MedPath

Clindamycin Phosphate

Clindamycin Phosphate Topical Solution USP, 1%

Approved
Approval ID

585e8b72-b350-451f-a232-199b1a01e8ce

Product Type

HUMAN PRESCRIPTION DRUG LABEL

Effective Date

Oct 5, 2022

Manufacturers
FDA

Viona Pharmaceuticals Inc

DUNS: 081468959

Products 1

Detailed information about drug products covered under this FDA approval, including NDC codes, dosage forms, ingredients, and administration routes.

Clindamycin Phosphate

Product Details

FDA regulatory identification and product classification information

FDA Identifiers
NDC Product Code72578-084
Application NumberANDA208767
Product Classification
M
Marketing Category
C73584
G
Generic Name
Clindamycin Phosphate
Product Specifications
Route of AdministrationTOPICAL
Effective DateOctober 5, 2022
FDA Product Classification

INGREDIENTS (4)

CLINDAMYCIN PHOSPHATEActive
Quantity: 10 mg in 1 mL
Code: EH6D7113I8
Classification: ACTIB
ISOPROPYL ALCOHOLInactive
Code: ND2M416302
Classification: IACT
PROPYLENE GLYCOLInactive
Code: 6DC9Q167V3
Classification: IACT
WATERInactive
Code: 059QF0KO0R
Classification: IACT

Drug Labeling Information

PACKAGE LABEL.PRINCIPAL DISPLAY PANEL

LOINC: 51945-4Updated: 10/5/2022

PACKAGE LABEL.PRINCIPAL DISPLAY PANEL

NDC 72578-084-02

Clindamycin phosphate topical solution USP, 1%

Rx only

30 ml

30 ml

INDICATIONS & USAGE SECTION

LOINC: 34067-9Updated: 10/5/2022

INDICATIONS AND USAGE

Clindamycin phosphate topical solution USP, 1% is indicated in the treatment of acne vulgaris. In view of the potential for diarrhea, bloody diarrhea and pseudomembranous colitis, the physician should consider whether other agents are more appropriate (see CONTRAINDICATIONS, WARNINGS and ADVERSE REACTIONS).

CONTRAINDICATIONS SECTION

LOINC: 34070-3Updated: 10/5/2022

CONTRAINDICATIONS

Clindamycin phosphate topical solution is contraindicated in individuals with a history of hypersensitivity to preparations containing clindamycin or lincomycin, a history of regional enteritis or ulcerative colitis, or a history of antibiotic-associated colitis.

ADVERSE REACTIONS SECTION

LOINC: 34084-4Updated: 10/5/2022

ADVERSE REACTIONS

In 18 clinical studies of various formulations of Clindamycin phosphate using placebo vehicle and/or active comparator drugs as controls, patients experienced a number of treatment emergent adverse dermatologic events [see table below].

not recorded

  • of 126 subjects

** Treatment**
** Emergent Adverse Event**

** Number of Patients Reporting Events**

** Solution**
** n=553(%)**

** Gel**
** n=148(%)**

** Lotion**
** n=160(%)**

Burning

62 (11)

15 (10)

17 (11)

Itching

36 ( 7)

15 (10)

17 (11)

Burning/Itching

60 (11)

( – )

( – )

Dryness

105 (19)

34 (23)

29 (18)

Erythema

86 (16)

10 ( 7)

22 (14)

Oiliness/Oily Skin

8 ( 1)

26 (18)

12* (10)

Peeling

61 (11)

( – )

11 ( 7)

Orally and parenterally administered clindamycin has been associated with severe colitis which may end fatally.

Cases of diarrhea, bloody diarrhea and colitis (including pseudomembranous colitis) have been reported as adverse reactions in patients treated with oral and parenteral formulations of clindamycin and rarely with topical clindamycin (see WARNINGS).

Abdominal pain, gastrointestinal disturbances, gram-negative folliculitis, eye pain and contact dermatitis have also been reported in association with the use of topical formulations of clindamycin.

