MedPath

Lurasidone Hydrochloride

These highlights do not include all the information needed to use LURASIDONE HYDROCHLORIDE TABLETS safely and effectively. See full prescribing information for LURASIDONE HYDROCHLORIDE TABLETS. LURASIDONE HYDROCHLORIDE tablets, for oral use Initial U.S. Approval: 2010

Approved
Approval ID

9cb5e275-1029-407a-8c93-ec5cde2d323b

Product Type

HUMAN PRESCRIPTION DRUG LABEL

Effective Date

Jan 11, 2024

Manufacturers
FDA

Torrent Pharmaceuticals Limited

DUNS: 650175722

Products 5

Detailed information about drug products covered under this FDA approval, including NDC codes, dosage forms, ingredients, and administration routes.

Lurasidone Hydrochloride

Product Details

FDA regulatory identification and product classification information

FDA Identifiers
NDC Product Code13668-737
Application NumberANDA208055
Product Classification
M
Marketing Category
C73584
G
Generic Name
Lurasidone Hydrochloride
Product Specifications
Route of AdministrationORAL
Effective DateMay 5, 2025
FDA Product Classification

INGREDIENTS (7)

MANNITOLInactive
Code: 3OWL53L36A
Classification: IACT
CROSCARMELLOSE SODIUMInactive
Code: M28OL1HH48
Classification: IACT
TITANIUM DIOXIDEInactive
Code: 15FIX9V2JP
Classification: IACT
MAGNESIUM STEARATEInactive
Code: 70097M6I30
Classification: IACT
HYPROMELLOSE 2910 (6 MPA.S)Inactive
Code: 0WZ8WG20P6
Classification: IACT
POLYETHYLENE GLYCOL 6000Inactive
Code: 30IQX730WE
Classification: IACT
LURASIDONE HYDROCHLORIDEActive
Quantity: 60 mg in 1 1
Code: O0P4I5851I
Classification: ACTIB

Lurasidone Hydrochloride

Product Details

FDA regulatory identification and product classification information

FDA Identifiers
NDC Product Code13668-466
Application NumberANDA208055
Product Classification
M
Marketing Category
C73584
G
Generic Name
Lurasidone Hydrochloride
Product Specifications
Route of AdministrationORAL
Effective DateMarch 20, 2023
FDA Product Classification

INGREDIENTS (9)

MANNITOLInactive
Code: 3OWL53L36A
Classification: IACT
CROSCARMELLOSE SODIUMInactive
Code: M28OL1HH48
Classification: IACT
HYPROMELLOSE 2910 (6 MPA.S)Inactive
Code: 0WZ8WG20P6
Classification: IACT
MAGNESIUM STEARATEInactive
Code: 70097M6I30
Classification: IACT
TITANIUM DIOXIDEInactive
Code: 15FIX9V2JP
Classification: IACT
POLYETHYLENE GLYCOL 6000Inactive
Code: 30IQX730WE
Classification: IACT
FERRIC OXIDE YELLOWInactive
Code: EX438O2MRT
Classification: IACT
FD&C BLUE NO. 2Inactive
Code: L06K8R7DQK
Classification: IACT
LURASIDONE HYDROCHLORIDEActive
Quantity: 80 mg in 1 1
Code: O0P4I5851I
Classification: ACTIB

Lurasidone Hydrochloride

Product Details

FDA regulatory identification and product classification information

FDA Identifiers
NDC Product Code13668-465
Application NumberANDA208055
Product Classification
M
Marketing Category
C73584
G
Generic Name
Lurasidone Hydrochloride
Product Specifications
Route of AdministrationORAL
Effective DateMarch 20, 2023
FDA Product Classification

INGREDIENTS (7)

MANNITOLInactive
Code: 3OWL53L36A
Classification: IACT
CROSCARMELLOSE SODIUMInactive
Code: M28OL1HH48
Classification: IACT
TITANIUM DIOXIDEInactive
Code: 15FIX9V2JP
Classification: IACT
MAGNESIUM STEARATEInactive
Code: 70097M6I30
Classification: IACT
HYPROMELLOSE 2910 (6 MPA.S)Inactive
Code: 0WZ8WG20P6
Classification: IACT
POLYETHYLENE GLYCOL 6000Inactive
Code: 30IQX730WE
Classification: IACT
LURASIDONE HYDROCHLORIDEActive
Quantity: 40 mg in 1 1
Code: O0P4I5851I
Classification: ACTIB

Lurasidone Hydrochloride

Product Details

FDA regulatory identification and product classification information

FDA Identifiers
NDC Product Code13668-467
Application NumberANDA208055
Product Classification
M
Marketing Category
C73584
G
Generic Name
Lurasidone Hydrochloride
Product Specifications
Route of AdministrationORAL
Effective DateMarch 20, 2023
FDA Product Classification

INGREDIENTS (7)

