Rivaroxaban
These highlights do not include all the information needed to use RIVAROXABAN TABLETS safely and effectively. See full prescribing information for RIVAROXABAN TABLETS. RIVAROXABAN tablets, for oral use Initial U.S. Approval: 2011
57717a31-d9d3-4246-90c0-4e4c0a29adf5
HUMAN PRESCRIPTION DRUG LABEL
May 20, 2025
Macleods Pharmaceuticals Limited
DUNS: 862128535
Products 1
Detailed information about drug products covered under this FDA approval, including NDC codes, dosage forms, ingredients, and administration routes.
Rivaroxaban
Product Details
FDA regulatory identification and product classification information
FDA Identifiers
Product Classification
Product Specifications
INGREDIENTS (11)
Drug Labeling Information
PACKAGE LABEL.PRINCIPAL DISPLAY PANEL
PACKAGE LABEL.PRINCIPAL DISPLAY PANEL
Rivaroxaban Tablets, 2.5 mg
60's Container Pack
NDC: 33342-488-09

Rivaroxaban Tablets, 2.5 mg
180's Container Pack
NDC: 33342-488-57

Rivaroxaban Tablets, 2.5 mg
60s Blister Pack- Carton
NDC: 33342-488-98

BOXED WARNING SECTION
WARNING:(A) PREMATURE DISCONTINUATION OF RIVAROXABAN TABLETS INCREASES THE
RISK OF THROMBOTIC EVENTS,(B) SPINAL/EPIDURAL HEMATOMA
INDICATIONS & USAGE SECTION
1 INDICATIONS & USAGE
1.1 Reduction of Risk of Stroke and Systemic Embolism in Nonvalvular Atrial
Fibrillation
Rivaroxaban tablets are indicated to reduce the risk of stroke and systemic embolism in adult patients with nonvalvular atrial fibrillation.
There are limited data on the relative effectiveness of Rivaroxaban tablets and warfarin in reducing the risk of stroke and systemic embolism when warfarin therapy is well-controlled [see Clinical Studies (14.1)].
1.2 Treatment of Deep Vein Thrombosis
Rivaroxaban tablets are indicated for the treatment of deep vein thrombosis (DVT).
1.3 Treatment of Pulmonary Embolism
Rivaroxaban tablets are indicated for the treatment of pulmonary embolism (PE).
1.4 Reduction in the Risk of Recurrence of Deep Vein Thrombosis and/or
Pulmonary Embolism
Rivaroxaban tablets is indicated for the reduction in the risk of recurrence of DVT and/or PE in adult patients at continued risk for recurrent DVT and/or PE after completion of initial treatment lasting at least 6 months.
1.5 Prophylaxis of Deep Vein Thrombosis Following Hip or Knee Replacement
Surgery
Rivaroxaban tablets are indicated for the prophylaxis of DVT, which may lead to PE in adult patients undergoing knee or hip replacement surgery.
1.6 Prophylaxis of Venous Thromboembolism in Acutely Ill Medical Patients
at Risk for Thromboembolic Complications Not at High Risk of Bleeding
Rivaroxaban tablets is indicated for the prophylaxis of venous thromboembolism (VTE) and VTE related death during hospitalization and post hospital discharge in adult patients admitted for an acute medical illness who are at risk for thromboembolic complications due to moderate or severe restricted mobility and other risk factors for VTE and not at high risk of bleeding [see Warnings and Precautions (5.2) and Clinical Studies (14.5)].
1.7 Reduction of Risk of Major Cardiovascular Events in Patients with
Coronary Artery Disease (CAD)
Rivaroxaban tablets, in combination with aspirin, is indicated to reduce the risk of major cardiovascular events (cardiovascular death, myocardial infarction, and stroke) in adult patients with coronary artery disease.
1.8 Reduction of Risk of Major Thrombotic Vascular Events in Patients with
Peripheral Artery Disease (PAD), Including Patients after Lower Extremity Revascularization due to Symptomatic PAD
Rivaroxaban tablets, in combination with aspirin, is indicated to reduce the risk of major thrombotic vascular events (myocardial infarction, ischemic stroke, acute limb ischemia, and major amputation of a vascular etiology) in adult patients with PAD, including patients who have recently undergone a lower extremity revascularization procedure due to symptomatic PAD.
1.9 Treatment of Venous Thromboembolism and Reduction in Risk of Recurrent
Venous Thromboembolism in Pediatric Patients
Rivaroxaban tablet is indicated for the treatment of venous thromboembolism (VTE) and the reduction in the risk of recurrent VTE in pediatric patients from birth to less than 18 years after at least 5 days of initial parenteral anticoagulant treatment.
1.10 Thromboprophylaxis in Pediatric Patients with Congenital Heart Disease
after the Fontan Procedure
Rivaroxaban tablet is indicated for thromboprophylaxis in pediatric patients aged 2 years and older with congenital heart disease who have undergone the Fontan procedure.
CONTRAINDICATIONS SECTION
4 CONTRAINDICATIONS
Rivaroxaban tablets is contraindicated in patients with:
• active pathological bleeding [see Warnings and Precautions (5.2)]
• severe hypersensitivity reaction to Rivaroxaban tablets (e.g., anaphylactic
reactions) [see Adverse Reactions (6.2)]
• Active pathological bleeding (4)
• Severe hypersensitivity reaction to Rivaroxaban tablets (4)
WARNINGS AND PRECAUTIONS SECTION
5 WARNINGS AND PRECAUTIONS
5.1 Increased Risk of Thrombotic Events after Premature Discontinuation
Premature discontinuation of any oral anticoagulant, including Rivaroxaban tablets, in the absence of adequate alternative anticoagulation increases the risk of thrombotic events. An increased rate of stroke was observed during the transition from Rivaroxaban tablets to warfarin in clinical trials in atrial fibrillation patients. If Rivaroxaban tablets is discontinued for a reason other than pathological bleeding or completion of a course of therapy, consider coverage with another anticoagulant [see Dosage and Administration (2.3, 2.4) and Clinical Studies (14.1)].
5.2 Risk of Bleeding
Rivaroxaban tablets increases the risk of bleeding and can cause serious or
fatal bleeding. In deciding whether to prescribe Rivaroxaban tablets to
patients at increased risk of bleeding, the risk of thrombotic events should
be weighed against the risk of bleeding.
Promptly evaluate any signs or symptoms of blood loss and consider the need
for blood replacement. Discontinue Rivaroxaban tablets in patients with active
pathological hemorrhage. The terminal elimination half-life of rivaroxaban is
5 to 9 hours in healthy subjects aged 20 to 45 years.
Concomitant use of other drugs that impair hemostasis increases the risk of
bleeding. These include aspirin, P2Y12 platelet inhibitors, dual antiplatelet
therapy, other antithrombotic agents, fibrinolytic therapy, non-steroidal
anti-inflammatory drugs (NSAIDs) [see Drug Interactions (7.4)], selective
serotonin reuptake inhibitors, and serotonin norepinephrine reuptake
inhibitors.
Concomitant use of drugs that are known combined P-gp and strong CYP3A
inhibitors increases rivaroxaban exposure and may increase bleeding risk [see Drug Interactions (7.2)].
Risk of Hemorrhage in Acutely Ill Medical Patients at High Risk of Bleeding
Acutely ill medical patients with the following conditions are at increased
risk of bleeding with the use of rivaroxaban tablets for primary VTE
prophylaxis: history of bronchiectasis, pulmonary cavitation, or pulmonary
hemorrhage, active cancer (i.e. undergoing acute, in-hospital cancer
treatment), active gastroduodenal ulcer in the three months prior to
treatment, history of bleeding in the three months prior to treatment, or dual
antiplatelet therapy. Rivaroxaban tablets is not for use for primary VTE
prophylaxis in these hospitalized, acutely ill medical patients at high risk
of bleeding.
Reversal of Anticoagulant Effect
An agent to reverse the anti-factor Xa activity of rivaroxaban is available.
Because of high plasma protein binding, rivaroxaban is not dialyzable [see Clinical Pharmacology (12.3)]. Protamine sulfate and vitamin K are not
expected to affect the anticoagulant activity of rivaroxaban. Use of
procoagulant reversal agents, such as prothrombin complex concentrate (PCC),
activated prothrombin complex concentrate or recombinant factor VIIa, may be
considered but has not been evaluated in clinical efficacy and safety studies.
Monitoring for the anticoagulation effect of rivaroxaban using a clotting test
(PT, INR or aPTT) or anti-factor Xa (FXa) activity is not recommended.
5.3 Spinal/Epidural Anesthesia or Puncture
When neuraxial anesthesia (spinal/epidural anesthesia) or spinal puncture is
employed, patients treated with anticoagulant agents for prevention of
thromboembolic complications are at risk of developing an epidural or spinal
hematoma which can result in long-term or permanent paralysis [see Boxed Warning].
To reduce the potential risk of bleeding associated with the concurrent use of
Rivaroxaban tablets and epidural or spinal anesthesia/analgesia or spinal
puncture, consider the pharmacokinetic profile of Rivaroxaban tablets [see Clinical Pharmacology (12.3)]. Placement or removal of an epidural catheter or
lumbar puncture is best performed when the anticoagulant effect of Rivaroxaban
tablets is low; however, the exact timing to reach a sufficiently low
anticoagulant effect in each patient is not known.
An indwelling epidural or intrathecal catheter should not be removed before at
least 2 half-lives have elapsed (i.e., 18 hours in young patients aged 20 to
45 years and 26 hours in elderly patients aged 60 to 76 years), after the last
administration of Rivaroxaban tablets [see Clinical Pharmacology (12.3)]. The
next Rivaroxaban tablets dose should not be administered earlier than 6 hours
after the removal of the catheter. If traumatic puncture occurs, delay the
administration of Rivaroxaban tablets for 24 hours.
Should the physician decide to administer anticoagulation in the context of
epidural or spinal anesthesia/analgesia or lumbar puncture, monitor frequently
to detect any signs or symptoms of neurological impairment, such as midline
back pain, sensory and motor deficits (numbness, tingling, or weakness in
lower limbs), bowel and/or bladder dysfunction. Instruct patients to
immediately report if they experience any of the above signs or symptoms. If
signs or symptoms of spinal hematoma are suspected, initiate urgent diagnosis
and treatment including consideration for spinal cord decompression even
though such treatment may not prevent or reverse neurological sequelae.
5.4 Use in Patients with Renal Impairment
Nonvalvular Atrial Fibrillation
Periodically assess renal function as clinically indicated (i.e., more
frequently in situations in which renal function may decline) and adjust
therapy accordingly [see Dosage and Administration (2.1)]. Consider dose
adjustment or discontinuation of Rivaroxaban tablets in patients who develop
acute renal failure while on Rivaroxaban tablets [see Use in Specific Populations (8.6)].
Treatment of Deep Vein Thrombosis (DVT), Pulmonary Embolism (PE), and
Reduction in the Risk of Recurrence of DVT and of PE
In patients with CrCl <30 mL/min, rivaroxaban exposure and pharmacodynamic
effects are increased compared to patients with normal renal function. There
are limited clinical data in patients with CrCl 15 to <30 mL/min; therefore,
observe closely and promptly evaluate any signs or symptoms of blood loss in
these patients. There are no clinical data in patients with CrCl<15 mL/min
(including patients on dialysis); therefore, avoid the use of rivaroxaban in
these patients.
Discontinue rivaroxaban tablets in patients who develop acute renal failure
while on treatment [see Use in Specific Populations (8.6)].
Prophylaxis of Deep Vein Thrombosis Following Hip or Knee Replacement Surgery
In patients with CrCl <30 mL/min, rivaroxaban exposure and pharmacodynamic
effects are increased compared to patients with normal renal function. There
are limited clinical data in patients with CrCl 15 to <30 mL/min; therefore,
observe closely and promptly evaluate any signs or symptoms of blood loss in
these patients. There are no clinical data in patients with CrCl<15 mL/min
(including patients on dialysis); therefore, avoid the use of rivaroxaban
tablets in these patients.
Discontinue rivaroxaban tablets in patients who develop acute renal failure
while on treatment [see Use in Specific Populations (8.6)].
Prophylaxis of Venous Thromboembolism in Acutely Ill Medical Patients at Risk
for Thromboembolic Complications Not at High Risk of Bleeding
In patients with CrCl <30 mL/min, rivaroxaban exposure and pharmacodynamic
effects are increased compared to patients with normal renal function. There
are limited clinical data in patients with CrCl 15 to <30 mL/min; therefore,
observe closely and promptly evaluate any signs or symptoms of blood loss in
these patients. There are no clinical data in patients with CrCl <15 mL/min
(including patients on dialysis); therefore, avoid the use of rivaroxabane in
these patients.
Discontinue rivaroxaban tablets in patients who develop acute renal failure
while on treatment [see Use in Specific Populations (8.6)].
Pediatric Patients
There are limited clinical data in pediatric patients 1 year or older with
moderate or severe renal impairment (eGFR <50 mL/min/1.73 m2); therefore,
avoid the use of rivaroxaban tablets in these patients.
There are no clinical data in pediatric patients younger than 1 year with
serum creatinine results above 97.5th percentile; therefore, avoid the use of
rivaroxaban tablets in these patients [see Dosage and Administration (2.2) and Use in Specific Populations (8.6)].
5.5 Use in Patients with Hepatic Impairment
No clinical data are available for adult patients with severe hepatic
impairment.
Avoid use of Rivaroxaban tablets in patients with moderate (Child-Pugh B) and
severe (Child-Pugh C) hepatic impairment or with any hepatic disease
associated with coagulopathy since drug exposure and bleeding risk may be
increased [see Use in Specific Populations (8.7)].
No clinical data are available in pediatric patients with hepatic impairment
5.6 Use with P-gp and Strong CYP3A Inhibitors or Inducers
Avoid concomitant use of Rivaroxaban tablets with known combined P-gp and
strong CYP3A inhibitors [see Drug Interactions (7.2)].
Avoid concomitant use of Rivaroxaban tablets with drugs that are known
combined P-gp and strong CYP3A inducers [see Drug Interactions (7.3)].
5.7 Risk of Pregnancy-Related Hemorrhage
In pregnant women, Rivaroxaban tablets should be used only if the potential benefit justifies the potential risk to the mother and fetus. Rivaroxaban tablets dosing in pregnancy has not been studied. The anticoagulant effect of Rivaroxaban tablets cannot be monitored with standard laboratory testing. Promptly evaluate any signs or symptoms suggesting blood loss (e.g., a drop in hemoglobin and/or hematocrit, hypotension, or fetal distress) [see Warnings and Precautions (5.2)] and Use in Specific Populations (8.1)]
5.8 Patients with Prosthetic Heart Valves
On the basis of the GALILEO study, use of rivaroxaban tablets is not recommended in patients who have had transcatheter aortic valve replacement (TAVR) because patients randomized to rivaroxaban tablets experienced higher rates of death and bleeding compared to those randomized to an anti-platelet regimen. The safety and efficacy of rivaroxaban tablets have not been studied in patients with other prosthetic heart valves or other valve procedures. Use of rivaroxaban tablets is not recommended in patients with prosthetic heart valves
5.9 Acute PE in Hemodynamically Unstable Patients or Patients Who Require
Thrombolysis or Pulmonary Embolectomy
Initiation of Rivaroxaban tablets is not recommended acutely as an alternative to unfractionated heparin in patients with pulmonary embolism who present with hemodynamic instability or who may receive thrombolysis or pulmonary embolectomy.
5.10 Increased Risk of Thrombosis in Patients with Triple Positive
Antiphospholipid Syndrome
Direct-acting oral anticoagulants (DOACs), including rivaroxaban tablets, are not recommended for use in patients with triple-positive antiphospholipid syndrome (APS). For patients with APS (especially those who are triple positive [positive for lupus anticoagulant, anticardiolipin, and anti-beta 2-glycoprotein I antibodies]), treatment with DOACs has been associated with increased rates of recurrent thrombotic events compared with vitamin K antagonist therapy.
• Risk of bleeding: Rivaroxaban tablets can cause serious and fatal bleeding.
An agent to reverse the activity of rivaroxaban is available. (5.2)
• Pregnancy-related hemorrhage: Use Rivaroxaban tablets with caution in
pregnant women due to the potential for obstetric hemorrhage and/or emergent
delivery. (5.7, 8.1)
• Prosthetic heart valves: Rivaroxaban tablets use not recommended (5.8)
• Increased Risk of Thrombosis in Patients with Triple Positive
Antiphospholipid Syndrome: Rivaroxaban tablets use not recommended. (5.10)
ADVERSE REACTIONS SECTION
6 ADVERSE REACTIONS
The following clinically significant adverse reactions are also discussed in
other sections of the labeling:
• Increased Risk of Stroke After Discontinuation in Nonvalvular Atrial
Fibrillation [see Boxed Warning and Warnings and Precautions (5.1)]
• Bleeding Risk [see Warnings and Precautions (5.2, 5.4, 5.5, 5.6, 5.7)]
• Spinal/Epidural Hematoma [see Boxed Warning and Warnings and Precautions (5.3)]
6.1 Clinical Trials Experience
Because clinical trials are conducted under widely varying conditions, adverse
reaction rates observed in the clinical trials of a drug cannot be directly
compared to rates in the clinical trials of another drug and may not reflect
the rates observed in clinical practice.
During clinical development for the approved indications, 34,947 adult
patients were exposed to Rivaroxaban tablets.
Hemorrhage
The most common adverse reactions with rivaroxaban tablets were bleeding
complications [see Warnings and Precautions (5.2)].
Nonvalvular Atrial Fibrillation
In the ROCKET AF trial, the most frequent adverse reactions associated with
permanent drug discontinuation were bleeding events, with incidence rates of
4.3% for rivaroxaban tablets vs. 3.1% for warfarin. The incidence of
discontinuations for non-bleeding adverse events was similar in both treatment
groups.
Table 5 shows the number of patients experiencing various types of bleeding
events in the ROCKET AF trial.
Table 5: Bleeding Events in ROCKET AF- On Treatment Plus 2 Days*
| Parameter | Rivaroxaban tablets | Warfarin | Rivaroxaban tablets vs. Warfarin HR | 
| Major Bleeding† | 395 (3.6) | 386 (3.5) | 1.04 (0.90, 1.20) | 
| Intracranial | 55 (0.5) | 84 (0.7) | 0.67 (0.47, 0.93) | 
| Hemorrhagic | 36 (0.3) | 58 (0.5) | 0.63 (0.42, 0.96) | 
| Other ICH | 19 (0.2) | 26 (0.2) | 0.74 (0.41, 1.34) | 
| Gastrointestinal (GI)¶ | 221 (2.0) | 140 (1.2) | 1.61 (1.30, 1.99) | 
| Fatal Bleeding# | 27 (0.2) | 55 (0.5) | 0.50 (0.31, 0.79) | 
| ICH | 24 (0.2) | 42 (0.4) | 0.58 (0.35, 0.96) | 
| Non-intracranial | 3 (0.0) | 13 (0.1) | 0.23 (0.07, 0.82) | 
Abbreviations: HR = Hazard Ratio, CI = Confidence interval, CRNM = Clinically Relevant Non-Major.
- Major bleeding events within each subcategory were counted once per patient, but patients may have contributed events to multiple subcategories. These events occurred during treatment or within 2 days of stopping treatment.
 † Defined as clinically overt bleeding associated with a decrease in hemoglobin of ≥2 g/dL, a transfusion of ≥2 units of packed red blood cells or whole blood, bleeding at a critical site, or with a fatal outcome.