DESCRIPTION SECTION

LOINC: 34089-3Updated: 10/5/2022

DESCRIPTION

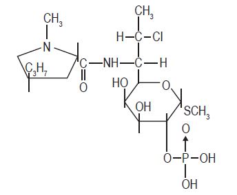
Clindamycin phosphate topical solution USP, 1% contains clindamycin phosphate, USP, at a concentration equivalent to 10 mg clindamycin per milliliter.

Clindamycin phosphate is a water soluble ester of the semi-synthetic antibiotic produced by a 7(S)-chloro-substitution of the 7(R)-hydroxyl group of the parent antibiotic lincomycin.

The structural formula is represented below:

Image

The chemical name for clindamycin phosphate is Methyl 7-chloro-6,7,8-trideoxy-6-(1 methyl- trans-4-propyl-L-2-pyrrolidinecarboxamido)-1-thio-L-threo-α-D-galacto octopyranoside 2-(dihydrogen phosphate).

Clindamycin phosphate topical solution USP, 1% contains isopropyl alcohol, 50% v/v; propylene glycol and purified water. Sodium hydroxide or hydrochloric acid may be added to adjust pH between 4.0 to 7.0.

CLINICAL PHARMACOLOGY SECTION

LOINC: 34090-1Updated: 10/5/2022

CLINICAL PHARMACOLOGY

Mechanism of Action

The mechanism of action of clindamycin in treating acne vulgaris is unknown.

Pharmacokinetics

Following multiple topical applications of clindamycin phosphate at a concentration equivalent to 10 mg clindamycin per mL in an isopropyl alcohol and water solution, very low levels of clindamycin are present in the serum (0 to 3 ng/mL) and less than 0.2% of the dose is recovered in urine as clindamycin.

Although clindamycin phosphate is inactive in vitro, rapid in vivo hydrolysis converts this compound to the antibacterially active clindamycin.

Microbiology

Clindamycin inhibits bacterial protein synthesis by binding to the 23S RNA of the 50S subunit of the ribosome. Clindamycin is bacteriostatic.

Antimicrobial Activity

Clindamycin is active in vitro against most isolates of Propionibacterium acnes; however, the clinical significance is unknown.

Resistance

Resistance to clindamycin is most often caused by modification of specific bases of the 23S ribosomal RNA. Cross-resistance between clindamycin and lincomycin is complete. Because the binding sites for these antibacterial drugs overlap, cross resistance is sometimes observed among lincosamides, macrolides and streptogramin B. Macrolideinducible resistance to clindamycin occurs in some isolates of macrolide-resistant bacteria.

WARNINGS SECTION

LOINC: 34071-1Updated: 10/5/2022

WARNINGS

Orally and parenterally administered clindamycin has been associated with severe colitis which may result in patient death. Use of the topical formulation of clindamycin results in absorption of the antibiotic from the skin surface. Diarrhea, bloody diarrhea, and colitis (including pseudomembranous colitis) have been reported with the use of topical and systemic clindamycin.

Studies indicate a toxin(s) produced by clostridia is one primary cause of antibiotic-associated colitis. The colitis is usually characterized by severe persistent diarrhea and severe abdominal cramps and may be associated with the passage of blood and mucus. Endoscopic examination may reveal pseudomembranous colitis.Stool culture forClostridium difficileand stool assay forC. difficile****toxin may be helpful diagnostically.

When significant diarrhea occurs, the drug should be discontinued. Large bowel endoscopy should be considered to establish a definitive diagnosis in cases of severe diarrhea.

Antiperistaltic agents such as opiates and diphenoxylate with atropine may prolong and/or worsen the condition. Vancomycin has been found to be effective in the treatment of antibiotic-associated pseudomembranous colitis produced by Clostridium difficile. The usual adult dosage is 500 milligrams to 2 grams of vancomycin orally per day in three to four divided doses administered for 7 to 10 days.Cholestyramine or colestipol resins bind vancomycin in vitro. If both a resin and vancomycin are to be administered concurrently, it may be advisable to separate the time of administration of each drug.

Diarrhea, colitis, and pseudomembranous colitis have been observed to begin up to several weeks following cessation of oral and parenteral therapy with clindamycin.