MANNITOLInactive
Code: 3OWL53L36A
Classification: IACT
CROSCARMELLOSE SODIUMInactive
Code: M28OL1HH48
Classification: IACT
HYPROMELLOSE 2910 (6 MPA.S)Inactive
Code: 0WZ8WG20P6
Classification: IACT
MAGNESIUM STEARATEInactive
Code: 70097M6I30
Classification: IACT
TITANIUM DIOXIDEInactive
Code: 15FIX9V2JP
Classification: IACT
POLYETHYLENE GLYCOL 6000Inactive
Code: 30IQX730WE
Classification: IACT
LURASIDONE HYDROCHLORIDEActive
Quantity: 120 mg in 1 1
Code: O0P4I5851I
Classification: ACTIB

Lurasidone Hydrochloride

Product Details

FDA regulatory identification and product classification information

FDA Identifiers
NDC Product Code13668-464
Application NumberANDA208055
Product Classification
M
Marketing Category
C73584
G
Generic Name
Lurasidone Hydrochloride
Product Specifications
Route of AdministrationORAL
Effective DateMarch 20, 2023
FDA Product Classification

INGREDIENTS (7)

HYPROMELLOSE 2910 (6 MPA.S)Inactive
Code: 0WZ8WG20P6
Classification: IACT
TITANIUM DIOXIDEInactive
Code: 15FIX9V2JP
Classification: IACT
MANNITOLInactive
Code: 3OWL53L36A
Classification: IACT
CROSCARMELLOSE SODIUMInactive
Code: M28OL1HH48
Classification: IACT
MAGNESIUM STEARATEInactive
Code: 70097M6I30
Classification: IACT
POLYETHYLENE GLYCOL 6000Inactive
Code: 30IQX730WE
Classification: IACT
LURASIDONE HYDROCHLORIDEActive
Quantity: 20 mg in 1 1
Code: O0P4I5851I
Classification: ACTIB

Drug Labeling Information

BOXED WARNING SECTION

LOINC: 34066-1Updated: 4/3/2025

**WARNING: INCREASED MORTALITY IN ELDERLY PATIENTS WITH DEMENTIA-RELATED

PSYCHOSIS; and SUICIDAL THOUGHTS AND BEHAVIORS**

ADVERSE REACTIONS SECTION

LOINC: 34084-4Updated: 4/3/2025

6 ADVERSE REACTIONS

The following adverse reactions are discussed in more detail in other sections of the labeling:

  • Increased Mortality in Elderly Patients with Dementia-Related Psychosis [see Boxed Warning and Warnings and Precautions ( 5.1)]
  • Suicidal Thoughts and Behaviors [see Boxed Warning and Warnings and Precautions ( 5.2)]
  • Cerebrovascular Adverse Reactions, Including Stroke, in Elderly Patients with Dementia-related Psychosis [see Warnings and Precautions ( 5.3)]
  • Neuroleptic Malignant Syndrome [see Warnings and Precautions ( 5.4)]
  • Tardive Dyskinesia [see Warnings and Precautions ( 5.5)]
  • Metabolic Changes [see Warnings and Precautions ( 5.6)]
  • Hyperprolactinemia [see Warnings and Precautions ( 5.7)]
  • Leukopenia, Neutropenia, and Agranulocytosis [see Warnings and Precautions ( 5.8)]
  • Orthostatic Hypotension and Syncope [see Warnings and Precautions ( 5.9)]
  • Falls [see Warnings and Precautions ( 5.10)]
  • Seizures [see Warnings and Precautions ( 5.11)]
  • Potential for Cognitive and Motor Impairment [see Warnings and Precautions ( 5.12)]
  • Body Temperature Dysregulation [see Warnings and Precautions ( 5.13)]
  • Activation of Mania/Hypomania [see Warnings and Precautions ( 5.14)]
  • Dysphagia [see Warnings and Precautions ( 5.15)]
  • Neurological Adverse Reactions in Patients with Parkinson's Disease or Dementia with Lewy Bodies [see Warnings and Precautions ( 5.16)]

6.1 Clinical Trials Experience

Because clinical trials are conducted under widely varying conditions, adverse reaction rates observed in clinical trials of a drug cannot be directly compared to rates in the clinical trials of another drug and may not reflect the rates observed in clinical practice.

Adults

The information below is derived from an integrated clinical study database for lurasidone hydrochloride consisting of 3,799 adult patients exposed to one or more doses of lurasidone hydrochloride for the treatment of schizophrenia, and bipolar depression in placebo-controlled studies. This experience corresponds with a total experience of 1,250.9 patient-years. A total of 1,106 lurasidone hydrochloride-treated patients had at least 24 weeks and 371 lurasidone hydrochloride-treated patients had at least 52 weeks of exposure.

Adverse events during exposure to study treatment were obtained by general inquiry and voluntarily reported adverse experiences, as well as results from physical examinations, vital signs, ECGs, weights and laboratory investigations. Adverse experiences were recorded by clinical investigators using their own terminology. In order to provide a meaningful estimate of the proportion of individuals experiencing adverse events, events were grouped in standardized categories using MedDRA terminology.

Schizophrenia

The following findings are based on the short-term, placebo-controlled premarketing adult studies for schizophrenia in which lurasidone hydrochloride was administered at daily doses ranging from 20 to 160 mg (n=1,508).

Commonly Observed Adverse Reactions: The most common adverse reactions (incidence≥ 5% and at least twice the rate of placebo) in patients treated with lurasidone hydrochloride were somnolence, akathisia, extrapyramidal symptoms, and nausea.