 ‡ Intracranial bleeding events included intraparenchymal, intraventricular, subdural, subarachnoid and/or epidural hematoma.
 § Hemorrhagic stroke in this table specifically refers to non-traumatic intraparenchymal and/or intraventricular hematoma in patients on treatment plus 2 days.
 ¶ Gastrointestinal bleeding events included upper GI, lower GI, and rectal bleeding.
Fatal bleeding is adjudicated death with the primary cause of death from
bleeding.
Figure 1 shows the risk of major bleeding events across major subgroups.
Figure 1: Risk of Major Bleeding Events by Baseline Characteristics in ROCKET AF – On Treatment Plus 2 Days

Note: The figure above presents effects in various subgroups all of which are baseline characteristics and all of which were pre-specified (diabetic status was not pre-specified in the subgroup, but was a criterion for the CHADS2 score). The 95% confidence limits that are shown do not take into account how many comparisons were made, nor do they reflect the effect of a particular factor after adjustment for all other factors. Apparent homogeneity or heterogeneity among groups should not be over-interpreted.
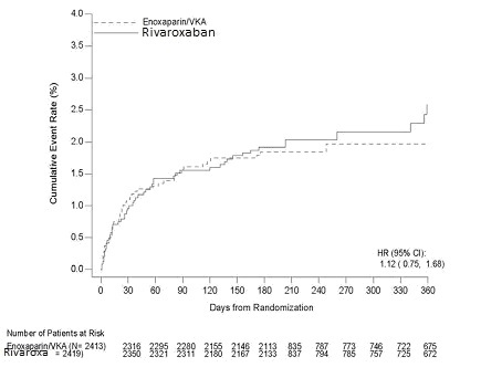
Treatment of Deep Vein Thrombosis (DVT) and/or Pulmonary Embolism (PE)
EINSTEIN DVT and EINSTEIN PE Studies
In the pooled analysis of the EINSTEIN DVT and EINSTEIN PE clinical studies,
the most frequent adverse reactions leading to permanent drug discontinuation
were bleeding events, with Rivaroxaban tablets vs. enoxaparin/Vitamin K
antagonist (VKA) incidence rates of 1.7% vs. 1.5%, respectively. The mean
duration of treatment was 208 days for Rivaroxaban tablets -treated patients
and 204 days for enoxaparin/VKA-treated patients.
Table 6 shows the number of patients experiencing major bleeding events in the
pooled analysis of the EINSTEIN DVT and EINSTEIN PE studies.
Table 6: Bleeding Events in the Pooled Analysis of EINSTEIN DVT and
EINSTEIN PE Studies*
| Parameter | Rivaroxaban tablets † | Enoxaparin/ VKA† | 
| Major bleeding event | 40 (1.0) | 72 (1.7) | 
| Fatal bleeding | 3 (<0.1) | 8 (0.2) | 
| Intracranial | 2 (<0.1) | 4 (<0.1) | 
| Non-fatal critical organ bleeding | 10 (0.2) | 29 (0.7) | 
| Intracranial‡ | 3 (<0.1) | 10 (0.2) | 
| Retroperitoneal‡ | 1 (<0.1) | 8 (0.2) | 
| Intraocular‡ | 3 (<0.1) | 2 (<0.1) | 
| Intra-articular‡ | 0 | 4 (<0.1) | 
| Non-fatal non-critical organ bleeding§ | 27 (0.7) | 37 (0.9) | 
| Decrease in Hb ≥ 2 g/dL | 28 (0.7) | 42 (1.0) | 
| Transfusion of ≥2 units of whole blood or packed red blood cells | 18 (0.4) | 25 (0.6) | 
| Clinically relevant non-major bleeding | 357 (8.6) | 357 (8.7) | 
| Any bleeding | 1169 (28.3) | 1153 (28.0) | 
- Bleeding event occurred after randomization and up to 2 days after the last dose of study drug. Although a patient may have had 2 or more events, the patient is counted only once in a category.
 † Treatment schedule in EINSTEIN DVT and EINSTEIN PE studies: Rivaroxaban tablets 15 mg twice daily for 3 weeks followed by 20 mg once daily; enoxaparin/VKA [enoxaparin: 1 mg/kg twice daily, VKA: individually titrated doses to achieve a target INR of 2.5 (range: 2.0-3.0)]
 ‡ Treatment-emergent major bleeding events with at least >2 subjects in any pooled treatment group
 § Major bleeding which is not fatal or in a critical organ, but resulting in a decrease in Hb ≥ 2 g/dL and/or transfusion of ≥2 units of whole blood or packed red blood cells
Reduction in the Risk of Recurrence of DVT and/or PE
EINSTEIN CHOICE Study
In the EINSTEIN CHOICE clinical study, the most frequent adverse reactions
associated with permanent drug discontinuation were bleeding events, with
incidence rates of 1% for Rivaroxaban tablets 10 mg, 2% for Rivaroxaban
tablets 20 mg, and 1% for acetylsalicylic acid (aspirin) 100 mg. The mean
duration of treatment was 293 days for Rivaroxaban tablets 10 mg-treated
patients and 286 days for aspirin 100 mg-treated patients.
Table 7 shows the number of patients experiencing bleeding events in the
EINSTEIN CHOICE study.
Table 7: Bleeding Events in EINSTEIN CHOICE*
| Parameter | Rivaroxaban tablets† | Acetylsalicylic Acid | 
| Major bleeding event | 5 (0.4) | 3 (0.3) | 
| Fatal bleeding | 0 | 1 (<0.1) | 
| Non-fatal critical organ bleeding | 2 (0.2) | 1 (<0.1) | 
| Non-fatal non-critical organ bleeding§ | 3 (0.3) | 1 (<0.1) | 
| Clinically relevant non-major (CRNM) bleeding¶ | 22 (2.0) | 20 (1.8) | 
| Any bleeding | 151 (13.4) | 138 (12.2) | 
- Bleeding event occurred after the first dose and up to 2 days after the last dose of study drug. Although a patient may have had 2 or more events, the patient is counted only once in a category.
 † Treatment schedule: Rivaroxaban tablets 10 mg once daily or aspirin 100 mg once daily.
 § Major bleeding which is not fatal or in a critical organ, but resulting in a decrease in Hb ≥ 2 g/dL and/or transfusion of ≥ 2 units of whole blood or packed red blood cells.
 ¶ Bleeding which was clinically overt, did not meet the criteria for major bleeding, but was associated with medical intervention, unscheduled contact with a physician, temporary cessation of treatment, discomfort for the patient, or impairment of activities of daily life.
In the EINSTEIN CHOICE study, there was an increased incidence of bleeding,
including major and CRNM bleeding in the Rivaroxaban tablets 20 mg group
compared to the Rivaroxaban tablets 10 mg or aspirin 100 mg groups.
Prophylaxis of Deep Vein Thrombosis Following Hip or Knee Replacement Surgery
In the RECORD clinical trials, the overall incidence rate of adverse reactions
leading to permanent treatment discontinuation was 3.7% with Rivaroxaban
tablets.
The rates of major bleeding events and any bleeding events observed in
patients in the RECORD clinical trials are shown in Table 8.
Table 8: Bleeding Events in Patients Undergoing Hip or Knee Replacement Surgeries (RECORD 1-3)*
| Rivaroxaban tablets 10 mg | Enoxaparin† | |
| Total treated patients | N=4487 n (%) | N=4524 n (%) | 
| Major bleeding event | 14 (0.3) | 9 (0.2) | 
| Fatal bleeding | 1 (<0.1) | 0 | 
| Bleeding into a critical organ | 2 (<0.1) | 3 (0.1) | 
| Bleeding that required re-operation | 7 (0.2) | 5 (0.1) | 
| Extra-surgical site bleeding requiring transfusion of >2 units of whole blood or packed cells | 4 (0.1) | 1 (<0.1) | 
| Any bleeding event‡ | 261 (5.8) | 251 (5.6) | 
| Hip Surgery Studies | N=3281 n (%) | N=3298 n (%) | 
| Major bleeding event | 7 (0.2) | 3 (0.1) | 
| Fatal bleeding | 1 (<0.1) | 0 | 
| Bleeding into a critical organ | 1 (<0.1) | 1 (<0.1) | 
| Bleeding that required re-operation | 2 (0.1) | 1 (<0.1) | 
| Extra-surgical site bleeding requiring transfusion of >2 units of whole blood or packed cells | 3 (0.1) | 1 (<0.1) | 
| Any bleeding event‡ | 201 (6.1) | 191 (5.8) | 
| Knee Surgery Study | N=1206 n (%) | N=1226 n (%) | 
| Major bleeding event | 7 (0.6) | 6 (0.5) | 
| Fatal bleeding | 0 | 0 | 
| Bleeding into a critical organ | 1 (0.1) | 2 (0.2) | 
| Bleeding that required re-operation | 5 (0.4) | 4 (0.3) | 
| Extra-surgical site bleeding | 1 (0.1) | 0 | 
| Any bleeding event‡ | 60 (5.0) | 60 (4.9) | 
- Bleeding events occurring any time following the first dose of double-blind study medication (which may have been prior to administration of active drug) until two days after the last dose of double-blind study medication. Patients may have more than one event.
 † Includes the placebo-controlled period for RECORD 2, enoxaparin dosing was 40 mg once daily (RECORD 1-3)
 ‡ Includes major bleeding events
Following Rivaroxaban tablets treatment, the majority of major bleeding complications (≥60%) occurred during the first week after surgery.
Prophylaxis of Venous Thromboembolism in Acutely Ill Medical Patients at Risk
for
Thromboembolic Complications Not at High Risk of Bleeding
In the MAGELLAN study, the most frequent adverse reactions associated with
permanent drug discontinuation were bleeding events. Cases of pulmonary
hemorrhage and pulmonary hemorrhage with bronchiectasis were observed.
Patients with bronchiectasis/pulmonary cavitation, active cancer (i.e.,
undergoing acute, in-hospital cancer treatment), dual antiplatelet therapy or
active gastroduodenal ulcer or any bleeding in the previous three months all
had an excess of bleeding with rivaroxaban compared with enoxaparin/placebo
and are excluded from all MAGELLAN data presented in Table 9. The incidence of
bleeding leading to drug discontinuation was 2.5% for rivaroxaban vs. 1.4% for
enoxaparin/placebo.
Table 9 shows the number of patients experiencing various types of bleeding
events in the MAGELLAN study.
Table 9: Bleeding Events in MAGELLAN Study–Safety Analysis Set - On Treatment Plus 2 Days*
| MAGELLAN Study¶ | Rivaroxaban tablets 10 mg | Enoxaparin 40 mg /placeboN=3229****n (%) | 
| Major bleeding‡† | 22 (0.7) | 15 (0.5) | 
| Critical site bleeding | 7 (0.2) | 4 (0.1) | 
| Fatal bleeding§ | 3 (<0.1) | 1 (<0.1) | 
| Clinically relevant non-major bleeding events (CRNM) | 93 (2.9) | 34 (1.1) | 
- Patients at high risk of bleeding (i.e. bronchiectasis/pulmonary cavitation, active cancer, dual antiplatelet therapy or active gastroduodenal
 ulcer or any bleeding in the previous three months) were excluded.
 † Major bleeding events within each subcategory were counted once per patient, but patients may have contributed events to multiple
 subcategories. These events occurred during treatment or within 2 days of stopping treatment.
 ‡ Defined as clinically overt bleeding associated with a drop in hemoglobin of ≥2 g/dL, a transfusion of ≥2 units of packed red blood cells
 or whole blood, bleeding at a critical site, or with a fatal outcome.
 § Fatal bleeding is adjudicated death with the primary cause of death from bleeding.
 ¶ Patients received either rivaroxaban or placebo once daily for 35 ±4 days starting in hospital and continuing post hospital discharge or
 received enoxaparin or placebo once daily for 10 ±4 days in the hospital.
Reduction of Risk of Major Cardiovascular Events in Patients with CAD
In the COMPASS trial overall, the most frequent adverse reactions associated
with permanent drug discontinuation were bleeding events, with incidence rates
of 2.7% for rivaroxaban 2.5 mg twice daily vs. 1.2% for placebo on background
therapy for all patients with aspirin 100 mg once daily.
The incidences of important bleeding events in the CAD and PAD populations in
COMPASS were similar.
Table 10 shows the number of patients experiencing various types of major bleeding events in the COMPASS trial.
Table 10: Major Bleeding Events in COMPASS - On Treatment Plus 2 Days**
| Parameter | rivaroxaban****N=9134 | Placebo †N=9107 | rivaroxaban vs. | 
| Modified ISTH Major Bleeding‡ | 263 (1.6) | 144 (0.9) | 1.8 (1.5, 2.3) | 
| - Fatal bleeding event | 12 (<0.1) | 8 (<0.1) | 1.5 (0.6, 3.7) | 
| -Symptomatic bleeding in critical organ (non-fatal) | 58 (0.3) 23 (0.1) | 43 (0.3) 21 (0.1) | 1.4 (0.9, 2.0) 1.1 (0.6, 2.0) | 
| - Bleeding into the surgical site requiring reoperation (non-fatal, not in critical organ) | 7 (<0.1) | 6 (<0.1) | 1.2 (0.4, 3.5) | 
| - Bleeding leading to hospitalization (non-fatal, not in critical organ, not | 188 (1.1) | 91 (0.5) | 2.1 (1.6, 2.7) | 
| Major GI bleeding | 117 (0.7) | 49 (0.3) | 2.4 (1.7, 3.4) | 
Major bleeding events within each subcategory were counted once per patient,
but patients may have contributed events to multiple subcategories. These
events occurred during treatment or within 2 days of stopping treatment in the
safety analysis set in COMPASS patients.
† Treatment schedule: rivaroxaban 2.5 mg twice daily or placebo. All patients
received background therapy with aspirin 100 mg once daily.
‡ Defined as i) fatal bleeding, or ii) symptomatic bleeding in a critical area
or organ, such as intraarticular, intramuscular with compartment syndrome,
intraspinal, intracranial, intraocular, respiratory, pericardial, liver,
pancreas, retroperitoneal, adrenal gland or kidney; or iii) bleeding into the
surgical site requiring reoperation, or iv) bleeding leading to
hospitalization.
CI: confidence interval; HR: hazard ratio; ISTH: International Society on Thrombosis and Hemostasis
Reduction of Risk of Major Thrombotic Vascular Events in Patients with Peripheral Artery Disease (PAD), Including Patients after Lower Extremity Revascularization due to Symptomatic PAD
The incidence of premature permanent discontinuation due to bleeding events for rivaroxaban 2.5 mg twice daily vs. placebo on background therapy with aspirin 100 mg once daily in VOYAGER was 4.1% vs. 1.6% and in COMPASS PAD was 2.7% vs. 1.3%, respectively.
Table 11 shows the number of patients experiencing various types of TIMI (Thrombolysis in Myocardial Infarction) major bleeding events in the VOYAGER trial. The most common site of bleeding was gastrointestinal.
Table 11: Major Bleeding Events in VOYAGER-On Treatment Plus 2 Days*
| Rivaroxaban † | Placebo† | Rivaroxaban vs. | |||
| Parameter | n (%) | Event rate | n (%) | Event rate | |
| TIMI Major Bleeding | 62 (1.9) | 0.96 | 44 (1.4) | 0.67 | 1.4 (1.0, 2.1) | 
| Fatal bleeding | 6 (0.2) | 0.09 | 6 (0.2) | 0.09 | 1.0 (0.3, 3.2) | 
| Intracranial bleeding | 13 (0.4) | 0.20 | 17 (0.5) | 0.26 | 0.8 (0.4, 1.6) | 
| Clinically overt signs of | 46 (1.4) | 0.71 | 24 (0.7) | 0.36 | 1.9 (1.2, 3.2) | 
- Major bleeding events within each subcategory were counted once per patient, but patients may have contributed events to multiple subcategories.
 † Treatment schedule: rivaroxaban 2.5 mg twice daily or placebo. All patients received background therapy with aspirin 100 mg once daily.
 CABG: Coronary artery bypass graft; CI: confidence interval; HR: hazard ratio; TIMI: Thrombolysis in Myocardial Infarction Bleeding Criteria
Other Adverse Reactions
Non-hemorrhagic adverse reactions reported in ≥1% of Rivaroxaban tablets
-treated patients in the EINSTEIN DVT and EINSTEIN PE studies are shown in
Table 12
Table 12: Other Adverse Reactions Reported by ≥1% of Rivaroxaban Tablets -Treated Patients in EINSTEIN DVT and EINSTEIN PE Studies*
| Body System | ||
| EINSTEIN DVT Study | Rivaroxaban tablets 20 mg | Enoxaparin/VKA | 
| Gastrointestinal disorders | ||
| Abdominal pain | 46 (2.7) | 25 (1.5) | 
| General disorders and administration | ||
| Fatigue | 24 (1.4) | 15 (0.9) | 
| Musculoskeletal and connective tissue disorders | ||
| Back pain | 50 (2.9) | 31 (1.8) | 
| Muscle spasm | 23 (1.3) | 13 (0.8) | 
| Nervous system disorders | ||
| Dizziness | 38 (2.2) | 22 (1.3) | 
| Psychiatric disorders | ||
| Anxiety | 24 (1.4) | 11 (0.6) | 
| Depression | 20 (1.2) | 10 (0.6) | 
| Insomnia | 28 (1.6) | 18 (1.1) | 
| EINSTEIN PE Study | Rivaroxaban tablets 20 mg | Enoxaparin/VKA | 
| Skin and subcutaneous tissue disorders | ||
| Pruritus | 53 (2.2) | 27 (1.1) | 
- Adverse reaction with Relative Risk >1.5 for Rivaroxaban tablets versus comparator
Non-hemorrhagic adverse reactions reported in ≥1% of Rivaroxaban tablets
-treated patients in RECORD 1-3 studies are shown in
Table 13.
Table 13: Other Adverse Drug Reactions Reported by ≥1% of Rivaroxaban Tablets -Treated Patients in RECORD 1-3 Studies*
| Body System | Rivaroxaban tablets 10 mg | Enoxaparin† | 
| Injury, poisoning and procedural complications | ||
| Wound secretion | 125 (2.8) | 89 (2.0) | 
| Musculoskeleta | ||
| Pain in extremity | 74 (1.7) | 55 (1.2) | 
| Muscle spasm | 52 (1.2) | 32 (0.7) | 
| Nervous system disorders | ||
| Syncope | 55 (1.2) | 32 (0.7) | 
| Skin and subcutaneous tissue disorders | ||
| Pruritus | 96 (2.1) | 79 (1.8) | 
| Blister | 63 (1.4) | 40 (0.9) | 
- Adverse reaction occurring any time following the first dose of double-blind medication, which may have been prior to administration of active drug, until two days after the last dose of double-blind study medication
 † Includes the placebo-controlled period of RECORD 2, enoxaparin dosing was 40 mg once daily (RECORD 1-3)
Pediatric Patients
Treatment of Venous Thromboembolism and Reduction in Risk of Recurrent Venous
Thromboembolism in Pediatric Patients
The safety assessment is based on data from the EINSTEIN Junior Phase 3 study
in 491 patients from birth to less than 18 years of age. Patients were
randomized 2:1 to receive body weight-adjusted doses of rivaroxaban or
comparator (unfractionated heparin, low molecular weight heparin, fondaparinux
or VKA).
Discontinuation due to bleeding events occurred in 6 (1.8%) patients in the
rivaroxaban group and 3 (1.9%) patients in the comparator group.