PRECAUTIONS SECTION

LOINC: 42232-9Updated: 10/5/2022

PRECAUTIONS

General

Clindamycin phosphate topical solution contains an alcohol base which will cause burning and irritation of the eye. In the event of accidental contact with sensitive surfaces (eye, abraded skin, mucous membranes), bathe with copious amounts of cool tap water. The solution has an unpleasant taste and caution should be exercised when applying medication around the mouth.

Clindamycin phosphate topical solution should be prescribed with caution in atopic individuals.

Drug Interactions

Clindamycin has been shown to have neuromuscular blocking properties that may enhance the action of other neuromuscular blocking agents. Therefore it should be used with caution in patients receiving such agents.

Pregnancy

Teratogenic effects

In clinical trials with pregnant women, the systemic administration of clindamycin during the second and third trimesters has not been associated with an increased frequency of congenital abnormalities. There are no adequate studies in pregnant women during the first trimester of pregnancy. Clindamycin should be used during the first trimester of pregnancy only if clearly needed.

Nursing Mothers

It is not known whether clindamycin is excreted in breast milk following use of clindamycin phosphate topical solution. However, orally and parenterally administered clindamycin has been reported to appear in breast milk. Clindamycin has the potential to cause adverse effects on the breast-fed infant's gastrointestinal flora. Monitor the breast-fed infant for possible adverse effects on the gastrointestinal flora, such as diarrhea, candidiasis (thrush, diaper rash) or rarely, blood in the stool indicating possible antibiotic-associated colitis.

The developmental and health benefits of breastfeeding should be considered along with the mother's clinical need for clindamycin and any potential adverse effects on the breast-fed child from clindamycin or from the underlying maternal condition.

Clinical Considerations

If used during lactation and clindamycin phosphate topical solution is applied to the chest, care should be taken to avoid accidental ingestion by the infant.

Pediatric Use

Safety and effectiveness in pediatric patients under the age of 12 have not been established.

Geriatric Use

Clinical studies for Clindamycin Phosphate did not include sufficient numbers of subjects aged 65 and over to determine whether they respond differently from younger subjects. Other reported clinical experience has not identified differences in responses between the elderly and younger patients.

OVERDOSAGE SECTION

LOINC: 34088-5Updated: 10/5/2022

OVERDOSAGE

Topically applied clindamycin phosphate can be absorbed in sufficient amounts to produce systemic effects (see WARNINGS).

DOSAGE & ADMINISTRATION SECTION

LOINC: 34068-7Updated: 10/5/2022

DOSAGE AND ADMINISTRATION

Apply a thin film of Clindamycin phosphate topical solution, twice daily to affected area.

Keep all liquid dosage forms in containers tightly closed.

HOW SUPPLIED SECTION

LOINC: 34069-5Updated: 10/5/2022

HOW SUPPLIED

Clindamycin phosphate topical solution USP, 1% containing clindamycin phosphate equivalent to 10 mg clindamycin per milliliter are clear solution with characteristics odor free from particulate matter. Filled in white HDPE bottle fitted with white PP cap and is available in the following sizes:

Clindamycin phosphate topical solution USP, 1% is

NDC 72578-084-02 in applicator bottle of 30 mL

NDC 72578-084-03 in applicator bottle of 60 mL

Storage Conditions

Store at 20°C to 25°C (68°F to 77°F) [See USP Controlled Room Temperature].

Protect from freezing.

Call your doctor for medical advice about side effects. You may report side effects to Viona Pharmaceuticals Inc. at 1-888-304-5011 or FDA at 1-800-FDA-1088.

SPL UNCLASSIFIED SECTION

LOINC: 42229-5Updated: 10/5/2022

Manufactured by:

Zydus Lifesciences Ltd.

Changodar, Ahmedabad, India.

Distributed by:

Viona Pharmaceuticals Inc.

Cranford, NJ 07016

Rev.: 08/22

MedPath

Empowering clinical research with data-driven insights and AI-powered tools.

© 2025 MedPath, Inc. All rights reserved.

Clindamycin Phosphate - FDA Drug Approval Details