Adverse Reactions Associated with Discontinuation of Treatment: A total of 9.5% (143/1,508) lurasidone hydrochloride-treated patients and 9.3% (66/708) of placebo-treated patients discontinued due to adverse reactions. There were no adverse reactions associated with discontinuation in subjects treated with lurasidone hydrochloride that were at least 2% and at least twice the placebo rate.

Adverse Reactions Occurring at an Incidence of 2% or More in Lurasidone Hydrochloride-Treated Patients: Adverse reactions associated with the use of lurasidone hydrochloride (incidence of 2% or greater, rounded to the nearest percent and lurasidone hydrochloride incidence greater than placebo) that occurred during acute therapy (up to 6 weeks in patients with schizophrenia) are shown in Table 19.

Table 19: Adverse Reactions in 2% or More of Lurasidone Hydrochloride- Treated Patients and That Occurred at Greater Incidence than in the Placebo- Treated Patients in Adult Short-term Schizophrenia Studies

** Percentage of Patients Reporting Reaction**

** Body System or**
** Organ Class**

** Lurasidone hydrochloride**

** Placebo**
** (N=708)**
** (%)**

** 20**
** mg/day**
** (N=71)**
** (%)**

** 40**
** mg/day**
** (N=487)**
** (%)**

** 80**
** mg/day**
** (N=538)**
** (%)**

** 120 mg/day**
** (N=291)**
** (%)**

** 160 mg/day**
** (N=121)**
** (%)**

** All**
** lurasidone hydrochloride**
** (N=1508)**
** (%)**

** Gastrointestinal**
** Disorders**

Nausea

5

11

10

9

13

7

10

Vomiting

6

7

6

9

9

7

8

Dyspepsia

5

11

6

5

8

6

6

Salivary
Hypersecretion

<1

1

1

2

4

2

2

** Musculoskeletal and Connective Tissue Disorders**

Back Pain

2

0

4

3

4

0

3

** Nervous System**
** Disorders**

Somnolence*

7

15

16

15

26

8

17

Akathisia

3

6

11

12

22

7

13

Extrapyramidal
Disorder**

6

6

11

12

22

13

14

Dizziness

2

6

4

4

5

6

4

** Psychiatric Disorders**

Insomnia

8

8

10

11

9

7

10

Agitation

4

10

7

3

6

5

5

Anxiety

4

3

6

4

7

3

5

Restlessness

1

1

3

1

3

2

2

Note: Figures rounded to the nearest integer

  • Somnolence includes adverse event terms: hypersomnia, hypersomnolence, sedation, and somnolence
    ** Extrapyramidal symptoms include adverse event terms: bradykinesia, cogwheel rigidity, drooling, dystonia, extrapyramidal disorder, hypokinesia, muscle rigidity, oculogyric crisis, oromandibular dystonia, parkinsonism, psychomotor retardation, tongue spasm, torticollis, tremor, and trismus

Dose-Related Adverse Reactions in the Schizophrenia Studies

Akathisia and extrapyramidal symptoms were dose-related. The frequency of akathisia increased with dose up to 120 mg/day (5.6% for lurasidone hydrochloride tablets 20 mg, 10.7% for lurasidone hydrochloride tablets 40 mg, 12.3% for lurasidone hydrochloride tablets 80 mg, and 22.0% for lurasidone hydrochloride tablets 120 mg). Akathisia was reported by 7.4% (9/121) of patients receiving 160 mg/day. Akathisia occurred in 3.0% of subjects receiving placebo. The frequency of extrapyramidal symptoms increased with dose up to 120 mg/day (5.6% for lurasidone hydrochloride tablets 20 mg, 11.5% for lurasidone hydrochloride tablets 40 mg, 11.9% for lurasidone hydrochloride tablets 80 mg, and 22.0% for lurasidone hydrochloride tablets 120 mg).

Bipolar Depression (Monotherapy)

The following findings are based on the adult short-term, placebo-controlled premarketing study for bipolar depression in which lurasidone hydrochloride was administered at daily doses ranging from 20 to 120 mg (n=331).

Commonly Observed Adverse Reactions: The most common adverse reactions (incidence ≥5%, in either dose group, and at least twice the rate of placebo) in patients treated with lurasidone hydrochloride were akathisia, extrapyramidal symptoms, somnolence, nausea, vomiting, diarrhea, and anxiety.

Adverse Reactions Associated with Discontinuation of Treatment:A total of 6.0% (20/331) lurasidone hydrochloride-treated patients and 5.4% (9/168) of placebo-treated patients discontinued due to adverse reactions. There were no adverse reactions associated with discontinuation in subjects treated with lurasidone hydrochloride that were at least 2% and at least twice the placebo rate.

Adverse Reactions Occurring at an Incidence of 2% or More in Lurasidone Hydrochloride-Treated Patients: Adverse reactions associated with the use of lurasidone hydrochloride (incidence of 2% or greater, rounded to the nearest percent and lurasidone hydrochloride incidence greater than placebo) that occurred during acute therapy (up to 6 weeks in patients with bipolar depression) are shown in Table 20.