Table 14 shows the number of patients experiencing bleeding events in the EINSTEIN Junior study. In female patients who had experienced menarche, ages 12 to <18 years of age, menorrhagia occurred in 23 (27%) female patients in the rivaroxaban group and 5 (10%) female patients in the comparator group.
Table 14: Bleeding Events in EINSTEIN Junior Study – Safety Analysis Set -Main Treatment Period*
| Parameter | rivaroxaban†N=329 n (%) | Comparator Group‡N=162 n (%) | 
| Major bleeding§ | 0 | 2 (1.2) | 
| Clinically relevant non-major bleeding¶ | 10 (3.0) | 1 (0.6) | 
| Trivial bleeding | 113 (34.3) | 44 (27.2) | 
| Any bleeding | 119 (36.2) | 45 (27.8) | 
- These events occurred after randomization until 3 months of treatment (1 month for patients <2 years with central venous catheter-related VTE (CVC-VTE). Patients may have more than one event.
 † Treatment schedule: body weight-adjusted doses of rivaroxaban tablets; randomized 2:1 (rivaroxaban tablets: Comparator).
 ‡ Unfractionated heparin (UFH), low Molecular weight heparin (LMWH), fondaparinux or VKA.
 § Defined as clinically overt bleeding associated with a decrease in hemoglobin of ≥2g/dL, a transfusion of ≥2 units
 of packed red blood cells or whole blood, bleeding at a critical site, or with a fatal outcome.
 ¶ Defined as clinically overt bleeding, which did not meet the criteria for major bleeding, but was associated with medical intervention, unscheduled contact with a physician, temporary cessation of treatment, discomfort for the patient, or impairment of activities of daily life.
Non-bleeding adverse reactions reported in ≥5% of rivaroxaban -treated patients are shown in Table 15.
Table 15: Other Adverse Reactions Reported in rivaroxaban tablets -Treated Patients by ≥5% in EINSTEIN Junior Study*
| Adverse Reaction | rivaroxaban †N=329 n (%) | Comparator Group****N=162 n (%) | 
| Pain in extremity | 23 (7) | 7 (4.3) | 
| Fatigue† | 23 (7) | 7 (4.3) | 
*Adverse reaction with Relative Risk >1.5 for rivaroxaban versus comparator.
† The following terms were combined: fatigue, asthenia.
A clinically relevant adverse reaction in rivaroxaban -treated patients was
vomiting (10.6% in the rivaroxaban group vs 8% in the comparator group).
Thromboprophylaxis in Pediatric Patients with Congenital Heart Disease (CHD)
after the Fontan Procedure
The data below are based on Part B of the UNIVERSE study which was designed to
evaluate the safety and efficacy of rivaroxaban for thromboprophylaxis in 98
children with CHD after the Fontan procedure who took at least one dose of
study drug. Patients in Part B were randomized 2:1 to receive either body
weight-adjusted doses of rivaroxaban or aspirin (approximately 5 mg/kg).
Discontinuation due to bleeding events occurred in 1 (1.6%) patient in the
rivaroxaban group and no patients in the aspirin group.
Table 16 shows the number of patients experiencing bleeding events in the UNIVERSE study.
Table 16: Bleeding Events in UNIVERSE Study -Safety Analysis Set -On Treatment Plus 2 Days
| Parameter | Rivaroxaban*************N=64 n (%) | Aspirin*N=34 n (%) | 
| Major Bleeding† | 1 (1.6) | 0 | 
| Epistaxis leading to transfusion | 1 (1.6) | 0 | 
| Clinically relevant non-major (CRNM) bleeding§ | 4 (6.3) | 3 (8.8) | 
| Trivial bleeding | 21 (32.8) | 12 (35.3) | 
| Any bleeding | 23 (35.9) | 14 (41.2) | 
- Treatment schedule: body weight-adjusted doses of rivaroxaban or aspirin (approximately 5 mg/kg); randomized 2:1 (rivaroxaban : Aspirin).
 † Defined as clinically overt bleeding associated with a decrease in hemoglobin of ≥2 g/dL, a transfusion of the equivalent of ≥2 units of
 packed red blood cells or whole blood, bleeding at a critical site, or with a fatal outcome.
 § Defined as clinically overt bleeding, which did not meet the criteria for major bleeding, but was associated with medical intervention,
 unscheduled contact with a physician, temporary cessation of treatment discomfort for the patient, or impairment of activities of daily life.
Non-bleeding adverse reactions reported in ≥5% of rivaroxaban treated patients are shown in Table 17.
Table 17: Other Adverse Reactions Reported by ≥5% of rivaroxaban tablets -Treated Patients in UNIVERSE Study (Part B)*
| Adverse Reaction | (rivaroxaban N=64 n (%) | Aspirin N=34 n (%) | 
| Cough | 10 (15.6) | 3 (8.8) | 
| Vomiting | 9 (14.1) | 3 (8.8) | 
| Gastroenteritis† | 8 (12.5) | 1 (2.9) | 
| Rash† | 6 (9.4) | 2 (5.9) | 
- Adverse reaction with Relative Risk >1.5 for rivaroxaban versus aspirin.
 † The following terms were combined: Gastroenteritis: gastroenteritis, gastroenteritis viral Rash: rash, rash maculo-papular, viral rash
6.2 Postmarketing Experience
The following adverse reactions have been identified during post-approval use of Rivaroxaban tablets. Because these reactions are reported voluntarily from a population of uncertain size, it is not always possible to reliably estimate their frequency or establish a causal relationship to drug exposure.
Blood and lymphatic system disorders: agranulocytosis, thrombocytopenia
Gastrointestinal disorders: retroperitoneal hemorrhage
Hepatobiliary disorders: jaundice, cholestasis, hepatitis (including hepatocellular injury)
Immune system disorders: hypersensitivity, anaphylactic reaction, anaphylactic shock, angioedema
Nervous system disorders: cerebral hemorrhage, subdural hematoma, epidural hematoma, hemiparesis
Renal disorders: Anticoagulant-related nephropathy Respiratory, thoracic and mediastinal disorders: Eosinophilic pneumonia
Skin and subcutaneous tissue disorders: Stevens-Johnson syndrome, drug reaction with eosinophilia and systemic symptoms (DRESS)
• The most common adverse reaction (>5%) in adult patients was bleeding. (6.1)
• The most common adverse reactions (>10%) in pediatric patients were
bleeding, cough, vomiting, and gastroenteritis. (6.1)
To report SUSPECTED ADVERSE REACTIONS, contact contact Macleods Pharma USA, Inc., at 1-888-943-3210 or FDA at 1-800-FDA-1088 or www.fda.gov/medwatch**.**
DRUG INTERACTIONS SECTION
7 DRUG INTERACTIONS
7.1 General Inhibition and Induction Properties
Rivaroxaban is a substrate of CYP3A4/5, CYP2J2, and the P-gp and ATP-binding cassette G2 (ABCG2) transporters. Combined P-gp and strong CYP3A inhibitors increase exposure to rivaroxaban and may increase the risk of bleeding. Combined P-gp and strong CYP3A inducers decrease exposure to rivaroxaban and may increase the risk of thromboembolic events.
7.2 Drugs that Inhibit Cytochrome P450 3A Enzymes and Drug Transport
Systems
Interaction with Combined P-gp and Strong CYP3A Inhibitors
Avoid concomitant administration of Rivaroxaban tablets with known combined
P-gp and strong CYP3A inhibitors (e.g., ketoconazole and ritonavir) [see Warnings and Precautions (5.6) and Clinical Pharmacology (12.3)].
Although clarithromycin is a combined P-gp and strong CYP3A inhibitor, pharmacokinetic data suggests that no precautions are necessary with concomitant administration with Rivaroxaban tablets as the change in exposure is unlikely to affect the bleeding risk [see Clinical Pharmacology (12.3)].
Interaction with Combined P-gp and Moderate CYP3A Inhibitors in Patients with
Renal Impairment
Rivaroxaban tablets should not be used in patients with CrCl 15 to <80 mL/min
who are receiving concomitant combined P-gp and moderate CYP3A inhibitors
(e.g., erythromycin) unless the potential benefit justifies the potential risk
[see Warnings and Precautions (5.4) and Clinical Pharmacology (12.3)].
7.3 Drugs that Induce Cytochrome P450 3A Enzymes and Drug Transport Systems
Avoid concomitant use of Rivaroxaban tablets with drugs that are combined P-gp and strong CYP3A inducers (e.g., carbamazepine, phenytoin, rifampin, St. John’s wort) [see Warnings and Precautions (5.6) and Clinical Pharmacology (12.3)].
7.4 Anticoagulants and NSAIDs/Aspirin
Coadministration of enoxaparin, warfarin, aspirin, clopidogrel and chronic
NSAID use may increase the risk of bleeding [see Clinical Pharmacology (12.3)].
Avoid concurrent use of Rivaroxaban tablets with other anticoagulants due to
increased bleeding risk unless benefit outweighs risk. Promptly evaluate any
signs or symptoms of blood loss if patients are treated concomitantly with
aspirin, other platelet aggregation inhibitors, or NSAIDs [see Warnings and Precautions (5.2)].
• Combined P-gp and strong CYP3A inhibitors and inducers: (7.2, 7.3)
• Anticoagulants: Avoid concomitant use (7.4)
DOSAGE & ADMINISTRATION SECTION
2 DOSAGE & ADMINISTRATION
2.1 Recommended Dosagein Adults
Table 1: Recommended Dosage in Adults
| Indication | Renal Considerations* | Dosage | Food/Timing† | 
| Prophylaxis of | |||
| Reduction of Risk of Major | No dose adjustment needed based on CrCl | 2.5 mg twice daily, plus aspirin (75 100 mg) once daily | Take with or without food | 
| Reduction of Risk of Major | No dose | 2.5 mg twice daily, plus aspirin | Take with or without food | 
- Calculate CrCl based on actual weight. See Warnings and Precautions (5.4) and Use in Specific Populations (8.6)
 † See Clinical Pharmacology (12.3)
 ‡ Patients with CrCl <30 mL/min were not studied, but administration of rivaroxaban is expected to result in serum concentrations of rivaroxaban
 similar to those in patients with moderate renal impairment (CrCl 30 to <50 mL/min) [see Use in Specific Populations (8.6)]
 § See Dosage and Administration (2.4)
2.2 Recommended Dosage in Pediatric Patients
Dosing of rivaroxaban was not studied and therefore dosing cannot be reliably determined in the following patient populations. Its use is therefore not recommended in children less than 6 months of age with any of the following:
• Less than 37 weeks of gestation at birth
• Less than 10 days of oral feeding
• Body weight of less than 2.6 kg.
To increase absorption, all doses should be taken with feeding or with food.
Monitor the child’s weight and review the dose regularly, especially for children below 12 kg. This is to ensure a therapeutic dose is maintained.
All pediatric patients (except <2 years old with catheter-related thrombosis): Therapy with rivaroxaban should be continued for at least 3 months in children with thrombosis. Treatment can be extended up to 12 months when clinically necessary. The benefit of continued therapy beyond 3 months should be assessed on an individual basis taking into account the risk for recurrent thrombosis versus the potential risk of bleeding.
Pediatric patients <2 years old with catheter-related thrombosis: Therapy with rivaroxaban should be continued for at least 1 month in children less than 2 years old with catheter-related thrombosis. Treatment can be extended up to 3 months when clinically necessary. The benefit of continued therapy beyond 1 month should be assessed on an individual basis taking into account the risk for recurrent thrombosis versus the potential risk of bleeding.
Food Effect:
For the treatment of VTE in children, the dose should be taken with food to
increase absorption. For thromboprophylaxis after Fontan procedure, the dose
can be taken with or without food.
Vomit or Spit up: If the patient vomits or spits up the dose within 30 minutes after receiving the dose, a new dose should be given. However, if the patient vomits more than 30 minutes after the dose is taken, the dose should not be re-administered and the next dose should be taken as scheduled. If the patient vomits or spits up the dose repeatedly, the caregiver should contact the child’s doctor right away.
Tablets: rivaroxaban tablet must not be split in an attempt to provide a fraction of a tablet dose.
Use in Renal Impairment in Pediatric Patients
Patients 1 Year of Age or Older
• Mild renal impairment (eGFR: 50 to ≤ 80 mL/min/1.73 m2): No dose adjustment
is required.
• Moderate or severe renal impairment (eGFR: <50 mL/min/1.73 m2): avoid use,
as limited clinical data are available.
Estimated glomerular filtration rate (eGFR) can be done using the updated
Schwartz formula, eGFR (Schwartz) = (0.413 x height in cm)/serum creatinine in
mg/dL, if serum creatinine (SCr) is measured by an enzymatic creatinine method
that has been calibrated to be traceable to isotope dilution mass spectrometry
(IDMS).
If SCr is measured with routine methods that have not been recalibrated to be traceable to IDMS (e.g., the traditional Jaffé reaction), the eGFR should be obtained from the original Schwartz formula: eGFR (mL/min/1.73 m2) = k * height (cm)/SCr (mg/dL), where k is proportionality constant:
k = 0.55 in children 1 year to 13 years
k = 0.55 in girls > 13 and < 18 years
k = 0.70 in boys > 13 and < 18 years
Patients Less than 1 Year of Age
Determine renal function using serum creatinine. Avoid use of rivaroxaban in
pediatric patients younger than 1 year with serum creatinine results above
97.5th percentile, as no clinical data are available
Table 4: Reference Values of Serum Creatinine in Pediatric Patients <1 Year of Age
| Age | 97.5thPercentile of Creatinine (mg/dL) | 97.5thPercentile of Creatinine (μmol/L) | 
| Week 2 | 0.52 | 46 | 
| Week 3 | 0.46 | 41 | 
| Week 4 | 0.42 | 37 | 
| Month 2 | 0.37 | 33 | 
| Month 3 | 0.34 | 30 | 
| Month 4-6 | 0.34 | 30 | 
| Month 7-9 | 0.34 | 30 | 
| Month 10-12 | 0.36 | 32 | 
2.3 Switching to and from Rivaroxaban tablets
Switching from Warfarin to Rivaroxaban tablets - When switching patients from
warfarin to Rivaroxaban tablets, discontinue warfarin and start Rivaroxaban
tablets as soon as the International Normalized Ratio (INR) is below 3.0 in
adults and below 2.5 in pediatric patients to avoid periods of inadequate
anticoagulation.
Switching from Rivaroxaban tablets to Warfarin –
•Adults:
No clinical trial data are available to guide converting patients from
Rivaroxaban tablets to warfarin. Rivaroxaban tablets affects INR, so INR
measurements made during coadministration with warfarin may not be useful for
determining the appropriate dose of warfarin. One approach is to discontinue
Rivaroxaban tablets and begin both a parenteral anticoagulant and warfarin at
the time the next dose of Rivaroxaban tablets would have been taken.
• Pediatric Patients:
To ensure adequate anticoagulation during the transition from rivaroxaban
tablets to warfarin, continue rivaroxaban tablets for at least 2 days after
the first dose of warfarin. After 2 days of co-administration, an INR should
be obtained prior to the next scheduled dose of rivaroxaban tablets. Co-
administration of rivaroxaban tablets and warfarin is advised to continue
until the INR is ≥ 2.0.
Once rivaroxaban tablets is discontinued, INR testing may be done reliably 24
hours after the last dose.
Switching from Rivaroxaban tablets to Anticoagulants other than Warfarin –
For adult and pediatric patients currently taking Rivaroxaban tablets and
transitioning to an anticoagulant with rapid onset, discontinue Rivaroxaban
tablets and give the first dose of the other anticoagulant (oral or
parenteral) at the time that the next Rivaroxaban tablets dose would have been
taken [see Drug Interactions (7.4)].
Switching from Anticoagulants other than Warfarin to Rivaroxaban tablets –
For adult and pediatric patients currently receiving an anticoagulant other
than warfarin, start Rivaroxaban tablets 0 to 2 hours prior to the next
scheduled administration of the drug (e.g., low molecular weight heparin or
non-warfarin oral anticoagulant) and omit administration of the other
anticoagulant. For unfractionated heparin being administered by continuous
infusion, stop the infusion and start Rivaroxaban tablets at the same time.
2.4 Discontinuation for Surgery and other Interventions
If anticoagulation must be discontinued to reduce the risk of bleeding with surgical or other procedures, Rivaroxaban tablets should be stopped at least 24 hours before the procedure to reduce the risk of bleeding [see Warnings and Precautions (5.2)]. In deciding whether a procedure should be delayed until 24 hours after the last dose of Rivaroxaban tablets, the increased risk of bleeding should be weighed against the urgency of intervention. Rivaroxaban tablets should be restarted after the surgical or other procedures as soon as adequate hemostasis has been established, noting that the time to onset of therapeutic effect is short [see Warnings and Precautions (5.1)]. If oral medication cannot be taken during or after surgical intervention, consider administering a parenteral anticoagulant.
2.5 Missed Dose
Adults
• For patients receiving 15 mg twice daily: The patient should take
Rivaroxaban tablets immediately to ensure intake of 30 mg Rivaroxaban tablets
per day. Two 15 mg tablets may be taken at once.
• For patients receiving 20 mg, 15 mg or 10 mg once daily: The patient should
take the missed Rivaroxaban tablets dose immediately. The dose should not be
doubled within the same day to make up for a missed dose.
Pediatric Patients
• If rivaroxaban tablets is taken once a day, the patient should take the
missed dose as soon as possible once it is noticed, but only on the same day.
If this is not possible, the patient should skip the dose and continue with
the next dose as prescribed. The patient should not take two doses to make up
for a missed dose.
• If rivaroxaban tablets is taken two times a day, the patient should take the
missed morning dose as soon as possible once it is noticed. A missed morning
dose may be taken together with the evening dose. A missed evening dose can
only be taken in the same evening.
•If rivaroxaban tablets is taken three times a day, if a dose is missed, the
patient should skip the missed dose and go back to the regular dosing schedule
at the usual time without compensating for the missed dose.
On the following day, the patient should continue with their regular regimen.
2.6 Administration Options
For adult patients who are unable to swallow whole tablets, Rivaroxaban
tablets tablets (all strengths) may be crushed and mixed with applesauce
immediately prior to use and administered orally. After the administration of
a crushed rivaroxaban tablets, 15 mg or 20 mg tablet, the dose should be
immediately followed by food. Administration with food is not required for the
2.5 mg or 10 mg tablets [see Clinical Pharmacology (12.3)].
Administration of rivaroxaban tablets via nasogastric (NG) tube or gastric
feeding tube: After confirming gastric placement of the tube, rivaroxaban
tablets tablets (all strengths) may be crushed and suspended in 50 mL of water
and administered via an NG tube or gastric feeding tube. Since rivaroxaban
absorption is dependent on the site of drug release, avoid administration of
rivaroxaban tablets distal to the stomach which can result in reduced
absorption and thereby, reduced drug exposure. After the administration of a
crushed rivaroxaban tablets, 15 mg or 20 mg tablet, the dose should then be
immediately followed by enteral feeding. Enteral feeding is not required
following
administration of the 2.5 mg or 10 mg tablets [see Clinical Pharmacology (12.3)].
Crushed rivaroxaban tablets (all strengths) are stable in water and in
applesauce for up to 4 hours. An in vitro compatibility study indicated that
there is no adsorption of rivaroxaban from a water suspension of a crushed
rivaroxaban tablets to PVC or silicone nasogastric (NG) tubing.
Administration of rivaroxaban tablets suspension via NG tube or gastric
feeding tube: rivaroxaban tablets oral suspension may be given through NG or
gastric feeding tube. After the administration, flush the feeding tube with
water.
