).

Testicular damage, characterized by degeneration, hypoplasia, and atrophy, was observed in dogs administered oxaliplatin at 0.75 mg/kg/day (approximately one-sixth of the recommended human dose on a body surface area basis) x 5 days every 28 days for three cycles. A no effect level was not identified.

MedPath

Empowering clinical research with data-driven insights and AI-powered tools.

© 2025 MedPath, Inc. All rights reserved.