Table 20: Adverse Reactions in 2% or More of Lurasidone Hydrochloride- Treated Patients and That Occurred at Greater Incidence than in the Placebo- Treated Patients in the Adult Short-term Monotherapy Bipolar Depression Study

** Percentage of Patients Reporting Reaction**

** Body System or Organ Class**
Dictionary-derived
Term

** Placebo**
** (N=168)**
** (%)**

** Lurasidone hydrochloride**
** 20 to 60**
** mg/day**
** (N=164)**
** (%)**

** Lurasidone hydrochloride**
** 80 to 120**
** mg/day**
** (N=167)**
** (%)**

** All**
** lurasidone hydrochloride**
** (N=331)**
** (%)**

** Gastrointestinal**
** Disorders**

Nausea

8

10

17

14

Dry Mouth

4

6

4

5

Vomiting

2

2

6

4

Diarrhea

2

5

3

4

** Infections and Infestations**

Nasopharyngitis

1

4

4

4

Influenza

1

<1

2

2

Urinary Tract
Infection

<1

2

1

2

** Musculoskeletal and Connective Tissue Disorders**

Back Pain

<1

3

<1

2

** Nervous System**
** Disorders**

Extrapyramidal
Symptoms*

2

5

9

7

Akathisia

2

8

11

9

Somnolence**

7

7

14

11

** Psychiatric Disorders**

Anxiety

1

4

5

4

Note: Figures rounded to the nearest integer
*Extrapyramidal symptoms includes adverse event terms: bradykinesia, cogwheel rigidity, drooling, dystonia, extrapyramidal disorder, glabellar reflex abnormal, hypokinesia, muscle rigidity, oculogyric crisis, oromandibular dystonia, parkinsonism, psychomotor retardation, tongue spasm, torticollis, tremor, and trismus
** Somnolence includes adverse event terms: hypersomnia, hypersomnolence, sedation, and somnolence

Dose-Related Adverse Reactions in the Monotherapy Study:

In the adult short-term, placebo-controlled study (involving lower and higher lurasidone hydrochloride dose ranges) [ see Clinical Studies ( 14.2) ] the adverse reactions that occurred with a greater than 5% incidence in the patients treated with lurasidone hydrochloride in any dose group and greater than placebo in both groups were nausea (10.4%, 17.4%), somnolence (7.3%, 13.8%), akathisia (7.9%, 10.8%), and extrapyramidal symptoms (4.9%, 9.0%) for lurasidone hydrochloride tablets 20 to 60 mg/day and lurasidone hydrochloride tablets 80 to 120 mg/day, respectively.

Bipolar Depression

Adjunctive Therapy with Lithium or Valproate

The following findings are based on two adult short-term, placebo-controlled premarketing studies for bipolar depression in which lurasidone hydrochloride was administered at daily doses ranging from 20 to 120 mg as adjunctive therapy with lithium or valproate (n=360).

Commonly Observed Adverse Reactions:The most common adverse reactions (incidence ≥5% and at least twice the rate of placebo) in subjects treated with lurasidone hydrochloride were akathisia and somnolence.

Adverse Reactions Associated with Discontinuation of Treatment:A total of 5.8% (21/360) lurasidone hydrochloride-treated patients and 4.8% (16/334) of placebo-treated patients discontinued due to adverse reactions. There were no adverse reactions associated with discontinuation in subjects treated with lurasidone hydrochloride that were at least 2% and at least twice the placebo rate.

Adverse Reactions Occurring at an Incidence of 2% or More in Lurasidone Hydrochloride-Treated Patients: Adverse reactions associated with the use of lurasidone hydrochloride (incidence of 2% or greater, rounded to the nearest percent and lurasidone hydrochloride incidence greater than placebo) that occurred during acute therapy (up to 6 weeks in patients with bipolar depression) are shown in Table 21.

Table 21: Adverse Reactions in 2% or More of Lurasidone Hydrochloride- Treated Patients and That Occurred at Greater Incidence than in the Placebo- Treated Patients in the Adult Short-term Adjunctive Therapy Bipolar Depression Studies

** Percentage of Patients Reporting Reaction**

** Body System or Organ Class**
Dictionary-derived Term

** Placebo**
** (N=334)**
** (%)**

** Lurasidone hydrochloride**
** 20 to 120 mg/day**
** (N=360)**
** (%)**

** Gastrointestinal Disorders**

Nausea

10

14

Vomiting

1

4

** General Disorders**

Fatigue

1

3

** Infections and Infestations**

Nasopharyngitis

2

4

** Investigations**

Weight Increased

<1

3

** Metabolism and Nutrition Disorders**

Increased Appetite

1

3

** Nervous System Disorders**

Extrapyramidal Symptoms*

9

14

Somnolence**

5

11

Akathisia

5

11

** Psychiatric Disorders**

Restlessness

<1

4

Note: Figures rounded to the nearest integer

*Extrapyramidal symptoms include adverse event terms: bradykinesia, cogwheel rigidity, drooling, dystonia, extrapyramidal disorder, glabellar reflex abnormal, hypokinesia, muscle rigidity, oculogyric crisis, oromandibular dystonia, parkinsonism, psychomotor retardation, tongue spasm, torticollis, tremor, and trismus

** Somnolence includes adverse event terms: hypersomnia, hypersomnolence, sedation, and somnolence

Adolescents

Schizophrenia

The following findings are based on the short-term, placebo-controlled adolescent study for schizophrenia in which lurasidone hydrochloride tablets was administered at daily doses ranging from 40 (N=110) to 80 mg (N=104).