For the treatment or reduction in risk of recurrent VTE in pediatric patients,
the dose should then be immediately followed by enteral feeding to increase
absorption. For the thromboprophylaxis in pediatric patients with congenital
heart disease who have undergone the Fontan procedure, the dose does not
require to be followed by enteral feeding.
An in vitro compatibility study indicated that rivaroxaban tablets suspension can be used with PVC, polyurethane or silicone NG tubing.
DOSAGE FORMS & STRENGTHS SECTION
3 DOSAGE FORMS & STRENGTHS
• 2.5 mg tablets are Light yellow colour, circular, biconvex, film coated tablets debossed with “J 7” on one side and plain on the other side.
USE IN SPECIFIC POPULATIONS SECTION
8 USE IN SPECIFIC POPULATIONS
8.1 Pregnancy
Risk Summary
The limited available data on Rivaroxaban tablets in pregnant women are
insufficient to inform a drug-associated risk of adverse developmental
outcomes. Use Rivaroxaban tablets with caution in pregnant patients because of
the potential for pregnancy related hemorrhage and/or emergent delivery. The
anticoagulant effect of Rivaroxaban tablets cannot be reliably monitored with
standard laboratory testing. Consider the benefits and risks of Rivaroxaban
tablets for the mother and possible risks to the fetus when prescribing
Rivaroxaban tablets to a pregnant woman [see Warnings and Precautions (5.2, 5.7)].
Adverse outcomes in pregnancy occur regardless of the health of the mother or
the use of medications. The estimated background risk of major birth defects
and miscarriage for the indicated populations is unknown. In the U.S. general
population, the estimated background risk of major birth defects and
miscarriage in clinically recognized pregnancies is 2–4% and 15–20%,
respectively.
Clinical Considerations
Disease-Associated Maternal and/or Embryo/Fetal Risk
Pregnancy is a risk factor for venous thromboembolism and that risk is
increased in women with inherited or acquired thrombophilias. Pregnant women
with thromboembolic disease have an increased risk of maternal complications
including pre-eclampsia. Maternal thromboembolic disease increases the risk
for intrauterine growth restriction, placental abruption and early and late
pregnancy loss.
Fetal/Neonatal Adverse Reactions
Based on the pharmacologic activity of Factor Xa inhibitors and the potential
to cross the placenta, bleeding may occur at any site in the fetus and/or
neonate.
Labor or Delivery
All patients receiving anticoagulants, including pregnant women, are at risk
for bleeding and this risk may be increased during labor or delivery [see Warnings and Precautions (5.7)]. The risk of bleeding should be balanced with
the risk of thrombotic events when considering the use of Rivaroxaban tablets
in this setting.
Data
Human Data
There are no adequate or well-controlled studies of Rivaroxaban tablets in
pregnant women, and dosing for pregnant women has not been established. Post-
marketing experience is currently insufficient to determine a rivaroxaban-
associated risk for major birth defects or miscarriage. In an in vitro
placenta perfusion model, unbound rivaroxaban was rapidly transferred across
the human placenta.
Animal Data
Rivaroxaban crosses the placenta in animals. Rivaroxaban increased fetal
toxicity (increased resorptions, decreased number of live fetuses, and
decreased fetal body weight) when pregnant rabbits were given oral doses of
≥10 mg/kg rivaroxaban during the period of organogenesis. This dose
corresponds to about 4 times the human exposure of unbound drug, based on AUC
comparisons at the highest recommended human dose of 20 mg/day. Fetal body
weights decreased when pregnant rats were given oral doses of 120 mg/kg during
the period of organogenesis. This dose corresponds to about 14 times the human
exposure of unbound drug. In rats, peripartal maternal bleeding and maternal
and fetal death occurred at the rivaroxaban dose of 40 mg/kg (about 6 times
maximum human exposure of the unbound drug at the human dose of 20 mg/day).
8.2 Lactation
Risk Summary
Rivaroxaban has been detected in human milk. There are insufficient data to
determine the effects of rivaroxaban on the breastfed child or on milk
production. Rivaroxaban and/or its metabolites were present in the milk of
rats. The developmental and health benefits of breastfeeding should be
considered along with the mother’s clinical need for Rivaroxaban tablets and
any potential adverse effects on the breastfed infant from Rivaroxaban tablets
or from the underlying maternal condition (see Data).
Data
Animal Data
Following a single oral administration of 3 mg/kg of radioactive
[14C]-rivaroxaban to lactating rats between Day 8 to 10 postpartum, the
concentration of total radioactivity was determined in milk samples collected
up to 32 hours post-dose. The estimated amount of radioactivity excreted with
milk within 32 hours after administration was 2.1% of the maternal dose.
8.3 Females and Males of Reproductive Potential
Females of reproductive potential requiring anticoagulation should discuss pregnancy planning with their physician.
8.4 Pediatric Use
The safety and effectiveness of rivaroxaban tablets have been established in
pediatric patients from birth to less than 18 years for the treatment of VTE
and the reduction in risk of recurrent VTE. Use of rivaroxaban tablets is
supported in these age groups by evidence from adequate and well-controlled
studies of rivaroxaban tablets in adults with additional pharmacokinetic,
safety and efficacy data from a multicenter, prospective, open-label, active-
controlled randomized study in 500 pediatric patients from birth to less than
18 years of age. rivaroxaban tablets was not studied and therefore dosing
cannot be reliably determined or recommended in children less than 6 months
who were less than 37 weeks of gestation at birth; had less than 10 days of
oral feeding, or had a body weight of less than 2.6 kg [see Dosage and Administration (2.2), Adverse Reactions (6.1), Clinical Pharmacology (12.3) and Clinical Studies (14.8)].
The safety and effectiveness of rivaroxaban tablets have been established for
use in pediatric patients aged 2 years and older with congenital heart disease
who have undergone the Fontan procedure. Use of rivaroxaban tablets is
supported in these age groups by evidence from adequate and well-controlled
studies of rivaroxaban tablets in adults with additional data from a
multicenter, prospective, open-label, active controlled study in 112 pediatric
patients to evaluate the single-and multiple-dose pharmacokinetic properties
of rivaroxaban tablets and the safety and efficacy of rivaroxaban when used
for thromboprophylaxis for 12 months in children with single ventricle
physiology who had the Fontan procedure [see Dosage and Administration (2.2), Adverse Reactions (6.1), Clinical Pharmacology (12.3) and Clinical Studies (14.9)].
Clinical studies that evaluated safety, efficacy, pharmacokinetic and
pharmacodynamic data support the use of rivaroxaban tablets 10 mg, 15 mg, and
20 mg tablets in pediatric patients. For the rivaroxaban tablets 2.5 mg
tablets, there are no safety, efficacy, pharmacokinetic and pharmacodynamic
data to support the use in pediatric patients. Therefore, rivaroxaban tablets
2.5 mg tablets are not recommended for use in pediatric patients.
Although not all adverse reactions identified in the adult population have
been observed in clinical trials of children and adolescent patients, the same
warnings and precautions for adults should be considered for children and
adolescents.
8.5 Geriatric Use
Of the total number of patients in the RECORD 1-3 clinical studies evaluating Rivaroxaban tablets, about 54% were 65 years and over, while about 15% were
75 years. In ROCKET AF, approximately 77% were 65 years and over and about 38% were >75 years. In the EINSTEIN DVT, PE and Extension clinical studies approximately 37% were 65 years and over and about 16% were >75 years. In EINSTEIN CHOICE, approximately 39% were 65 years and over and about 12% were>75 years. In the MAGELLAN study, approximately 67% were 65 years and over and about 37% were >75 years.In clinical trials the efficacy of Rivaroxaban tablets in the elderly (65 years or older) was similar to that seen in patients younger than 65 years. Both thrombotic and bleeding event rates were higher in these older patients, but the risk-benefit profile was favorable in all age groups [see Clinical Pharmacology (12.3) and Clinical Studies (14)].
8.6 Renal Impairment
In pharmacokinetic studies, compared to healthy adult subjects with normal creatinine clearance, rivaroxaban exposure increased by approximately 44 to 64% in adult subjects with renal impairment. Increases in pharmacodynamic effects were also observed [see Clinical Pharmacology (12.3)].
Nonvalvular Atrial Fibrillation
Patients with Chronic Kidney Disease not on Dialysis
In the ROCKET AF trial, patients with CrCl 30 to 50 mL/min were administered
Rivaroxaban tablets 15 mg once daily resulting in serum concentrations of
rivaroxaban and clinical outcomes similar to those in patients with better
renal function administered Rivaroxaban tablets 20 mg once daily. Patients
with CrCl ≤30 mL/min were not studied, but administration of Rivaroxaban
tablets 15 mg once daily is expected to result in serum concentrations of
rivaroxaban similar to those in patients with moderate renal impairment [see Clinical Pharmacology (12.3)].
Patients with End-Stage Renal Disease on Dialysis
Clinical efficacy and safety studies with Rivaroxaban tablets did not enroll
patients with end-stage renal disease (ESRD) on dialysis. In patients with
ESRD maintained on intermittent hemodialysis, administration of Rivaroxaban
tablets 15 mg once daily will result in concentrations of rivaroxaban and
pharmacodynamic activity similar to those observed in the ROCKET AF study [see Clinical Pharmacology (12.2, 12.3)]. It is not known whether these
concentrations will lead to similar stroke reduction and bleeding risk in
patients with ESRD on dialysis as was seen in ROCKET AF.
Treatment of DVT and/or PE and Reduction in the Risk of Recurrence of DVT
and/or PE
In the EINSTEIN trials, patients with CrCl values <30 mL/min at screening were
excluded from the studies, but administration of rivaroxaban tablets is
expected to result in serum concentrations of rivaroxaban similar to those in
patients with moderate renal impairment (CrCl 30 to <50 mL/min) [see Clinical Pharmacology (12.3)]. Observe closely and promptly evaluate any signs or
symptoms of blood loss in patients with CrCl 15 to <30 mL/min. Avoid the use
of rivaroxaban tablets in patients with CrCl <15 mL/min.
Prophylaxis of DVT Following Hip or Knee Replacement Surgery
The combined analysis of the RECORD 1-3 clinical efficacy studies did not show
an increase in bleeding risk for patients with CrCl 30 to 50 mL/min and
reported a possible increase in total venous thromboemboli in this population.
In the RECORD 1-3 trials, patients with CrCl values <30 mL/min at screening
were excluded from the studies, but administration of rivaroxaban tablets 10
mg once daily is expected to result in serum concentrations of rivaroxaban
similar to those in patients with moderate renal impairment (CrCl 30 to <50
mL/min) [see Clinical Pharmacology (12.3)]. Observe closely and promptly
evaluate any signs or symptoms of blood loss in patients with CrCl 15 to <30
mL/min. Avoid the use of rivaroxaban tablets in patients with CrCl <15 mL/min.
Prophylaxis of Venous Thromboembolism in Acutely Ill Medical Patients at Risk
for Thromboembolic Complications Not at High Risk of Bleeding
Patients with CrCl values <30 mL/min at screening were excluded from the
MAGELLAN study.In patients with CrCl <30 mL/min a dose of rivaroxaban tablets
10 mg once daily is expected to result in serum concentrations of rivaroxaban
similar to those in patients with moderate renal impairment (CrCl 30 to <50
mL/min) [see Clinical Pharmacology (12.3)]. Observe closely and promptly
evaluate any signs or symptoms of blood loss in patients with CrCl 15 to <30
mL/min. Avoid use of rivaroxaban tablets in patients with CrCl <15 mL/min.
Reduction of Risk of Major Cardiovascular Events in Patients with CAD and
Reduction of Risk of Major Thrombotic Vascular Events in Patients with PAD,
Including Patients After Recent Lower Extremity Revascularization due to
Symptomatic PAD
Patients with Chronic Kidney Disease not on Dialysis
Patients with a CrCl <15 mL/min at screening were excluded from COMPASS and
VOYAGER and limited data are available for patients with a CrCl of 15-30
mL/min. In patients with CrCl ≤30 mL/min, a dose of 2.5 mg rivaroxaban tablets
twice daily is expected to give an exposure similar to that in patients with
moderate renal impairment [see Clinical Pharmacology (12.3)], whose efficacy
and safety outcomes were similar to those with preserved renal function.
Patients with End-Stage Renal Disease on Dialysis
No clinical outcome data is available for the use of rivaroxaban tablets with
aspirin in patients with ESRD on dialysis since these patients were not
enrolled in COMPASS or VOYAGER. In patients with ESRD maintained on
intermittent hemodialysis, administration of rivaroxaban tablets 2.5 mg twice
daily will result in concentrations of rivaroxaban and pharmacodynamic
activity similar to those observed in moderate renal impaired patients in the
COMPASS study [see Clinical Pharmacology (12.2, 12.3)]. It is not known
whether these concentrations will lead to similar CV risk reduction and
bleeding risk in patients with ESRD on dialysis as was seen in COMPASS.
Pediatric Use
No dosage adjustment is required in patients 1 year of age or older with mild
renal impairment (eGFR 50 to ≤ 80 mL/min/1.73 m2). There are limited clinical
data in pediatric patients 1 year or older with moderate or severe renal
impairment (eGFR <50 mL/min/1.73 m2); therefore, avoid the use of rivaroxaban
tablets in these patients.
There are no clinical data in pediatric patients younger than 1 year with
serum creatinine results above 97.5th percentile; therefore, avoid the use of
rivaroxaban tablets in these patients [see Dosage and Administration (2.2)].
8.7 Hepatic Impairment
In a pharmacokinetic study, compared to healthy adult subjects with normal
liver function, AUC increases of 127% were observed in subjects with moderate
hepatic impairment (Child-Pugh B).
The safety or PK of Rivaroxaban tablets in patients with severe hepatic
impairment (Child-Pugh C) has not been evaluated [see Clinical Pharmacology (12.3)].
Avoid the use of Rivaroxaban tablets in patients with moderate (Child-Pugh B)
and severe (Child-Pugh C) hepatic impairment or with any hepatic disease
associated with coagulopathy.
No clinical data are available in pediatric patients with hepatic impairment.
• Renal impairment: Avoid or adjust dose (8.6)
• Hepatic impairment: Avoid use in Child-Pugh B and C hepatic impairment or
hepatic disease associated with coagulopathy (8.7)
OVERDOSAGE SECTION
10 OVERDOSAGE
Overdose of Rivaroxaban tablets may lead to hemorrhage. Discontinue Rivaroxaban tablets and initiate appropriate therapy if bleeding complications associated with overdosage occur. Rivaroxaban systemic exposure is not further increased at single doses >50 mg due to limited absorption. The use of activated charcoal to reduce absorption in case of Rivaroxaban tablets overdose may be considered. Due to the high plasma protein binding, rivaroxaban is not dialyzable [see Warnings and Precautions (5.2) and Clinical Pharmacology (12.3)]. Partial reversal of laboratory anticoagulation parameters may be achieved with use of plasma products. An agent to reverse the anti-factor Xa activity of rivaroxaban is available.
DESCRIPTION SECTION
11 DESCRIPTION
Rivaroxaban, a factor Xa (FXa) inhibitor, is the active ingredient in Rivaroxaban tablets Tablets with the chemical name 5-Chloro-N-({(5S)-2-oxo-3-[4-(3-oxo-4-morpholinyl)phenyl]-1,3-oxazolidin-5yl}methyl)-2-thiophenecarboxamide. The molecular formula of rivaroxaban is C19H18ClN3O5S and the molecular weight is 435.89. The structural formula is:

Rivaroxaban is a pure (S)-enantiomer. It is an odorless, non-hygroscopic, white to yellowish powder. Rivaroxaban is only slightly soluble in organic solvents (e.g., acetone, polyethylene glycol 400) and is practically insoluble in water and aqueous media.
Each Rivaroxaban tablets contains 2.5 mg of rivaroxaban. The inactive ingredients of Rivaroxaban tablets are: colloidal silicon dioxide, croscarmellose sodium, hydroxypropyl methylcellulose, lactose monohydrate, magnesium stearate, microcrystalline cellulose, and sodium lauryl sulfate. Additionally, the proprietary film coating mixture used for Rivaroxaban Tablet 2.5 mg is Instacoat@ Yellow and containing Hypromellose, polyethylene glycol, Titanium dioxide, yellow iron oxide.
CLINICAL PHARMACOLOGY SECTION
12 CLINICAL PHARMACOLOGY
12.1 Mechanism of Action
Rivaroxaban is a selective inhibitor of FXa. It does not require a cofactor (such as Anti-thrombin III) for activity. Rivaroxaban inhibits free FXa and prothrombinase activity. Rivaroxaban has no direct effect on platelet aggregation, but indirectly inhibits platelet aggregation induced by thrombin. By inhibiting FXa, rivaroxaban decreases thrombin generation.
12.2 Pharmacodynamics
Rivaroxaban produces dose-dependent inhibition of FXa activity. Clotting
tests, such as prothrombin time (PT), activated partial thromboplastin time
(aPTT) and HepTest®, are also prolonged dose-dependently. In children treated
with rivaroxaban, the correlation between anti-factor Xa to plasma
concentrations is linear with a slope close to 1.
Monitoring for anticoagulation effect of rivaroxaban using anti-FXa activity
or a clotting test is not recommended.
Specific Populations
Renal Impairment
The relationship between systemic exposure and pharmacodynamic activity of
rivaroxaban was altered in adult subjects with renal impairment relative to
healthy control subjects [see Use in Specific Populations (8.6)].
Table 18 Percentage Increase in Rivaroxaban PK and PD Measures in adult
Subjects with Renal Impairment Relative to Healthy Subjects from Clinical
Pharmacology Studies
| Measure | Parameter | Creatinine Clearance (mL/min) | ||||
| 50-79 | 30-49 | 15-29 | ESRD (on | ESRD | ||
| Exposure | AUC | 44 | 52 | 64 | 47 | 56 | 
| FXa Inhibition | AUEC | 50 | 86 | 100 | 49 | 33 | 
| PT Prolongation | AUEC | 33 | 116 | 144 | 112 | 158 | 
*Separate stand-alone study. PT = Prothrombin time; FXa = Coagulation factor Xa; AUC = Area under the plasma concentration-time curve; AUEC = Area under the effect-time curve
Hepatic Impairment
Anti-Factor Xa activity was similar in adult subjects with normal hepatic
function and in mild hepatic impairment (Child-Pugh A class). There is no
clear understanding of the impact of hepatic impairment beyond this degree on
the coagulation cascade and its relationship to efficacy and safety.
12.3 Pharmacokinetics
Absorption
The absolute bioavailability of rivaroxaban is dose-dependent. For the 2.5 mg
and 10 mg dose, it is estimated to be 80% to 100% and is not affected by food.
Rivaroxaban 2.5 mg and 10 mg tablets can be taken with or without food.
Rivaroxaban 20 mg administered in the fasted state has an absolute
bioavailability of approximately 66%. Coadministration of Rivaroxaban with
food increases the bioavailability of the 20 mg dose (mean AUC and Cmax
increasing by 39% and 76% respectively with food). Rivaroxaban 15 mg and 20 mg
tablets should be taken with food [see Dosage and Administration (2.1)].
The maximum concentrations (Cmax) of rivaroxaban appear 2 to 4 hours after
tablet intake. The pharmacokinetics of rivaroxaban were not affected by drugs
altering gastric pH. Coadministration of Rivaroxaban (30 mg single dose) with
the H2-receptor antagonist ranitidine (150 mg twice daily), the antacid
aluminum hydroxide/magnesium hydroxide (10 mL) or Rivaroxaban (20 mg single
dose) with the PPI omeprazole (40 mg once daily) did not show an effect on the
bioavailability and exposure of rivaroxaban (see Figure 4).