Commonly Observed Adverse Reactions: The most common adverse reactions (incidence ≥5% and at least twice the rate of placebo) in adolescent patients (13 to 17 years) treated with lurasidone hydrochloride tablets were somnolence, nausea, akathisia, extrapyramidal symptoms (non-akathisia, 40mg only), vomiting, and rhinorrhea/rhinitis (80mg only).

Adverse Reactions Associated with Discontinuation of Treatment: The incidence of discontinuation due to adverse reactions between lurasidone hydrochloride tablets- and placebo-treated adolescent patients (13 to 17 years) was 4% and 8%, respectively.

Adverse Reactions Occurring at an Incidence of 2% or More in Lurasidone hydrochloride tablets-Treated Patients:

Adverse reactions associated with the use of lurasidone hydrochloride tablets (incidence of 2% or greater, rounded to the nearest percent and lurasidone hydrochloride tablets incidence greater than placebo) that occurred during acute therapy (up to 6-weeks in adolescent patients with schizophrenia) are shown in Table 22.

Table 22: Adverse Reactions in 2% or More of Lurasidone Hydrochloride Tablets-Treated Patients and That Occurred at Greater Incidence than in the Placebo-Treated Patients in the Adolescent Short-term Schizophrenia Study

Percentage of Patients Reporting Reaction

Body System or Organ Class

Dictionary-derived Term

Placebo

(N=112)

Lurasidone hydrochloride

40 mg/day

(N=110)

Lurasidone hydrochloride

80 mg/day

(N=104)

All Lurasidone hydrochloride (N=214)

Gastrointestinal Disorders

Nausea

3

13

14

14

Vomiting

2

8

6

8

Diarrhea

1

3

5

4

Dry Mouth

0

2

3

2

Infections and Infestations

Viral Infection**

6

11

10

10

Rhinitis***

2

<1

8

4

Oropharyngeal pain

0

<1

3

2

Tachycardia

0

0

3

1

Nervous System Disorders

Somnolence*

7

15

13

15

Akathisia

2

9

9

9

Dizziness

1

5

5

5

Note: Figures rounded to the nearest integer

  • Somnolence includes adverse event terms: hypersomnia, sedation, and somnolence
    ** Viral Infection includes adverse event terms: nasopharyngitis, influenza, viral infection, upper respiratory tract infection
    *** Rhinitis incudes adverse event terms: rhinitis, allergic rhinitis, rhinorrhea, and nasal congestion

Pediatric Patients (10 to 17 years)

Bipolar Depression

The following findings are based on the 6-week , placebo-controlled study for bipolar depression in pediatric patients 10 to 17 years in which lurasidone hydrochloride tablets was administered at daily doses ranging from 20 to 80 mg (N=175).

Commonly Observed Adverse Reactions: The most common adverse reactions (incidence ≥5%, and at least twice the rate of placebo) in pediatric patients (10 to 17 years) treated with lurasidone hydrochloride tablets were nausea, weight increase, and insomnia.

Adverse Reactions Associated with Discontinuation of Treatment: The incidence of discontinuation due to adverse reactions between lurasidone hydrochloride tablets- and placebo-treated pediatric patients 10 to 17 years was 2% and 2%, respectively.

Adverse Reactions Occurring at an Incidence of 2% or More in Lurasidone hydrochloride tablets -Treated Patients:

Adverse reactions associated with the use of lurasidone hydrochloride tablets (incidence of 2% or greater, rounded to the nearest percent and lurasidone hydrochloride tablets incidence greater than placebo) that occurred during acute therapy (up to 6 weeks in pediatric patients with bipolar depression) are shown in Table 23.

Table 23: Adverse Reactions in 2% or More of Lurasidone Hydrochloride Tablets-Treated Patients and That Occurred at Greater Incidence than in the Placebo-Treated Patients in the 6 Week Bipolar Depression Study in Pediatric Patients (10 to 17 years)

** Percentage of Patients Reporting Reaction**

Body System or Organ Class

Dictionary-derived Term

Placebo

(N=172)

Lurasidone hydrochloride

20 to 80 mg/day

(N=175)

Gastrointestinal Disorders

Nausea

6

16

Vomiting

4

6

Abdominal Pain Upper

2

3

Diarrhea

2

3

Abdominal Pain

1

3

General Disorders And Administration Site Conditions

Fatigue

2

3

Investigations

Weight Increased

2

7

Metabolism and Nutrition Disorders

Decreased Appetite

2

4

Nervous System Disorders

Somnolence*

6

11

Extrapyramidal symptoms**

5

6

Dizziness

5

6

Psychiatric Disorders

Insomnia

2

5

Abnormal Dreams

2

2

Respiratory, Thoracic and Mediastinal Disorders

Oropharyngeal Pain

2

2

Note: Figures rounded to the nearest integer
*Somnolence includes adverse event terms: hypersomnia, hypersomnolence, sedation, and somnolence
**EPS includes adverse event terms: akathisia, cogwheel rigidity, dyskinesia, dystonia, hyperkinesia, joint stiffness, muscle rigidity, muscle spasms, musculoskeletal stiffness, oculogyric crisis, parkinsonism, tardive dyskinesia, and tremor

Extrapyramidal Symptoms

Schizophrenia

Adults

In the short-term, placebo-controlled schizophrenia studies, for lurasidone hydrochloride-treated patients, the incidence of reported events related to extrapyramidal symptoms (EPS), excluding akathisia and restlessness, was 13.5% and 5.8% for placebo-treated patients. The incidence of akathisia for lurasidone hydrochloride-treated patients was 12.9% and 3.0% for placebo- treated patients. Incidence of EPS by dose is provided in Table 24.