Absorption of rivaroxaban is dependent on the site of drug release in the GI
tract. A 29% and 56% decrease in AUC and Cmax compared to tablet was reported
when rivaroxaban granulate is released in the proximal small intestine.
Exposure is further reduced when drug is released in the distal small
intestine, or ascending colon. Avoid administration of rivaroxaban distal to
the stomach which can result in reduced absorption and related drug exposure.
In a study with 44 healthy subjects, both mean AUC and Cmax values for 20 mg
rivaroxaban administered orally as a crushed tablet mixed in applesauce were
comparable to that after the whole tablet. However, for the crushed tablet
suspended in water and administered via an NG tube followed by a liquid meal,
only mean AUC was comparable to that after the whole tablet, and Cmax was 18%
lower.
Distribution
Protein binding of rivaroxaban in human plasma is approximately 92% to 95%,
with albumin being the main binding component. The steady-state volume of
distribution in healthy subjects is approximately 50 L.
Metabolism
Approximately 51% of an orally administered [14C]-rivaroxaban dose was
recovered as inactive metabolites in urine (30%) and feces (21%). Oxidative
degradation catalyzed by CYP3A4/5 and CYP2J2 and hydrolysis are the major
sites of biotransformation. Unchanged rivaroxaban was the predominant moiety
in plasma with no major or active circulating metabolites.
Excretion
In a Phase 1 study, following the administration of [14C]-rivaroxaban,
approximately one-third (36%) was recovered as unchanged drug in the urine and
7% was recovered as unchanged drug in feces. Unchanged drug is excreted into
urine, mainly via active tubular secretion and to a lesser extent via
glomerular filtration (approximate 5:1 ratio). Rivaroxaban is a substrate of
the efflux transporter proteins P-gp and ABCG2 (also abbreviated BCRP).
Rivaroxaban’s affinity for influx transporter proteins is unknown.
Rivaroxaban is a low-clearance drug, with a systemic clearance of
approximately 10 L/hr in healthy volunteers following intravenous
administration. The terminal elimination half-life of rivaroxaban is 5 to 9
hours in healthy subjects aged 20 to 45 years.
Specific Populations
The effects of level of renal impairment, age, body weight, and level of hepatic impairment on the pharmacokinetics of rivaroxaban are summarized in Figure 2
Figure 2 Effect of Specific Adult Populations on the Pharmacokinetics of
Rivaroxaban
****
[See Dosage and Administration (2.1)].
Gender
Gender did not influence the pharmacokinetics or pharmacodynamics of
Rivaroxaban.
Race
Healthy Japanese subjects were found to have 20 to 40% on average higher
exposures compared to other ethnicities including Chinese. However, these
differences in exposure are reduced when values are corrected for body weight.
Elderly
The terminal elimination half-life is 11 to 13 hours in the elderly subjects
aged 60 to 76 years [see Use in Specific Populations (8.5)].
Pediatric Patients
The rate and extent of absorption were similar between the tablet and
suspension. After repeated administration of rivaroxaban for the treatment of
VTE, the Cmax of rivaroxaban in plasma was observed at median times of 1.5 to
2.2 hours in subjects who ranged from birth to less than 18 years of age.
In children who were 6 months to 9 years of age, in vitro plasma protein
binding of rivaroxaban is approximately 90%.
The half-life of rivaroxaban in plasma of pediatric patients treated for VTE
decreased with decreasing age. Mean half-life values were 4.2 hours in
adolescents, 3 hours in children 2 to 12 years of age, 1.9 hours in children
0.5 to <2 years of age, and 1.6 hours in children <0.5 years of age.
An exploratory analysis in pediatric patients treated for VTE did not reveal
relevant differences in rivaroxaban exposure based on gender or race.
Renal Impairment
The safety and pharmacokinetics of single-dose Rivaroxaban (10 mg) were
evaluated in a study in healthy subjects [CrCl ≥80 mL/min (n=8)] and in
subjects with varying degrees of renal impairment (see Figure 3). Compared to
healthy subjects with normal creatinine clearance, rivaroxaban exposure
increased in subjects with renal impairment. Increases in pharmacodynamic
effects were also observed [see Use in Specific Populations (8.6)].
Hemodialysis in ESRD subjects: Systemic exposure to rivaroxaban administered
as a single 15 mg dose in ESRD subjects dosed 3 hours after the completion of
a 4-hour hemodialysis session (post-dialysis) is 56% higher when compared to
subjects with normal renal function (see Table 18). The systemic exposure to
rivaroxaban administered 2 hours prior to a 4-hour hemodialysis session with a
dialysate flow rate of 600 mL/min and a blood flow rate in the range of 320 to
400 mL/min is 47% higher compared to those with normal renal function. The
extent of the increase is similar to the increase in patients with CrCl 15 to
50 mL/min taking Rivaroxaban 15 mg. Hemodialysis had no significant impact on
rivaroxaban exposure. Protein binding was similar (86% to 89%) in healthy
controls and ESRD subjects in this study.
Pediatric Patients: Limited clinical data are available in children 1 year or older with moderate or severe renal impairment (eGFR <50 mL/min/1.73 m2) or in children younger than 1 year with serum creatinine results above 97.5th percentile [see Dosage and Administration (2.2) and Use in Specific Populations (8.6)].
Hepatic Impairment
The safety and pharmacokinetics of single-dose Rivaroxaban (10 mg) were
evaluated in a study in healthy adult subjects (n=16) and subjects with
varying degrees of hepatic impairment (see Figure 3). No patients with severe
hepatic impairment (Child-Pugh C) were studied. Compared to healthy subjects
with normal liver function, significant increases in rivaroxaban exposure were
observed in subjects with moderate hepatic impairment (Child-Pugh B) (see
Figure 3). Increases in pharmacodynamic effects were also observed [see Use in Specific Populations (8.7)].
No clinical data are available in pediatric patients with hepatic impairment
Drug Interactions
In vitro studies indicate that rivaroxaban neither inhibits the major
cytochrome P450 enzymes CYP1A2, 2C8, 2C9, 2C19, 2D6, 2J2, and 3A nor induces
CYP1A2, 2B6, 2C19, or 3A. In vitro data also indicates a low rivaroxaban
inhibitory potential for P-gp and ABCG2 transporters.
The effects of coadministered drugs on the pharmacokinetics of rivaroxaban
exposure are summarized in Figure 3 [see Drug Interactions (7)].
Figure 3 Effect of Coadministered Drugs on the Pharmacokinetics of
Rivaroxaban in Adults
****
Anticoagulants
In a drug interaction study, single doses of enoxaparin (40 mg subcutaneous)
and Rivaroxaban (10 mg) given concomitantly resulted in an additive effect on
anti-factor Xa activity. In another study, single doses of warfarin (15 mg)
and Rivaroxaban (5 mg) resulted in an additive effect on factor Xa inhibition
and PT. Neither enoxaparin nor warfarin affected the pharmacokinetics of
rivaroxaban (see Figure 3).
NSAIDs/Aspirin
In ROCKET AF, concomitant aspirin use (almost exclusively at a dose of 100 mg
or less) during the double-blind phase was identified as an independent risk
factor for major bleeding. NSAIDs are known to increase bleeding, and bleeding
risk may be increased when NSAIDs are used concomitantly with Rivaroxaban.
Neither naproxen nor aspirin affected the pharmacokinetics of rivaroxaban (see
Figure 3).
Clopidogrel
In two drug interaction studies where clopidogrel (300 mg loading dose
followed by 75 mg daily maintenance dose) and Rivaroxaban (15 mg single dose)
were coadministered in healthy subjects, an increase in bleeding time to 45
minutes was observed in approximately 45% and 30% of subjects in these
studies, respectively. The change in bleeding time was approximately twice the
maximum increase seen with either drug alone. There was no change in the
pharmacokinetics of either drug.
Drug-Disease Interactions with Drugs that Inhibit Cytochrome P450 3A Enzymes
and Drug Transport Systems
In a pharmacokinetic trial, Rivaroxaban was administered as a single dose in
subjects with mild (CrCl = 50 to 79 mL/min) or moderate renal impairment (CrCl
= 30 to 49 mL/min) receiving multiple doses of erythromycin (a combined P-gp
and moderate CYP3A inhibitor). Compared to Rivaroxaban administered alone in
subjects with normal renal function (CrCl >80 mL/min), subjects with mild and
moderate renal impairment concomitantly receiving erythromycin reported a 76%
and 99% increase in AUCinf and a 56% and 64% increase in Cmax, respectively.
Similar trends in pharmacodynamic effects were also observed.
12.6 QT/QTc Prolongation
In a thorough QT study in healthy men and women aged 50 years and older, no QTc prolonging effects were observed for Rivaroxaban tablets (15 mg and 45 mg, single-dose).
NONCLINICAL TOXICOLOGY SECTION
13 NONCLINICAL TOXICOLOGY
13.1 Carcinogenesis & Mutagenesis & Impairment Of Fertility
Rivaroxaban was not carcinogenic when administered by oral gavage to mice or
rats for up to 2 years. The systemic exposures (AUCs) of unbound rivaroxaban
in male and female mice at the highest dose tested (60 mg/kg/day) were 1- and
2-times, respectively, the human exposure of unbound drug at the human dose of
20 mg/day. Systemic exposures of unbound drug in male and female rats at the
highest dose tested (60 mg/kg/day) were 2- and 4-times, respectively, the
human exposure.
Rivaroxaban was not mutagenic in bacteria (Ames-Test) or clastogenic in V79
Chinese hamster lung cells in vitro or in the mouse micronucleus test in vivo.
No impairment of fertility was observed in male or female rats when given up
to 200 mg/kg/day of rivaroxaban orally. This dose resulted in exposure levels,
based on the unbound AUC, at least 13 times the exposure in humans given 20 mg
rivaroxaban daily.
CLINICAL STUDIES SECTION
14 CLINICAL STUDIES
14.1 Stroke Prevention in Nonvalvular Atrial Fibrillation
The evidence for the efficacy and safety of Rivaroxaban was derived from
Rivaroxaban Once-daily oral direct factor Xa inhibition Compared with vitamin
K antagonist for the prevention of stroke and Embolism Trial in Atrial
Fibrillation (ROCKET AF) [NCT00403767], a multi-national, double-blind study
comparing Rivaroxaban (at a dose of 20 mg once daily with the evening meal in
patients with CrCl >50 mL/min and 15 mg once daily with the evening meal in
patients with CrCl 30 to 50 mL/min) to warfarin (titrated to INR 2.0 to 3.0)
to reduce the risk of stroke and non-central nervous system (CNS) systemic
embolism in patients with nonvalvular atrial fibrillation (AF). Patients had
to have one or more of the following additional risk factors for stroke:
• a prior stroke (ischemic or unknown type), transient ischemic attack (TIA)
or non-CNS systemic embolism, or
• 2 or more of the following risk factors:
o age ≥75 years,
o hypertension,
o heart failure or left ventricular ejection fraction ≤35%, or
o diabetes mellitus
ROCKET AF was a non-inferiority study designed to demonstrate that Rivaroxaban
preserved more than 50% of warfarin’s effect on stroke and non-CNS systemic
embolism as established by previous placebo-controlled studies of warfarin in
atrial fibrillation.
A total of 14264 patients were randomized and followed on study treatment for
a median of 590 days. The mean age was 71 years and the mean CHADS2 score was
3.5. The population was 60% male, 83% Caucasian, 13% Asian and 1.3% Black.
There was a history of stroke, TIA, or non-CNS systemic embolism in 55% of
patients, and 38% of patients had not taken a vitamin K antagonist (VKA)
within 6 weeks at time of screening. Concomitant diseases of patients in this
study included hypertension 91%, diabetes 40%, congestive heart failure 63%,
and prior myocardial infarction 17%. At baseline, 37% of patients were on
aspirin (almost exclusively at a dose of 100 mg or less) and few patients were
on clopidogrel. Patients were enrolled in Eastern Europe (39%); North America
(19%); Asia, Australia, and New Zealand (15%); Western Europe (15%); and Latin
America (13%). Patients randomized to warfarin had a mean percentage of time
in the INR target range of 2.0 to 3.0 of 55%, lower during the first few
months of the study.
In ROCKET AF, Rivaroxaban was demonstrated non-inferior to warfarin for the
primary composite endpoint of time to first occurrence of stroke (any type) or
non-CNS systemic embolism [HR (95% CI): 0.88 (0.74, 1.03)], but superiority to
warfarin was not demonstrated. There is insufficient experience to determine
how Rivaroxaban and warfarin compare when warfarin therapy is well-controlled.
Table 19 displays the overall results for the primary composite endpoint and
its components.
Table 19 Primary Composite Endpoint Results in ROCKET AF Study (Intent-to-
Treat Population)
| Rivaroxaban | Warfarin | Rivaroxaban vs. | |||
| Event | ** N=7081** | Event Rate (per 100 Pt- | ** N=7090 n (%)** | Event Rate (per 100 Pt- | ** Hazard Ratio (95% CI)** | 
| Primary Composite Endpoint* | 269 (3.8) | 2.1 | 306 (4.3) | 2.4 | 0.88 (0.74, 1.03) | 
| Stroke | 253 (3.6) | 2.0 | 281 (4.0) | 2.2 | |
| Hemorrhagic Stroke† | 33 (0.5) | 0.3 | 57 (0.8) | 0.4 | |
| Ischemic Stroke | 206 (2.9) | 1.6 | 208 (2.9) | 1.6 | |
| Unknown Stroke Type | 19 (0.3) | 0.2 | 18 (0.3) | 0.1 | |
| Non-CNS Systemic Embolism | 20 (0.3) | 0.2 | 27 (0.4) | 0.2 | 
- The primary endpoint was the time to first occurrence of stroke (any type) or non-CNS systemic embolism. Data are shown for all randomized patients followed to site notification that the study would end.
 † Defined as primary hemorrhagic strokes confirmed by adjudication in all randomized patients followed up to site notification
 Figure 4 is a plot of the time from randomization to the occurrence of the first primary endpoint event in the two treatment arms.
Figure 4: Time to First Occurrence of Stroke (any type) or Non-CNS Systemic
Embolism by Treatment Group (Intent-to-Treat Population)
***
Figure 5 shows the risk of stroke or non-CNS systemic embolism across major
subgroups.
Figure 5: Risk of Stroke or Non-CNS Systemic Embolism by Baseline
Characteristics in ROCKET AF (Intent-to-Treat Population)
****
- Data are shown for all randomized patients followed to site notification that the study would end. Note: The figure above presents effects in various subgroups all of which are baseline characteristics and all of which were pre-specified (diabetic status was not pre-specified in the subgroup, but was a criterion for the CHADS2 score). The 95% confidence limits that are shown do not take into account how many comparisons were made, nor do they reflect the effect of a particular factor after adjustment for all other factors. Apparent homogeneity or heterogeneity among groups should not be over-interpreted.
 The efficacy of Rivaroxaban was generally consistent across major subgroups.
 The protocol for ROCKET AF did not stipulate anticoagulation after study drug discontinuation, but warfarin patients who completed the study were generally maintained on warfarin. Rivaroxaban patients were generally switched to warfarin without a period of coadministration of warfarin and Rivaroxaban, so that they were not adequately anticoagulated after stopping Rivaroxaban until attaining a therapeutic INR. During the 28 days following the end of the study, there were 22 strokes in the 4637 patients taking Rivaroxaban vs. 6 in the 4691 patients taking warfarin.
 Few patients in ROCKET AF underwent electrical cardioversion for atrial fibrillation. The utility of Rivaroxaban for preventing post-cardioversion stroke and systemic embolism is unknown.
14.2 Treatment of Deep Vein Thrombosis (DVT) and/or Pulmonary Embolism (PE)
EINSTEIN Deep Vein Thrombosis and EINSTEIN Pulmonary Embolism Studies
Rivaroxaban for the treatment of DVT and/or PE was studied in EINSTEIN DVT
[NCT00440193] and EINSTEIN PE [NCT00439777], multi-national, open-label, non-
inferiority studies comparing Rivaroxaban (at an initial dose of 15 mg twice
daily with food for the first three weeks, followed by Rivaroxaban 20 mg once
daily with food) to enoxaparin 1 mg/kg twice daily for at least five days with
VKA and then continued with VKA only after the target INR (2.0-3.0) was
reached. Patients who required thrombectomy, insertion of a caval filter, or
use of a fibrinolytic agent and patients with creatinine clearance <30 mL/min,
significant liver disease, or active bleeding were excluded from the studies.
The intended treatment duration was 3, 6, or 12 months based on investigator's
assessment prior to randomization.
A total of 8281 (3449 in EINSTEIN DVT and 4832 in EINSTEIN PE) patients were
randomized and followed on study treatment for a mean of 208 days in the
Rivaroxaban group and 204 days in the enoxaparin/VKA group. The mean age was
approximately 57 years. The population was 55% male, 70% Caucasian, 9% Asian
and about 3% Black. About 73% and 92% of Rivaroxaban -treated patients in the
EINSTEIN DVT and EINSTEIN PE studies, respectively, received initial
parenteral anticoagulant treatment for a median duration of 2 days.
Enoxaparin/VKA-treated patients in the EINSTEIN DVT and EINSTEIN PE studies
received initial parenteral anticoagulant treatment for a median duration of 8
days. Aspirin was taken as on treatment concomitant antithrombotic medication
by approximately 12% of patients in both treatment groups. Patients randomized
to VKA had an unadjusted mean percentage of time in the INR target range of
2.0 to 3.0 of 58% in EINSTEIN DVT study and 60% in EINSTEIN PE study, with the
lower values occurring during the first month of the study.
In the EINSTEIN DVT and EINSTEIN PE studies, 49% of patients had an idiopathic
DVT/PE at baseline. Other risk factors included previous episode of DVT/PE
(19%), recent surgery or trauma (18%), immobilization (16%), use of estrogen-
containing drug (8%), known thrombophilic conditions (6%), or active cancer
(5%).
In the EINSTEIN DVT and EINSTEIN PE studies, Rivaroxaban was demonstrated to
be non-inferior to enoxaparin/VKA for the primary composite endpoint of time
to first occurrence of recurrent DVT or non-fatal or fatal PE [EINSTEIN DVT HR (95% CI): 0.68 (0.44, 1.04); EINSTEIN PE HR (95% CI): 1.12 (0.75, 1.68)]. In
each study the conclusion of non-inferiority was based on the upper limit of
the 95% confidence interval for the hazard ratio being less than 2.0.
Table 20 displays the overall results for the primary composite endpoint and
its components for EINSTEIN DVT and EINSTEIN PE studies.
Table 20: Primary Composite Endpoint Results in EINSTEIN DVT and EINSTEIN
PE Studies – Intent-to-Treat Population*
| ** Event** | ** Rivaroxaban 20 mg†** | ** Enoxaparin/VKA†** | Rivaroxaban vs. | 
| EINSTEIN DVT Study | ** N=1731 n (%)** | ** N=1718 n (%)** | |
| Primary Composite Endpoint | 36 (2.1) | 51 (3.0) | 0.68 (0.44, 1.04) | 
| Death (PE) | 1 (<0.1) | 0 | |
| Death (PE cannot be excluded) | 3 (0.2) | 6 (0.3) | |
| Symptomatic PE and DVT | 1 (<0.1) | 0 | |
| Symptomatic recurrent PE only | 20 (1.2) | 18 (1.0) | |
| Symptomatic recurrent DVT only | 14 (0.8) | 28 (1.6) | |
| EINSTEIN PE Study | ** N=2419 n (%)** | ** N=2413 n (%)** | |
| Primary Composite Endpoint | 50 (2.1) | 44 (1.8) | 1.12 (0.75, 1.68) | 
| Death (PE) | 3 (0.1) | 1 (<0.1) | |
| Death (PE cannot be excluded) | 8 (0.3) | 6 (0.2) | |
| Symptomatic PE and DVT | 0 | 2 (<0.1) | |
| Symptomatic recurrent PE only | 23 (1.0) | 20 (0.8) | |
| Symptomatic recurrent DVT only | 18 (0.7) | 17 (0.7) | 
- For the primary efficacy analysis, all confirmed events were considered from randomization up to the end of intended treatment duration (3, 6 or 12 months) irrespective of the actual treatment duration. If the same patient had several events, the patient may have been counted for several components.