Table 24: Incidence of EPS Compared to Placebo in Adult Schizophrenia Studies

** Adverse Event Term**

** Lurasidone hydrochloride**

** Placebo**
** (N=708)**
** (%)**

** 20**
** mg/day**
** (N=71)**
** (%)**

** 40**
** mg/day**
** (N=487)**
** (%)**

** 80**
** mg/day**
** (N=538)**
** (%)**

** 120 mg/day**
** (N=291)**
** (%)**

** 160 mg/day**
** (N=121)**
** (%)**

** All EPS events**

** 9**

** 10**

** 21**

** 23**

** 39**

** 20**

** All EPS events, excluding Akathisia/Restlessness**

** 6**

** 6**

** 11**

** 12**

** 22**

** 13**

Akathisia

3

6

11

12

22

7

Dystonia*

<1

0

4

5

7

2

Parkinsonism**

5

6

9

8

17

11

Restlessness

1

1

3

1

3

2

Note: Figures rounded to the nearest integer

  • Dystonia includes adverse event terms: dystonia, oculogyric crisis, oromandibular dystonia, tongue spasm, torticollis, and trismus
    ** Parkinsonism includes adverse event terms: bradykinesia, cogwheel rigidity, drooling, extrapyramidal disorder, hypokinesia, muscle rigidity, parkinsonism, psychomotor retardation, and tremor

Adolescents

In the short-term, placebo-controlled, study of schizophrenia in adolescents, the incidence of EPS, excluding events related to akathisia, for lurasidone hydrochloride tablets-treated patients was higher in the 40 mg (10%) and the 80 mg (7.7%) treatment groups vs. placebo (3.6%); and the incidence of akathisia-related events for lurasidone hydrochloride tablets-treated patients was 8.9% vs. 1.8% for placebo-treated patients. Incidence of EPS by dose is provided in Table 25.

Table 25: Incidence of EPS Compared to Placebo in the Adolescent Schizophrenia Study

Adverse Event Term

Lurasidone hydrochloride

Placebo

(N=112)

(%)

40 mg/day

(N=110)

(%)

80 mg/day

(N=104)

(%)

All EPS events

5

14

14

All EPS events, excluding Akathisia/Restlessness

4

7

7

Akathisia

2

9

9

Parkinsonism**

<1

4

0

Dyskinesia

<1

<1

1

Dystonia*

0

<1

1

Note: Figures rounded to the nearest integer

  • Dystonia includes adverse event terms: dystonia, trismus, oculogyric crisis, oromandibular dystonia, tongue spasm, and torticollis
    ** Parkinsonism includes adverse event terms: bradykinesia, drooling, extrapyramidal disorder, glabellar reflex abnormal, hypokinesia, parkinsonism, and psychomotor retardation

Bipolar Depression

Adults

Monotherapy

In the adult short-term, placebo-controlled monotherapy bipolar depression study, for lurasidone hydrochloride-treated patients, the incidence of reported events related to EPS, excluding akathisia and restlessness was 6.9% and 2.4% for placebo-treated patients. The incidence of akathisia for lurasidone hydrochloride-treated patients was 9.4% and 2.4% for placebo- treated patients. Incidence of EPS by dose groups is provided in Table 26.

Table 26: Incidence of EPS Compared to Placebo in the Adult Monotherapy Bipolar Depression Study

** Adverse Event Term**

** Lurasidone hydrochloride**

** Placebo**
** (N=168)**
** (%)**

** 20 to 60 mg/day**
** (N=164)**
** (%)**

** 80 to 120 mg/day**
** (N=167)**
** (%)**

** All EPS events**

5

12

20

** All EPS events, excluding Akathisia/Restlessness**

2

5

9

Akathisia

2

8

11

Dystonia*

0

0

2

Parkinsonism**

2

5

8

Restlessness

<1

0

3

Note: Figures rounded to the nearest integer

  • Dystonia includes adverse event terms: dystonia, oculogyric crisis, oromandibular dystonia, tongue spasm, torticollis, and trismus
    ** Parkinsonism includes adverse event terms: bradykinesia, cogwheel rigidity, drooling, extrapyramidal disorder, glabellar reflex abnormal, hypokinesia, muscle rigidity, parkinsonism, psychomotor retardation, and tremor

Adjunctive Therapy with Lithium or Valproate

In the adult short-term, placebo-controlled adjunctive therapy bipolar depression studies, for lurasidone hydrochloride-treated patients, the incidence of EPS, excluding akathisia and restlessness, was 13.9% and 8.7% for placebo. The incidence of akathisia for lurasidone hydrochloride-treated patients was 10.8% and 4.8% for placebo-treated patients. Incidence of EPS is provided in Table 27.