 † Treatment schedule in EINSTEIN DVT and EINSTEIN PE studies: Rivaroxaban 15 mg twice daily for 3 weeks followed by 20 mg once daily; enoxaparin/VKA [enoxaparin: 1 mg/kg twice daily, VKA: individually titrated doses to achieve a target INR of 2.5 (range: 2.0-3.0)]
 Figures 7 and8 are plots of the time from randomization to the occurrence of the first primary efficacy endpoint event in the two treatment groups in EINSTEIN DVT and EINSTEIN PE studies, respectively.
Figure 6: Time to First Occurrence of the Composite of Recurrent DVT or Non-
fatal or Fatal PE by Treatment Group (Intent-to-Treat Population) – EINSTEIN
DVT Study
****
Figure 7: Time to First Occurrence of the Composite of Recurrent DVT or Non-
fatal or Fatal PE by Treatment Group (Intent-to-Treat Population) – EINSTEIN
PE Study

14.3 Reduction in the Risk of Recurrence of DVT and/or PE
EINSTEIN CHOICE Study
Rivaroxaban for reduction in the risk of recurrence of DVT and of PE was
evaluated in the EINSTEIN CHOICE study [NCT02064439], a multi-national,
double-blind, superiority study comparing Rivaroxaban (10 or 20 mg once daily
with food) to 100 mg acetylsalicylic acid (aspirin) once daily in patients who
had completed 6 to 12 months of anticoagulant treatment for DVT and/or PE
following the acute event. The intended treatment duration in the study was up
to 12 months. Patients with an indication for continued therapeutic-dose
anticoagulation were excluded.
Because the benefit-risk assessment favored the 10 mg dose versus aspirin
compared to the 20 mg dose versus aspirin, only the data concerning the 10 mg
dose is discussed below.
A total of 2275 patients were randomized and followed on study treatment for a
mean of 290 days for the Rivaroxaban and aspirin treatment groups. The mean
age was approximately 59 years. The population was 56% male, 70% Caucasian,
14% Asian and 3% Black. In the EINSTEIN CHOICE study, 51% of patients had DVT
only, 33% had PE only, and 16% had PE and DVT combined. Other risk factors
included idiopathic VTE (43%), previous episode of DVT/PE (17%), recent
surgery or trauma (12%), prolonged immobilization (10%), use of estrogen
containing drugs (5%), known thrombophilic conditions (6%), Factor V Leiden
gene mutation (4%), or active cancer (3%).
In the EINSTEIN CHOICE study, Rivaroxaban 10 mg was demonstrated to be
superior to aspirin 100 mg for the primary composite endpoint of time to first
occurrence of recurrent DVT or non-fatal or fatal PE.
Table 21 displays the overall results for the primary composite endpoint and
its components.
Table 21: Primary Composite Endpoint and its Components Results in EINSTEIN
CHOICE Study – Full Analysis Set*
| Event | Rivaroxaban 10 mg | ** Acetylsalicylic Acid (Aspirin)** | ** Rivaroxaban 10 mg** | 
| Primary Composite Endpoint | 13 (1.2) | 50 (4.4) | 0.26 | 
| Symptomatic recurrent DVT | 8 (0.7) | 29 (2.6) | |
| Symptomatic recurrent PE | 5 (0.4) | 19 (1.7) | |
| Death (PE) | 0 | 1 (<0.1) | |
| Death (PE cannot be excluded) | 0 | 1 (<0.1) | 
- For the primary efficacy analysis, all confirmed events were considered from randomization up to the end of intended treatment duration (12 months) irrespective of the actual treatment duration. The individual component of the primary endpoint represents the first occurrence of the event.
 Figure 8 is a plot of the time from randomization to the occurrence of the first primary efficacy endpoint event in the two treatment groups.
 Figure 8: Time to First Occurrence of the Composite of Recurrent DVT or Non- fatal or Fatal PE by Treatment Group (Full Analysis Set) – EINSTEIN CHOICE Study
  
14.4 Prophylaxis of Deep Vein Thrombosis Following Hip or Knee Replacement
Surgery
Rivaroxaban was studied in 9011 patients (4487 Rivaroxaban -treated, 4524
enoxaparin-treated patients) in the REgulation of Coagulation in ORthopedic
Surgery to Prevent DVT and PE, Controlled, Double-blind, Randomized Study of
BAY 59-7939 in the Extended Prevention of VTE in Patients Undergoing Elective
Total Hip or Knee Replacement (RECORD 1, 2, and 3) [NCT00329628, NCT00332020, NCT00361894] studies.
The two randomized, double-blind, clinical studies (RECORD 1 and 2) in
patients undergoing elective total hip replacement surgery compared
Rivaroxaban 10 mg once daily starting at least 6 to 8 hours (about 90% of
patients dosed 6 to 10 hours) after wound closure versus enoxaparin 40 mg once
daily started 12 hours preoperatively. In RECORD 1 and 2, a total of 6727
patients were randomized and 6579 received study drug. The mean age [± standard deviation (SD)] was 63 ± 12.2 (range 18 to 93) years with 49% of
patients 65 years and 55% of patients were female. More than 82% of patients
were White, 7% were Asian, and less than 2% were Black. The studies excluded
patients undergoing staged bilateral total hip replacement, patients with
severe renal impairment defined as an estimated creatinine clearance <30
mL/min, or patients with significant liver disease (hepatitis or cirrhosis).
In RECORD 1, the mean exposure duration (± SD) to active Rivaroxaban and
enoxaparin was 33.3 ± 7.0 and 33.6 ± 8.3 days, respectively. In RECORD 2, the
mean exposure duration to active Rivaroxaban and enoxaparin was 33.5 ± 6.9 and
12.4 ± 2.9 days, respectively. After Day 13, oral placebo was continued in the
enoxaparin group for the remainder of the double-blind study duration. The
efficacy data for RECORD 1 and 2 are provided in Table 22.
Table 22: Summary of Key Efficacy Analysis Results for Patients Undergoing
Total Hip Replacement Surgery - Modified Intent-to-Treat Population
| RECORD 1 | RECORD 2 | |||||
| ** Treatment Dosage and Duration** | Rivaroxaban 10 mg once daily | Enoxaparin | ** RRR*,** | Rivaroxaban 10 mg once daily | Enoxaparin† | ** RRR*,** | 
| Number of Patients | N=1513 | N=1473 | N=834 | N=835 | ||
| Total VTE | 17 (1.1%) | 57 (3.9%) | 71% | 17 (2.0%) | 70 (8.4%) | 76% | 
| Components of Total VTE | ||||||
| Proximal DVT | 1 (0.1%) | 31 (2.1%) | 5 (0.6%) | 40 (4.8%) | ||
| Distal DVT | 12 (0.8%) | 26 (1.8%) | 11 (1.3%) | 43 (5.2%) | ||
| Non-fatal PE | 3 (0.2%) | 1 (0.1%) | 1 (0.1%) | 4 (0.5%) | ||
| Death (any cause) | 4 (0.3%) | 4 (0.3%) | 2 (0.2%) | 4 (0.5%) | ||
| Number of Patients | N=1600 | N=1587 | N=928 | N=929 | ||
| Major VTE‡ | 3 (0.2%) | 33 (2.1%) | 91% (95% | 6 (0.7%) | 45 (4.8%) | 87% (95% | 
| Number of Patients | N=2103 | N=2119 | N=1178 | N=1179 | ||
| Symptomatic VTE | 5 (0.2%) | 11 (0.5%) | 3 (0.3%) | 15 (1.3%) | 
- Relative Risk Reduction; CI = confidence interval
 † Includes the placebo-controlled period of RECORD 2
 ‡ Proximal DVT, nonfatal PE or VTE-related death
 One randomized, double-blind, clinical study (RECORD 3) in patients undergoing elective total knee replacement surgery compared Rivaroxaban 10 mg once daily started at least 6 to 8 hours (about 90% of patients dosed 6 to 10 hours) after wound closure versus enoxaparin. In RECORD 3, the enoxaparin regimen was 40 mg once daily started 12 hours preoperatively. The mean age (± SD) of patients in the study was 68 ± 9.0 (range 28 to 91) years with 66% of patients 65 years. Sixty-eight percent (68%) of patients were female. Eighty-one percent (81%) of patients were White, less than 7% were Asian, and less than 2% were Black. The study excluded patients with severe renal impairment defined as an estimated creatinine clearance <30 mL/min or patients with significant liver disease (hepatitis or cirrhosis). The mean exposure duration (± SD) to active Rivaroxaban and enoxaparin was 11.9 ± 2.3 and 12.5 ± 3.0 days, respectively. The efficacy data are provided in Table 23.
 Table 23: Summary of Key Efficacy Analysis Results for Patients Undergoing Total Knee Replacement Surgery - Modified Intent-to-Treat Population
| RECORD 3 | |||
| Treatment Dosage and Duration | Rivaroxaban | Enoxaparin 40 mg once daily | RRR,* | 
| Number of Patients | N=813 | N=871 | |
| Total VTE | 79 (9.7%) | 164 (18.8%) | 48% | 
| Components of events contributing to Total VTE | |||
| Proximal DVT | 9 (1.1%) | 19 (2.2%) | |
| Distal DVT | 74 (9.1%) | 154 (17.7%) | |
| Non-fatal PE | 0 | 4 (0.5%) | |
| Death (any cause) | 0 | 2 (0.2%) | |
| Number of Patients | N=895 | N=917 | |
| Major VTE† | 9 (1.0%) | 23 (2.5%) | 60% (95% CI: | 
| Number of Patients | N=1206 | N=1226 | |
| Symptomatic VTE | 8 (0.7%) | 24 (2.0%) | 
- Relative Risk Reduction; CI = confidence interval
 † Proximal DVT, nonfatal PE or VTE-related death
14.5 Prophylaxis of Venous Thromboembolism in Acutely III Medical Patients
at Risk for Thromboembolic Complications Not at High Risk of Bleeding
The efficacy and safety of rivaroxaban for prophylaxis of venous
thromboembolism in acutely ill medical patients at risk for thromboembolic
complications not at high risk of bleeding was evaluated in the MAGELLAN study
(Multicenter, rAndomized, parallel Group Efficacy and safety study for the
prevention of venous thromboembolism in hospitalized medically iLL patients
comparing rivaroxabaN with enoxaparin [NCT00571649]). MAGELLAN was a
multicenter, randomized, double-blind, parallel-group efficacy and safety
study comparing rivaroxaban to enoxaparin, in the prevention of VTE in
hospitalized acutely ill medical patients during the in-hospital and post-
hospital discharge period. Eligible patients included adults who were at least
40 years of age, hospitalized for an acute medical illness, at risk of VTE due
to moderate or severe immobility, and had additional risk factors for VTE. The
population at risk of VTE was required to have one or more of the following
VTE risk factors, i.e. prolonged immobilization, age ≥75 years, history of
cancer, history of VTE, history of heart failure,thrombophilia, acute
infectious disease contributing to the hospitalization and BMI ≥35 kg/m2).The
causes for hospitalization included heart failure, active cancer, acute
ischemic stroke, acute infectious and inflammatory disease and acute
respiratory insufficiency. Patients were randomized to receive either
rivaroxaban 10 mg once daily for 35 ±4 days starting in hospital and
continuing post hospital discharge (n=4050) or enoxaparin 40 mg once daily for
10 ±4 days starting in hospital followed by placebo post-discharge (n=4051).
The major efficacy outcome in the MAGELLAN trial was a composite endpoint that
included asymptomatic proximal deep venous thrombosis (DVT) in lower
extremity, symptomatic proximal or distal DVT in the lower extremity,
symptomatic non-fatal pulmonary embolism (PE), and death related to venous
thromboembolism (VTE).
A total of 6024 patients were evaluable for the major efficacy outcome
analysis (2967 on rivaroxaban 10 mg once daily and 3057 on
enoxaparin/placebo). The mean age was 68.9 years,with 37.1% of the subject
population ≥ 75 years. VTE risk factors included severe immobilization at
study entry (99.9%), D-dimer > 2X ULN (43.7%), history of heart failure
(35.6%), BMI ≥ 35 kg/m2 (15.2%), chronic venous insufficiency (14.9%), acute
infectious disease (13.9%), severe varicosis (12.5%), history of cancer
(16.2%), history of VTE (4.5%),hormone replacement therapy (1.1%), and
thrombophilia (0.3%), recent major surgery (0.8%) and recent serious trauma
(0.2%). The population was 54.7% male, 68.2% White, 20.4% Asian,1.9% Black and
5.3% Other. Admitting diagnoses for hospitalization were acute infectious
diseases (43.8%) followed by congestive heart failure NYHA class III or IV
(33.2%), acute respiratory insufficiency (26.4%), acute ischemic stroke
(18.5%) and acute inflammatory diseases (3.4%).
Table 24 shows the overall results from the prespecified, modified intent-to-
treat (mITT) analysis for the efficacy outcomes and their components. This
analysis excludes approximately 25% of the patients mainly due to no
ultrasonographic assessment (13.5%), inadequate assessment at day 35 (8.1%),
or lack of intake of study medication (1.3%)Table 24: Efficacy Results at
Day 35 (modified Intent-to-Treat) and at Day 10 (per protocol) in the MAGELLAN
Study
| Events from Day 1 to Day 35, mITT analysis set | Rivaroxaban | Enoxaparin40 mg/placeboN=3057****n (%) | RR******(95% CI)** | 
| Primary Composite Endpoint at Day 35 | 131 (4.4%) | 175 (5.7%) | 0.77 (0.62, 0.96) | 
| Symptomatic non-fatal PE | 10 (0.3) | 14 (0.5) | |
| Symptomatic DVT in lower extremity | 13 (0.4) | 15 (0.5) | |
| Asymptomatic proximal DVT in lower extremity | 103 (3.5) | 133 (4.4) | |
| VTE related death | 19 (0.6) | 30 (1.0) | |
| Events from Day 1 to Day 10, PP analysis set | Rivaroxaban | Enoxaparin40 mg****N=2993****n (%) | RR******(95% CI)** | 
| Primary Composite Endpoint at Day 10 | 78 (2.7) | 82 (2.7) | 0.97 (0.71, 1.31) | 
| Symptomatic non-fatal PE | 6 (0.2) | 2 (<0.1) | |
| Symptomatic DVT in lower extremity | 7 (0.2) | 6 (0.2) | |
| Asymptomatic proximal DVT in lower extremity | 71 (2.4) | 71 (2.4) | |
| VTE related death | 3 (0.1) | 6 (0.2) | |
| mITT analysis set plus all-cause mortality | N=3096****n (%) | N=3169****n (%) | RR******(95% CI)** | 
| Other Composite Endpoint at Day 35 | 266 (8.6) | 293 (9.2) | 0.93 (0.80, 1.09) | 
| Symptomatic non-fatal PE | 10 (0.3) | 14 (0.4) | |
| Symptomatic DVT in lower extremity | 13 (0.4) | 15 (0.5) | |
| Asymptomatic proximal DVT in lower extremity | 103 (3.3) | 133 (4.2) | |
| All-cause mortality | 159 (5.1) | 153 (4.8) | 
mITT: modified intent-to-treat; PP: per protocol; DVT: Deep vein thrombosis;
PE: pulmonary embolism; VTE: venous thromboembolism;CI: Confidence Interval;
RR: Relative Risk
Patients with bronchiectasis/pulmonary cavitation, active cancer, dual
antiplatelet therapy or active gastroduodenal ulcer or any bleeding in the
previous three months (19.4%) all had an excess of bleeding with rivaroxaban
compared with enoxaparin/placebo. Therefore, patients meeting these criteria
were excluded from the following analyses presented below.
Table 25 provides the efficacy results for the subgroup of patients not at a
high risk of bleeding
Table 25: Efficacy Results at Day 35 (modified Intent-to-Treat) and at Day 10 (per protocol) in patients not at a high risk of bleeding in the MAGELLAN Study*
| Events from Day 1 to Day 35, mITT analysis set | Rivaroxaban****10 mgN=2419****n (%) | Enoxaparin40 mg/placeboN=2506****n (%) | RR******(95% CI)** | 
| Primary Composite Endpoint at Day 35 | 94 (3.9) | 143 (5.7) | 0.68 (0.53, 0.88) | 
| Symptomatic non-fatal PE | 7 (0.3) | 10 (0.4) | |
| Symptomatic DVT in lower extremity | 9 (0.4) | 10 (0.4) | |
| Asymptomatic proximal DVT in lower extremity | 73 (3.0) | 110 (4.4) | |
| VTE related death | 15 (0.6) | 26 (1.0) | |
| Events from Day 1 to Day 10, PP analysis set | Rivaroxaban****10 mgN=2385****n (%) | Enoxaparin40 mg****N=2433****n (%) | RR******(95% CI)** | 
| Primary Composite Endpoint at Day 10 | 58 (2.4) | 72 (3.0) | 0.82 (0.58, 1.15) | 
| Symptomatic non-fatal PE | 5 (0.2) | 2 (<0.1) | |
| Symptomatic DVT in lower extremity | 6 (0.3) | 4 (0.2) | |
| Asymptomatic proximal DVT in lower extremity | 52 (2.2) | 62 (2.5) | |
| VTE related death | 2 (<0.1) | 6 (0.2) | |
| mITT analysis set plus all-cause mortality | N=2504****n (%) | N=2583****n (%) | RR******(95% CI)** | 
| Other Composite Endpoint at Day 35 | 184 (7.3) | 225 (8.7) | 0.84 (0.70, 1.02) | 
| Symptomatic non-fatal PE | 7 (0.3) | 10 (0.4) | |
| Symptomatic DVT in lower extremity | 9 (0.4) | 10 (0.4) | |
| Asymptomatic proximal DVT in lower extremity | 73 (2.9) | 110 (4.3) | |
| All-cause mortality | 107 (4.3) | 112 (4.3) | 
- Patients at high risk of bleeding (i.e. bronchiectasis/pulmonary cavitation, active cancer, dual antiplatelet therapy or active gastroduodenal ulcer or any bleeding in the previous three months) were excluded.
 mITT: modified intent-to-treat; PP: per protocol; DVT: Deep vein thrombosis; PE: pulmonary embolism; VTE: venous thromboembolism;CI: Confidence Interval; RR: Relative Risk
14.6 Reduction of Risk of Major Cardiovascular Events in Patients with CAD
The evidence for the efficacy and safety of rivaroxaban for the reduction in the risk of stroke, myocardial infarction, or cardiovascular death in patients with coronary artery disease (CAD) or peripheral artery disease (PAD) was derived from the double-blind, placebo-controlled Cardiovascular OutcoMes for People using Anticoagulation StrategieS trial (COMPASS) [NCT10776424]. A total of 27,395 patients were evenly randomized to rivaroxaban 2.5 mg orally twice daily plus aspirin 100 mg once daily, rivaroxaban 5 mg orally twice daily alone, or aspirin 100 mg once daily alone. Because the 5 mg dose alone was not superior to aspirin alone, only the data concerning the 2.5 mg dose plus aspirin are discussed below.
Patients with established CAD or PAD were eligible. Patients with CAD who were
younger than 65 years of age
were also required to have documentation of atherosclerosis involving at least
two vascular beds or to have at least two additional cardiovascular risk
factors (current smoking, diabetes mellitus, an estimated glomerular
filtration rate [eGFR] <60 mL per minute, heart failure, or non-lacunar
ischemic stroke ≥1 month earlier). Patients with PAD were either symptomatic
with ankle brachial index <0.90 or had asymptomatic carotid artery stenosis
≥50%, a previous carotid revascularization procedure, or established ischemic
disease of one or both lower extremities. Patients were excluded for use of
dual antiplatelet, other non-aspirin antiplatelet, or oral anticoagulant
therapies, ischemic, non-lacunar stroke within 1 month, hemorrhagic or lacunar
stroke at any time, or eGFR <15 mL/min.
The mean age was 68 years and 21% of the subject population were ≥75 years. Of the included patients, 91% had CAD (and will be referred to as the COMPASS CAD population), 27% had PAD (and will be referred to as the COMPASS PAD population), and 18% had both CAD and PAD. Of the patients with CAD, 69% had prior MI, 60% had prior percutaneous transluminal coronary angioplasty (PTCA)/atherectomy/ percutaneous coronary intervention (PCI), and 26% had history of coronary artery bypass grafting (CABG) prior to study. Of the patients with PAD, 49% had intermittent claudication, 27% had peripheral artery bypass surgery or peripheral percutaneous transluminal angioplasty, 26% had asymptomatic carotid artery stenosis > 50%, and 4% had limb or foot amputation for arterial vascular disease.
The mean duration of follow-up was 23 months. Relative to placebo, rivaroxaban reduced the rate of the primary composite outcome of stroke, myocardial infarction or cardiovascular death: HR 0.76 (95% CI: 0.66, 0.86; p=0.00004). In the COMPASS CAD population, the benefit was observed early with a constant treatment effect over the entire treatment period (see Table 26 and Figure 10).
A benefit-risk analysis of the data from COMPASS was performed by comparing the number of CV events (CV deaths, myocardial infarctions and non-hemorrhagic strokes) prevented to the number of fatal or life-threatening bleeding events (fatal bleeds + symptomatic non-fatal bleeds into a critical organ) in the rivaroxaban group versus the placebo group. Compared to placebo during 10,000 patient-years of treatment, rivaroxaban would be expected to result in 70 fewer CV events and 12 additional life-threatening bleeds, indicating a favorable balance of benefits and risks.
The results in the COMPASS CAD population were consistent across major subgroups (see Figure 9).
Figure 9: Risk of Primary Efficacy Outcome by Baseline Characteristics in the COMPASS CAD Population (Intent-to-Treat Population)

*All patients received aspirin 100 mg once daily as background therapy.
Table 26: Efficacy results from COMPASS CAD Population*
| Event | Rivaroxaban N=8313 | Placebo† | Hazard Ratio (95% CI)‡ | ||
| n (%) | Event Rate | n (%) | Event Rate | ||
| Stroke, MI or CV death | 347 (4.2) | 2.2 | 460 (5.6) | 2.9 | 0.74 (0.65, 0.86) | 
| - Stroke | 74 (0.9) | 0.5 | 130 (1.6) | 0.8 | 0.56 (0.42, 0.75) | 
| - MI | 169 (2.0) | 1.1 | 195 (2.4) | 1.2 | 0.86 (0.70, 1.05) | 
| - CV death | 139 (1.7) | 0.9 | 184 (2.2) | 1.1 | 0.75 (0.60, 0.93) | 
| Coronary heart disease death, MI, ischemic stroke, acute limb ischemia | 299 (3.6) | 1.9 | 411 (5.0) | 2.6 | 0.72 (0.62, 0.83) | 
| - Coronary heart disease death§ | 80 (1.0) | 0.5 | 107 (1.3) | 0. 7 | 0.74 (0.55, 0.99) | 
| - Ischemic stroke | 56 (0.7) | 0.3 | 114 (1.4) | 0.7 | 0.49 (0.35, 0.67) | 
| - Acute limb ischemia# | 13 (0.2) | 0.1 | 27 (0.3) | 0.2 | 0.48 (0.25, 0.93) | 
| CV death¶, MI, ischemic stroke, acute limb ischemia | 349 (4.2) | 2.2 | 470 (5.7) | 3.0 | 0.73 (0.64, 0.84) | 
| All-cause mortality | 262 (3.2) | 1. 6 | 339 (4.1) | 2.1 | 0.77 (0.65, 0.90) | 
- intention to treat analysis set, primary analyses.
 † Treatment schedule: Rivaroxaban 2.5 mg twice daily vs placebo All patients received aspirin 100 mg once daily as background therapy.
‡ rivaroxaban vs. placebo
§ Coronary heart disease death: death due to acute MI, sudden cardiac death,
or CV procedure.
¶ CV death includes CHD death, or death due to other CV causes or unknown
death.
Acute limb ischemia is defined as limb-threatening ischemia leading to an
acute vascular intervention (i.e., pharmacologic, peripheral arterial
surgery/reconstruction, peripheral angioplasty/stent, or amputation).
CHD: coronary heart disease, CI: confidence interval; CV: cardiovascular; MI:
myocardial infarction
Figure 10: Time to first occurrence of primary efficacy outcome (stroke, myocardial infarction, cardiovascular death) in COMPASS CAD Population*

*All patients received aspirin 100 mg once daily as background therapy.
CI: confidence interval
14.7 Reduction of Risk of Major Thrombotic Vascular Events in Patients with
PAD, Including Patients after Lower Extremity Revascularization due to Symptomatic PAD
The efficacy and safety of rivaroxaban 2.5 mg orally twice daily versus
placebo on a background of aspirin 100 mg once daily in patients with PAD were
evaluated in the COMPASS study (n=4996) and will be referred to as the COMPASS
PAD population [see Clinical Studies (14.6)].
The efficacy and safety of rivaroxaban were also evaluated for the reduction
in the risk of the composite endpoint of myocardial infarction, ischemic
stroke, cardiovascular death, acute limb ischemia (ALI), and major amputation
of a vascular etiology in patients undergoing a lower extremity infrainguinal
revascularization procedure due to symptomatic peripheral artery disease (PAD)
in the double-blinded, placebo-controlled Vascular Outcomes studY of ASA alonG
with rivaroxaban in Endovascular or surgical limb Revascularization for
peripheral artery disease (PAD) trial (VOYAGER) [NCT02504216]. A total of
6,564 patients were equally randomized to rivaroxaban 2.5 mg orally twice
daily vs placebo on a background therapy of aspirin 100 mg once daily.
Eligible patients included adults who were at least 50 years of age with
documented moderate to severe symptomatic lower extremity atherosclerotic PAD
who had a successful peripheral surgical procedure and/or endovascular
procedure with or without clopidogrel (up to a maximum of 6 months was
allowed; median duration of therapy was 31 days). Patients had either a prior
history of limb revascularization with ankle brachial index ≤0.85 or no prior
history of limb
revascularization with ankle brachial index ≤0.80. Patients in need of dual
antiplatelet for >6 months, or any additional antiplatelet other than aspirin
and clopidogrel, or oral anticoagulant,as well as patients with a history of
intracranial hemorrhage, stroke, or transient ischemic attack (TIA), or
patients with eGFR <15 mL/min were excluded.
The mean age was 67 years and 20% of the subject population was ≥75 years. Of
the included patients, 35% had surgical revascularization, 47% had
endovascular revascularization with clopidogrel, and 18% endovascular
revascularization without clopidogrel. The median duration of follow-up was
30.8 months.
Rivaroxaban 2.5 mg twice daily was superior to placebo in reducing the rate of
the primary composite outcome of myocardial infarction, ischemic stroke,
cardiovascular death, acute limb ischemia (ALI), and major amputation of a
vascular etiology. The primary efficacy outcome and
its components are provided in Table 27. The Kaplan-Meier plot for the primary
efficacy outcome can be seen in Figure 11. The secondary efficacy outcomes
were tested for superiority in a prespecified, hierarchical order and the
first five of seven endpoints were significantly reduced in the rivaroxaban
treatment arm (see Table 27 ). Compared to placebo during 10,000 patient-years
of treatment, rivaroxaban would be expected to result in 181 fewer primary
outcome events and 29 more TIMI major bleeding events, indicating a favorable
balance of benefits and risks.
Figure 11: Time to First Occurrence of Primary Efficacy Outcome (Myocardial Infarction, Ischemic Stroke, Cardiovascular Death, Acute Limb Ischemia, Major Amputation due to Vascular Origins) in VOYAGER*

*All patients received aspirin 100 mg once daily as background therapy.
Figure 12 shows the risk of primary efficacy outcome across major subgroups. Subgroup analyses must be interpreted cautiously, as differences can reflect the play of chance among a large number of analyses. The primary efficacy endpoint generally shows homogeneous results across subgroups.
Figure 12: Risk of Primary Efficacy Outcome by Baseline Characteristics in VOYAGER (Intent-to-Treat Population)*

*All patients received aspirin 100 mg once daily as background therapy.
Table 27 provides the efficacy event rates for the prespecified endpoints in VOYAGER and similar endpoints in the COMPASS PAD population.
Table 27: Efficacy Results in VOYAGER (Intent-to-Treat Population) and COMPASS PAD
| VOYAGER | COMPASS PAD | |||||
| Rivaroxaban N=3286 | Placebo | Hazard Ratio | Rivaroxaban N=2492 | Placebo | Hazard Ratio | |
| Outcome | Event Rate (%/year) | Event Rate (%/year) | ||||
| 5- Component | 6.8 | 8.0 | 0.85 (0.76, | 3.4 | 4.8 | 0.71 (0.57, 0.87) | 
| MI | 1.7 | 1.9 | 0.88 (0.70, | 1.1 | 1.5 | 0.76 (0.53, 1.09) | 
| Ischemic Stroke§ | 0.9 | 1.0 | 0.87 (0.63, | 0.5 | 0.9 | 0.55 (0.33, 0.93) | 
| CV death¶ | 2.5 | 2.2 | 1.14 (0.93, | 1.4 | 1.7 | 0.82 (0.59, 1.14) | 
| ALI | 2.0 | 3.0 | 0.67 (0.55, | 0.4 | 0.8 | 0.56 (0.32, 0.99) | 
| Major amputation | 1.3 | 1.5 | 0.89 (0.68, | 0.2 | 0.6 | 0.40 (0.20, 0.79) | 
| VOYAGER Secondary Efficacy OutcomesÞ | ||||||
| MI, ischemic stroke, CHD deathß ALI, and major amputation due to vascular etiology | 5.8 | 7.3 | 0.80 (0.71, | 2.8 | 4.2 | 0.66 (0.53, 0.83) | 
| Unplanned index limb | 8.4 | 9.5 | 0.88 (0.79, | N/A | N/A | N/A | 
| Hospitalization for a coronary or peripheral cause of a thrombotic | 3.5 | 4.8 | 0.72 (0.62, | 1.7 | 2.9 | 0.58 (0.44, 0.77) | 
| MI, ischemic stroke, all-cause mortality, ALI, and major | 8.2 | 9.3 | 0.89 (0.79, | 4.8 | 6.0 | 0.80 (0.67, 0.96) | 
| MI, all-cause stroke, CV death, ALI, and | 6.9 | 8.1 | 0.86 (0.76, | 3.4 | 4.9 | 0.70 (0.57, 0.86) | 
| All-cause mortality | 4.0 | 3.7 | 1.08 (0.92, | 2.8 | 3.1 | 0.91 (0.72, 1.16) | 
| VTE eventsè | 0.3 | 0.5 | 0.61 (0.37, | 0.2 | 0.3 | 0.67 (0.30, 1.49) | 
Efficacy endpoints in COMPASS PAD were analysed according to the pre-specified endpoints in VOYAGER when applicable.
- Rivaroxaban vs. placebo.
 †Two-sided p-values
 ‡Major thrombotic vascular event is the composite of MI, ischemic stroke,CV death, ALI, and major amputation of a vascular etiology.
§Ischemic stroke for VOYAGER included stroke of uncertain/unknown etiology whereas COMPASS only included ischemic stroke.
¶CV death includes Coronary Heart Disease death, or death due to other CV
causes or sudden cardiac arrest and unknown death.
#Adjudicated events in VOYAGER and investigator reported events in COMPASS.
ÞSecondary outcomes for VOYAGER were tested sequentially.
ßCHD death includes death due to sudden cardiac death, MI, or coronary
revascularization procedure
àUnplanned index limb revascularization for recurrent limb ischemia was not
captured in COMPASS study.
èInvestigator reported in VOYAGER and adjudicated events in COMPASS
ALI=acute limb ischemia, CHD=coronary heart disease; CI=confidence interval,
CV=cardiovascular; MI=myocardial infarction, VTE=venous thromboembolism.
14.8 Treatment of Venous Thromboembolism and Reduction in Risk of Recurrent
Venous Thromboembolism in Pediatric Patients
Rivaroxaban for the treatment of venous thromboembolism (VTE) and reduction in
the risk of recurrent VTE was evaluated in the EINSTEIN Junior Phase 3 study
[NCT02234843], a multicenter, open-label, active-controlled, randomized study
in 500 pediatric patients from birth to less than 18 years with confirmed VTE.
There were 276 children aged 12 to <18 years, 101 children aged 6 to <12
years, 69 children aged 2 to <6 years, and 54 children aged <2 years. Patients
<6 months of age were excluded from enrollment if they were <37 weeks of
gestation at birth, or had <10 days of oral feeding, or had a body weight of
<2.6 kg.
Index VTE was classified as either central venous catheter-related VTE (CVC-
VTE), cerebral vein and sinus thrombosis (CVST), and all other VTE including
DVT and PE (non-CVC-VTE).
Patients received initial treatment with therapeutic dosages of unfractionated
heparin (UFH), low molecular weight heparin (LMWH), or fondaparinux for at
least 5 days, and were randomized
2:1 to receive either body weight-adjusted doses of rivaroxaban (exposures to
match that of 20 mg daily dose in adults) or comparator group (UFH, LMWH,
fondaparinux or VKA) for a main study treatment period of 3 months (or 1 month
for children <2 years with CVC-VTE). A diagnostic imaging test was obtained at
baseline and at the end of the main study treatment. When clinically
necessary, treatment was extended up to 12 months in total (or up to 3 months
in total for children <2 years with CVC-VTE).
Table 28 displays the primary and secondary efficacy results.
Table 28: Efficacy Results in EINSTEIN Junior Study – Full Analysis Set
| Event | Rivaroxaban*** N=335 n (%) (95% CI)**† | Comparator Group‡ | Rivaroxaban****O vs. Comparator Group Risk Difference (95% CI)§ | Rivaroxaban** vs. Comparator Group Hazard Ratio (95% CI)** | 
| Primary efficacy | 4 (1.2) | 5 (3.0) | -1.8% | 0.40 | 
| Secondary efficacy outcome: Symptomatic | 5 (1.5) | 6 (3.6) | -2.1% | 
- Treatment schedule: body weight-adjusted doses of rivaroxaban (exposures to match that of 20 mg daily dose in adults); randomized 2:1 (Rivaroxaban: Comparator).
 † Confidence intervals for incidence proportion were calculated by applying the method of Blyth-Still-Casella.
 ‡ Unfractionated heparin (UFH), low molecular weight heparin (LMWH), fondaparinux or VKA.
 § Confidence intervals for difference in incidence proportions were calculated by unstratified exact method according to Agresti-Min using the standardized test statistic and inverting a two-sided test.
Complete resolution of thrombus on repeat imaging without recurrent VTE occurred in 128 of 335 children (38.2%, 95% CI 33.0%, 43.5%) in the rivaroxaban group and 43 of 165 children (26.1%, 95% CI 19.8%, 33.0%) in the comparator group. Symptomatic recurrent VTE or major bleeding events occurred in 4 of 335 children (1.2%, 95% CI 0.4%, 3.0%) in the rivaroxaban group and 7 of 165 children (4.2%, 95% CI 2.0%, 8.4%) in the comparator group.
14.9 Thromboprophylaxis in Pediatric Patients with Congenital Heart Disease
after the FontanProcedure
The efficacy and safety of rivaroxaban for thromboprophylaxis in pediatric
patients with congenital heart disease who have undergone the Fontan procedure
was evaluated in the UNIVERSE Phase 3 study [NCT02846532]. UNIVERSE was a
prospective, open-label, active controlled, multicenter, 2-part study,
designed to evaluate the single-and multiple-dose pharmacokinetic properties
of rivaroxaban (Part A), and to evaluate the safety and efficacy of
rivaroxaban when used for thromboprophylaxis for 12 months compared with
aspirin (Part B) in children 2 to 8 years of age with single ventricle
physiology who had the Fontan procedure. Patients in Part B were randomized
2:1 to receive either body weight-adjusted doses of rivaroxaban (exposures to
match that of 10 mg daily dose in adults) or aspirin (approximately 5 mg/kg).
Patients with eGFR <30 ml/min/1.73 m2 were excluded.
The median time between Fontan procedure and the first dose of rivaroxaban was
4 (range: 2-61) days in Part A and 34 (range: 2-124) days in part B. In
comparison, the median time to initiating aspirin was 24 (range 2-117) days.
Table 29 displays the primary efficacy results.
Table 29: Efficacy Results in UNIVERSE Study – Full Analysis Set
| Part A* | Part B† | |||
| Event | Rivaroxaban | Rivaroxaban § | §Aspirin | Rivaroxaban | 
| Primary efficacy outcome: any thrombotic event | 1 (8.3) | 1 (1.6) | 3 (8.8) (2.4%, 22.2%) | -7.3% (-21.7%, 1.1%) | 
| Ischemic stroke | 0 (0.0%, 23.6%) | 0 (0.0%, 5.6%) | 1 (2.9) 0.2%, 15.1%) | -2.9% (-16.2%, 2.9%) | 
| Pulmonary embolism | 0 (0.0%, 23.6%) | 1 (1.6) | 0 (0.0%, 9.0%) | 1.6% (-9.9%, 8.4%) | 
| Venous thrombosis | 1 (8.3) | 0 (0.0%, 5.6%) | 2 (5.9) (1.1%, 18.8%) | -5.9% (-20.6%, -0.1%) | 
- Part A: single arm; not randomized
 † Part B: randomized 2:1 (rivaroxaban: Aspirin)
 ‡ Confidence intervals for incidence proportion were calculated by applying the method of Blyth-Still-Casella.
§ Treatment schedule: body weight-adjusted doses of rivaroxaban (exposures to
match that of 10 mg daily dose in adults) or aspirin (approximately 5 mg/kg)
¶ Confidence intervals for difference in incidence proportions were calculated
by unstratified exact method according to Agresti-Min using the standardized
test statistic and inverting a two-sided test.
HOW SUPPLIED SECTION
16 HOW SUPPLIED/STORAGE AND HANDLING
Rivaroxaban Tablets are available in the strengths and packages listed below:
• 2.5 mg tablets are Light yellow colour, circular, biconvex, film coated
tablets debossed with “J 7” on one side and plain on the other side. The
tablets are supplied in the packages listed:
NDC 33342-488-09 Bottle containing 60 tablets
NDC 33342-488-57 Bottle containing 180 tablets
NDC 33342-488-98 Blister package containing 60 tablets (10 blister cards
containing 6 tablets each)
Store at 20° to 25°C (68° to 77°F); excursions permitted to 15° to 30°C (59° to 86°F) [see USP Controlled Room Temperature].