Table 27: Incidence of EPS Compared to Placebo in the Adult Adjunctive Therapy Bipolar Depression Studies

** Adverse Event Term**

** Placebo**
** (N=334)**
** (%)**

** Lurasidone hydrochloride**

** 20 to 120 mg/day**
** (N=360)**
** (%)**

** All EPS events**

** 13**

** 24**

** All EPS events, excluding Akathisia/Restlessness**

** 9**

** 14**

Akathisia

5

11

Dystonia*

<1

1

Parkinsonism**

8

13

Restlessness

<1

4

Note: Figures rounded to the nearest integer

  • Dystonia includes adverse event terms: dystonia, oculogyric crisis, oromandibular dystonia, tongue spasm, torticollis, and trismus
    ** Parkinsonism includes adverse event terms: bradykinesia, cogwheel rigidity, drooling, extrapyramidal disorder, glabellar reflex abnormal, hypokinesia, muscle rigidity, parkinsonism, psychomotor retardation, and tremor

In the short-term, placebo-controlled schizophrenia and bipolar depression studies, data was objectively collected on the Simpson Angus Rating Scale (SAS) for extrapyramidal symptoms (EPS), the Barnes Akathisia Scale (BAS) for akathisia and the Abnormal Involuntary Movement Scale (AIMS) for dyskinesias.

Pediatric Patients (10 to 17 years)

In the 6-week, placebo-controlled study of bipolar depression in pediatric patients 10 to 17 years, the incidence of EPS, excluding events related to akathisia, for lurasidone hydrochloride tablets-treated patients was similar in the lurasidone hydrochloride tablets 20 to 80 mg/day (3.4%) treatment group vs. placebo (3.5%); and the incidence of akathisia-related events for lurasidone hydrochloride tablets -treated patients was 2.9% vs. 3.5% for placebo-treated patients. Incidence of EPS by dose is provided in Table 28.

Table 28: Incidence of EPS Compared to Placebo in the Bipolar Depression Study in Pediatric Patients (10 to 17 years)

Adverse Event Term

Placebo

(N=172)

(%)

Lurasidone hydrochloride

20 to 80 mg/day

(N=175)

(%)

All EPS events

5

6

All EPS events, excluding Akathisia/Restlessness

4

3

Akathisia

4

3

Parkinsonism**

<1

<1

Dystonia*

1

<1

Salivary hypersecretion

<1

<1

Psychomotor hyperactivity

0

<1

Tardive Dyskinesia

<1

0

Note: Figures rounded to the nearest integer

  • EPS include adverse event terms: akathisia, cogwheel rigidity, dyskinesia, dystonia, hyperkinesia, joint stiffness, muscle rigidity, muscle spasms, musculoskeletal stiffness, oculogyric crisis, parkinsonism, tardive dyskinesia, and tremor
    ** Parkinsonism includes adverse event terms: bradykinesia, drooling, extrapyramidal disorder, glabellar reflex abnormal, hypokinesia, parkinsonism, and psychomotor retardation
    ***Dystonia includes adverse event terms: dystonia, oculogyric crisis, oromandibular dystonia, tongue spasm, torticollis, and trismus

Schizophrenia

Adults

The mean change from baseline for lurasidone hydrochloride-treated patients for the SAS, BAS and AIMS was comparable to placebo-treated patients, with the exception of the Barnes Akathisia Scale global score (lurasidone hydrochloride, 0.1; placebo, 0.0). The percentage of patients who shifted from normal to abnormal was greater in lurasidone hydrochloride-treated patients and placebo for the BAS (lurasidone hydrochloride, 14.4%; placebo, 7.1%), the SAS (lurasidone hydrochloride, 5.0%; placebo, 2.3%) and the AIMS (lurasidone hydrochloride, 7.4%; placebo, 5.8%).

Adolescents

The mean change from baseline for lurasidone hydrochloride tablets- treated patients with adolescent schizophrenia for the SAS, BAS and AIMS was comparable to placebo-treated patients. The percentage of patients who shifted from normal to abnormal was greater in lurasidone hydrochloride tablets- treated patients and placebo for the BAS (lurasidone hydrochloride tablets, 7.0%; placebo, 1.8%), the SAS (lurasidone hydrochloride tablets, 8.3%; placebo, 2.7%) and the AIMS (lurasidone hydrochloride tablets, 2.8%; placebo, 0.9%).

Bipolar Depression

Adults

Monotherapy

The mean change from baseline for lurasidone hydrochloride tablets-treated adult patients for the SAS, BAS and AIMS was comparable to placebo-treated patients. The percentage of patients who shifted from normal to abnormal was greater in lurasidone hydrochloride-treated patients and placebo for the BAS (lurasidone hydrochloride, 8.4%; placebo, 5.6%), the SAS (lurasidone hydrochloride, 3.7%; placebo, 1.9%) and the AIMS (lurasidone hydrochloride, 3.4%; placebo, 1.2%).