Keep out of the reach of children.
INFORMATION FOR PATIENTS SECTION
17 PATIENT COUNSELING INFORMATION
For the tablets, advise the patient and/or caregiver to read the FDA-approved
patient labeling (Medication Guide).****
** Instructions for Patient Use**
• Advise patients to take Rivaroxaban only as directed.
• Remind patients to not discontinue Rivaroxaban without first talking to
their healthcare professional.
Adults
• Advise patients with atrial fibrillation to take Rivaroxaban once daily with
the evening meal.
• Advise patients for initial treatment of DVT and/or PE to take Rivaroxaban
15 mg or 20 mg tablets with food at approximately the same time every day [see Dosage and Administration (2.1)].
• Advise patients who are at a continued risk of recurrent DVT and/or PE after
at least 6 months of initial treatment, to take Rivaroxaban 10 mg once daily
with or without food [see Dosage and Administration (2.1)].
• Advise patients who cannot swallow the tablet whole to crush Rivaroxaban and
combine with a small amount of applesauce followed by food [see Dosage and Administration (2.6)].
• For patients requiring an NG tube or gastric feeding tube, instruct the
patient or caregiver to crush the Rivaroxaban tablet and mix it with a small
amount of water before administering via the tube [see Dosage and Administration (2.6)].
• If a dose is missed, advise the patient according to the instructions in the Full Prescribing Information based on their dosing schedule [see Dosage and Administration (2.5)].
Pediatric Patients
• The adult caregiver should administer the dose. Advise caregivers to use the
syringes provided in the original carton.
• Advise the caregiver whether the dose needs to be taken with food or not
[see Dosage and Administration (2.2)].
• Advise the caregiver the tablet must not be split in an attempt to provide a
fraction of a tablet dose [see Dosage and Administration (2.2)].
• If a child vomits or spits up the dose within 30 minutes after receiving the
dose, a new dose should be given. However, if the child vomits more than 30
minutes after the dose is taken, the dose should not be re-administered and
the next dose should be taken as scheduled. If a child vomits or spits up the
dose repeatedly, the caregiver should contact the child’s doctor right away
[see Dosage and Administration (2.2)].
• For children who are unable to swallow whole tablets, rivaroxaban oral
suspension may be used.
• If a dose is missed, advise the patient according to the instructions in the
Full Prescribing Information based on their dosing schedule [see Dosage and Administration (2.5)].
Bleeding Risks
• Advise patients to report any unusual bleeding or bruising to their
physician. Inform patients that it might take them longer than usual to stop
bleeding, and that they may bruise and/or bleed more easily when they are
treated with Rivaroxaban [see Warnings and Precautions (5.2)].
• Advise patients to report any unusual bleeding or bruising to their
physician. Inform patients that it might take them longer than usual to stop
bleeding, and that they may bruise and/or bleed more easily when they are
treated with Rivaroxaban [see Warnings and Precautions (5.2)].
• If patients have had neuraxial anesthesia or spinal puncture, and
particularly, if they are taking concomitant NSAIDs or platelet inhibitors,
advise patients to watch for signs and symptoms of spinal or epidural
hematoma, such as back pain, tingling, numbness (especially in the lower
limbs), muscle weakness, and stool or urine incontinence. If any of these
symptoms occur, advise the patient to contact his or her physician immediately
[see Boxed Warning].
Invasive or Surgical Procedures
Instruct patients to inform their healthcare professional that they are taking
Rivaroxaban before any invasive procedure (including dental procedures) is
scheduled.
Concomitant Medication and Herbals
Advise patients to inform their physicians and dentists if they are taking, or
plan to take, any prescription or over-the-counter drugs or herbals, so their
healthcare professionals can evaluate potential interactions [see Drug Interactions (7)].
Pregnancy and Pregnancy-Related Hemorrhage
• Advise patients to inform their physician immediately if they become
pregnant or intend to become pregnant during treatment with Rivaroxaban [see Use in Specific Populations (8.1)].
• Advise pregnant women receiving Rivaroxaban to immediately report to their
physician any bleeding or symptoms of blood loss [see Warnings and Precautions (5.7)].
Lactation
Advise patients to discuss with their physician the benefits and risks of
Rivaroxaban for the mother and for the child if they are nursing or intend to
nurse during anticoagulant treatment [see Use in Specific Populations (8.2)].
Females and Males of Reproductive Potential
Advise patients who can become pregnant to discuss pregnancy planning with
their physician [see Use in Specific Populations (8.3)].
Manufactured for :
Macleods Pharma USA, Inc.
Princeton, NJ 08540
Manufactured by :
Macleods Pharmaceuticals Ltd.
Baddi, Himachal Pradesh-174101 INDIA
All trademarks are the property of their respective owners.
Revised-May 2025
SPL MEDGUIDE SECTION
SPL MEDGUIDE SECTION
MEDICATION GUIDE
****Rivaroxaban (RIV a ROX a ban) Tablets
Dispense with Medication Guide available at: www.macleodspharma.com/usa
** What is the most important information I should know about rivaroxaban
tablets ?**
** Rivaroxaban tablets may cause serious side effects, including:**
•**Increased risk of blood clots if you stop taking rivaroxaban tablets.
**People with atrial fibrillation (a type of irregular heart beat) that is not
caused by a heart valve problem (non-valvular) are at an increased risk of
forming a blood clot in the heart, which can travel to the brain, causing a
stroke, or to other parts of the body. Rivaroxaban tablets lowers your chance
of having a stroke by helping to prevent clots from forming. If you stop
taking rivaroxaban tablets , you may have increased risk of forming a clot in
your blood.
**Do not stop taking rivaroxaban tablets without talking to the doctor who
prescribes it for you. Stopping rivaroxaban tablets increases your risk of
having a stroke.**If you have to stop taking Rivaroxaban tablets, your doctor
may prescribe another blood thinner medicine to prevent a blood clot from
forming.
•Increased risk of bleeding. Rivaroxaban tablets can cause bleeding which
can be serious, and may lead to death. This is because Rivaroxaban tablets is
a blood thinner medicine (anticoagulant) that lowers blood clotting. During
treatment with Rivaroxaban tablets you are likely to bruise more easily and it
may take longer for bleeding to stop. You may have a higher risk of bleeding
if you take rivaroxaban tablets and have certain other medical problems
You may have a higher risk of bleeding if you take rivaroxaban tablets and
take other medicines that increase your risk of bleeding, including:
o aspirin or aspirin containing products
o long-term (chronic) use of non-steroidal anti-inflammatory drugs (NSAIDs)
o warfarin sodium (Coumadin®, Jantoven®)
o any medicine that contains heparin
o clopidogrel (Plavix®)
o selective serotonin reuptake inhibitors (SSRIs) or serotonin norepinephrine
reuptake inhibitors (SNRIs)
o other medicines to prevent or treat blood clots
Tell your doctor if you take any of these medicines. Ask your doctor or
pharmacist if you are not sure if your medicine is one listed above.
Call your doctor or get medical help right away if you or your child develop
any of these signs or symptoms of bleeding:
• unexpected bleeding or bleeding that lasts a long time, such as:
o nose bleeds that happen often
o unusual bleeding from the gums
o menstrual bleeding that is heavier than normal or vaginal bleeding
• bleeding that is severe or you cannot control
• red, pink or brown urine
• bright red or black stools (looks like tar)
• cough up blood or blood clots
• vomit blood or your vomit looks like “coffee grounds”
• headaches, feeling dizzy or weak
• pain, swelling, or new drainage at wound sites
•Spinal or epidural blood clots (hematoma). People who take a blood
thinner medicine (anticoagulant) like Rivaroxaban tablets, and have medicine
injected into their spinal and epidural area, or have a spinal puncture have a
risk of forming a blood clot that can cause long-term or permanent loss of the
ability to move (paralysis). Your risk of developing a spinal or epidural
blood clot is higher if:
o a thin tube called an epidural catheter is placed in your back to give you
certain medicine
o you take NSAIDs or a medicine to prevent blood from clotting
o you have a history of difficult or repeated epidural or spinal punctures
o you have a history of problems with your spine or have had surgery on your
spine
If you take Rivaroxaban tablets and receive spinal anesthesia or have a spinal
puncture, your doctor should watch you closely for symptoms of spinal or
epidural blood clots.
Tell your doctor right away if you have
• back pain
• tingling
• numbness
• muscle weakness (especially in your legs and feet)
• loss of control of the bowels or bladder (incontinence)
Rivaroxaban tablets is not for use in people with artificial heart valves.
Rivaroxaban tablets is not for use in people with antiphospholipid syndrome
(APS), especially with positive triple antibody testing.
What is Rivaroxaban tablets?
Rivaroxaban tablets is a prescription medicine used to:
• reduce the risk of stroke and blood clots in adults who have a medical
condition called atrial fibrillation that is not caused by a heart valve
problem. With atrial fibrillation, part of the heart does not beat the way it
should. This can lead to the formation of blood clots, which can travel to the
brain, causing a stroke, or to other parts of the body.
• treat blood clots in the veins of your legs (deep vein thrombosis or DVT) or
lungs (pulmonary embolism or PE)
• reduce the risk of blood clots from happening again in adults who continue
to be at risk for DVT or PE after receiving treatment for blood clots for at
least 6 months.
• help prevent a blood clot in the legs and lungs of adults who have just had
hip or knee replacement surgery.
• help prevent blood clots in certain adults hospitalized for an acute illness
and after discharge who are at risk of
getting blood clots because of the loss of or decreased ability to move around
(mobility) and other risks for getting blood clots and who do not have a high
risk of bleeding.
Rivaroxaban tablets is used with low dose aspirin to:
• reduce the risk of serious heart problems, heart attack and stroke in adults
with coronary artery disease (a condition where the blood supply to the heart
is reduced or blocked)
• reduce the risk of a sudden decrease in blood flow to the legs, major
amputation, serious heart problems or stroke
in adults with peripheral artery disease (a condition where the blood flow to
the legs is reduced) and includes
adults who have recently had a procedure to improve blood flow to the legs.
Rivaroxaban tablets is used in children to:
• treat blood clots or reduce the risk of blood clots from happening again in
children from birth to less than 18 years, after receiving at least 5 days of
treatment with injectable or intravenous medicines used to treat blood clots.
• help prevent blood clots in children 2 years and older with congenital heart
disease after the Fontan procedure.
Rivaroxaban tablets was not studied and is not recommended in children less
than 6 months of age who:
• were less than 37 weeks of growth (gestation) at birth
• had less than 10 days of oral feeding, or
• had a body weight of less than 5.7 pounds (2.6 kg)
Do not take rivaroxaban tablets if you or your child:
• currently have certain types of abnormal bleeding. Talk to your doctor
before taking rivaroxaban tablets if you currently have unusual bleeding.
• are allergic to rivaroxaban tablets or any of the ingredients in rivaroxaban
tablets. See the end of this Medication Guide for a complete list of
ingredients in Rivaroxaban tablets.
Before taking rivaroxaban tablets, tell your doctor about all of your
medical conditions, including if you or your child:
• have or ever had bleeding problems
• have liver or kidney problems
• have antiphospholipid syndrome (APS)
• are pregnant or plan to become pregnant. It is not known if rivaroxaban
tablets will harm your unborn baby.
oTell your doctorright away if you become pregnant during treatment with
rivaroxaban tablets. Taking rivaroxaban tablets while you are pregnant may
increase the risk of bleeding in you or in your unborn baby.
o Females who are able to become pregnant: Talk with your doctor about
pregnancy planning during treatment with rivaroxaban tablets. Talk with your
doctor about your risk for severe uterine bleeding if you are treated with
blood thinner medicines, including rivaroxaban tablets.
o If you take rivaroxaban tablets during pregnancytell your doctor right
away if you have any signs or symptoms of bleeding or blood loss. See**“What
is the most important information I should know about rivaroxaban
tablets?”**for signs and symptoms of bleeding.
• are breastfeeding or plan to breastfeed. Rivaroxaban can pass into your
breast milk. Talk to your doctor about the best way to feed your baby during
treatment with Rivaroxaban tablets.
Tell all of your doctors and dentists that you or your child are taking rivaroxaban tablets. They should talk to the doctor who prescribed rivaroxaban tablets for you before you have any surgery, medical or dental procedure.
Tell your doctor about all the medicines you or your child take, including prescription and over-the-counter medicines, vitamins, and herbal supplements.
Some of your other medicines may affect the way Rivaroxaban tablets works,
causing side effects. Certain medicines may increase your risk of bleeding.
See**“What is the most important information I should know about rivaroxaban
tablets?” Especially tell your doctor if you or your child take:**
• ketoconazole • ritonavir
• erythromycin • carbamazepine
• phenytoin • rifampin
• St. John’s wort
How should I take rivaroxaban tablets?
• Take rivaroxaban tablets exactly as prescribed by your doctor.
•Do not change your dose or stop taking rivaroxaban tablets unless your
doctor tells you to. Your doctor may change your dose if needed.
• Your doctor will decide how long you should take rivaroxaban tablets.
• Rivaroxaban tablets may need to be stopped for one or more days before any
surgery or medical or dental procedure. Your doctor will tell you when to stop
taking rivaroxaban tablets and when to start taking rivaroxaban tablets again
after your surgery or procedure.
• If you need to stop taking rivaroxaban tablets for any reason, talk to the
doctor who prescribed rivaroxaban tablets to you to find out when you should
stop taking it. Do not stop taking rivaroxaban tablets without first talking
to the doctor who prescribes it to you.
• If you have difficulty swallowing rivaroxaban tablets whole, talk to your
doctor about other ways to take rivaroxaban tablets.
• Do not run out of rivaroxaban tablets. Refill your prescription of
rivaroxaban tablets before you run out. When leaving the hospital following a
hip or knee replacement, be sure that you will have rivaroxaban tablets
available to avoid missing any doses.
• If you take too much rivaroxaban tablets, go to the nearest hospital
emergency room or call your doctor right away.
If you take rivaroxaban tablets for:
oAtrial fibrillation that is not caused by a heart valve problem:
 Take rivaroxaban tablets1 time a day with your evening meal.
 If you miss a dose of rivaroxaban tablets, take it as soon as you remember
on the same day. Take your next dose at your regularly scheduled time.
oBlood clots in the veins of your legs or lungs:
 Take rivaroxaban tablets1 or 2 times a dayas prescribed by your
doctor.
 For the10 mg dose, take rivaroxaban tabletswith or without food.
 For the15 mg and 20 mg doses, take rivaroxaban tabletswith food at
the same time each day.
 Take your rivaroxaban tablets doses at the same time each day.
 If you miss a dose:
If you take the 15 mg dose of Rivaroxaban tablets 2 times a day (a total
of 30 mg of Rivaroxaban tablets in 1 day):Take rivaroxaban tablets as soon
as you remember on the same day. You may take 2 doses at the same time to make
up for the missed dose. Take your next dose at your regularly scheduled time.
If you take rivaroxaban tablets 1 time a day: Take rivaroxaban tablets
as soon as you remember on the same day. Take your next dose at your regularly
scheduled time.
oHip or knee replacement surgery:
 Take rivaroxaban tablets 1 time a day with or without food.
 If you miss a dose of rivaroxaban tablets, take it as soon as you remember
on the same day. Take your next dose at your regularly scheduled time.
oBlood clots in people hospitalized for an acute illness:
 Take rivaroxaban tablets 1 time a day, with or without food, while you are
in the hospital and after you are discharged as prescribed by your doctor.
oReducing the risk of serious heart problems, heart attack and stroke in
coronary artery disease:
 Take rivaroxaban tablets 2.5 mg 2 times a day with or without food.
 If you miss a dose of rivaroxaban tablets, take your next dose at your
regularly scheduled time.
 Take aspirin 75 to 100 mg once daily as instructed by your doctor.
oReducing the risk of a sudden decrease in blood flow to the legs, major
amputation, serious heart problems or stroke in people with peripheral artery
disease including those who have recently had a procedure to improve blood
flow to the legs:
 Take rivaroxaban tablets 2.5 mg 2 times a day with or without food.
 If you miss a dose of rivaroxaban tablets, take your next dose at your
regularly scheduled time.
 Take aspirin 75 mg to 100 mg 1 time a day as instructed by your doctor.
For children who take rivaroxaban tablets:
o The dose of rivaroxaban tablets depends on your child’s body weight and will
be calculated by your child’s doctor. Your child’s doctor will
tell you if rivaroxaban tablets can be given to your child with or without
food.
o The adult caregiver should give the dose.
o If your child is taking the tablet, the tablet should be taken whole and
should not be split in an attempt to provide a lower dose of
rivaroxaban tablets.
o Do not switch between the rivaroxaban tablets oral suspension or tablet
without first talking to your doctor.
o If your child vomits or spits up:
▪ right after or within 30 minutes of taking the oral suspension, give a new
full dose.
▪ more than 30 minutes after taking the oral suspension, do not give the dose
again. Give the next dose at the regularly scheduled time.
▪ if vomiting or spitting up persists, contact your child’s doctor right away.
o If your child misses a dose:
▪ If your child is taking rivaroxaban tablets 1 time a day, give the dose as
soon as you remember on the same day. If this is not possible,
skip this dose and give the next dose at the regularly scheduled time.
▪ If your child is taking rivaroxaban tablets 2 times a day, give the missed
morning dose as soon as you remember. You may give the
missed morning dose together with the evening dose. However, a missed evening
dose can only be taken in the same evening.
▪ If your child is taking rivaroxaban tablets 3 times a day, skip the missed
dose and give the next dose at the regularly scheduled time.
What are the possible side effects of rivaroxaban tablets?
** Rivaroxaban tablets may cause serious side effects:**
• See “What is the most important information I should know about
rivaroxaban tablets?”
The most common side effect of rivaroxaban tablets in adult was bleeding.
The most common side effects of rivaroxaban tablets in children include:
• bleeding • cough
• vomiting • inflamed stomach and gut
Call your doctor for medical advice about side effects. You may report side effects to FDA at 1800-FDA-1088.
How should I store Rivaroxaban tablets?
• Store at 20° to 25°C (68° to 77°F)
Keep rivaroxaban tablets and all medicines out of the reach of children.
General information about the safe and effective use of rivaroxaban
tablets.
Medicines are sometimes prescribed for purposes other than those listed in a
Medication Guide. Do not use rivaroxaban tablets for a condition for which it
was not prescribed. Do not give rivaroxaban tablets to other people, even if
they have the same symptoms that you have. It may harm them. You can ask your
pharmacist or doctor for information about rivaroxaban tablets that is written
for health professionals.
What are the ingredients in rivaroxaban tablets?
Active ingredient: Rivaroxaban tablets
Inactive ingredients tablets: colloidal silicon dioxide, croscarmellose
sodium, hydroxypropyl methylcellulose, lactose monohydrate, magnesium
stearate, microcrystalline cellulose, and sodium lauryl sulfate.
The proprietary film coating mixture used for rivaroxaban tablets 2.5 mg
tablets is Instacoat@ yellow containing hypromellose, polyethylene glycol,
titanium dioxide and yellow iron oxide.
Manufactured for :
Macleods Pharma USA, Inc.
Princeton, NJ 08540
Manufactured by :
Macleods Pharmaceuticals Ltd.
Baddi, Himachal Pradesh-174101 INDIA
This Medication Guide has been approved by the U.S. Food and Drug Administration
Revised: 05/2025