Adjunctive Therapy with Lithium or Valproate

The mean change from baseline for lurasidone hydrochloride tablets-treated adult patients for the SAS, BAS and AIMS was comparable to placebo-treated patients. The percentage of patients who shifted from normal to abnormal was greater in lurasidone hydrochloride-treated patients and placebo for the BAS (lurasidone hydrochloride, 8.7%; placebo, 2.1%), the SAS (lurasidone hydrochloride, 2.8%; placebo, 2.1%) and the AIMS (lurasidone hydrochloride, 2.8%; placebo, 0.6%).

Pediatric Patients (10 to 17 years)

The mean change from baseline for lurasidone hydrochloride tablets- treated pediatric patients 10 to 17 years with bipolar depression for the SAS, BAS and AIMS was comparable to placebo-treated patients. The percentage of patients who shifted from normal to abnormal was greater in lurasidone hydrochloride tablets-treated patients and placebo for the BAS (lurasidone hydrochloride tablets, 4.6%; placebo, 2.4%), the SAS (lurasidone hydrochloride tablets, 0.6%; placebo, 0%) and was the same for the AIMS (lurasidone hydrochloride tablets, 0%; placebo, 0%).

Dystonia

Class Effect: Symptoms of dystonia, prolonged abnormal contractions of muscle groups, may occur in susceptible individuals during the first few days of treatment. Dystonic symptoms include: spasm of the neck muscles, sometimes progressing to tightness of the throat, swallowing difficulty, difficulty breathing, and/or protrusion of the tongue. While these symptoms can occur at low doses, they occur more frequently and with greater severity with high potency and at higher doses of first-generation antipsychotic drugs. An elevated risk of acute dystonia is observed in males and younger age groups.

Schizophrenia

Adults

In the short-term, placebo-controlled schizophrenia clinical studies, dystonia occurred in 4.2% of lurasidone hydrochloride-treated subjects (0.0% lurasidone hydrochloride tablets 20 mg, 3.5% lurasidone hydrochloride tablets 40 mg, 4.5% lurasidone hydrochloride tablets 80 mg, 6.5% lurasidone hydrochloride tablets 120 mg and 2.5% lurasidone hydrochloride tablets 160 mg) compared to 0.8% of subjects receiving placebo. Seven subjects (0.5%, 7/1,508) discontinued clinical trials due to dystonic events – four were receiving lurasidone hydrochloride tablets 80 mg/day and three were receiving lurasidone hydrochloride tablets 120 mg/day.

Adolescents

In the short-term, placebo-controlled, adolescent schizophrenia study, dystonia occurred in 1% of lurasidone hydrochloride tablets-treated patients (1% lurasidone hydrochloride tablets 40 mg and 1% lurasidone hydrochloride tablets 80 mg) compared to 0% of patients receiving placebo. No patients discontinued the clinical study due to dystonic events.

Bipolar Depression

Adults

Monotherapy

In the adult short-term, flexible-dose, placebo-controlled monotherapy bipolar depression study, dystonia occurred in 0.9% of lurasidone hydrochloride- treated subjects (0.0% and 1.8% for lurasidone hydrochloride tablets 20 to 60 mg/day and lurasidone hydrochloride tablets 80 to 120 mg/day, respectively) compared to 0.0% of subjects receiving placebo. No subject discontinued the clinical study due to dystonic events.

Adjunctive Therapy with Lithium or Valproate

In the adult short-term, flexible-dose, placebo-controlled adjunctive therapy bipolar depression studies, dystonia occurred in 1.1% of lurasidone hydrochloride-treated subjects (20 to 120 mg) compared to 0.6% of subjects receiving placebo. No subject discontinued the clinical study due to dystonic events.

Pediatric Patients (10 to 17 years)

In the 6-week, placebo-controlled bipolar depression study in pediatric patients 10 to 17 years, dystonia occurred in 0.6% of lurasidone hydrochloride tablets-treated patients compared to 1.2% of patients receiving placebo. No patients discontinued the clinical study due to dystonic events.

Other Adverse Reactions Observed During the Premarketing Evaluation of Lurasidone Hydrochloride

Following is a list of adverse reactions reported by adult patients treated with lurasidone hydrochloride at multiple doses of ≥20 mg once daily within the premarketing database of 2,905 patients with schizophrenia. The reactions listed are those that could be of clinical importance, as well as reactions that are plausibly drug-related on pharmacologic or other grounds. Reactions listed in Table 19 or those that appear elsewhere in the lurasidone hydrochloride label are not included.

Reactions are further categorized by organ class and listed in order of decreasing frequency according to the following definitions: those occurring in at least 1/100 patients (frequent) (only those not already listed in the tabulated results from placebo-controlled studies appear in this listing); those occurring in 1/100 to 1/1,000 patients (infrequent); and those occurring in fewer than 1/1,000 patients (rare).

Blood and Lymphatic System Disorders:**Infrequent:**anemia

Cardiac Disorders:**Frequent:**tachycardia;**Infrequent:**AV block 1st degree, angina pectoris, bradycardia

Ear and Labyrinth Disorders:**Infrequent:**vertigo

Eye Disorders:**Frequent:**blurred vision

Gastrointestinal Disorders:**Frequent:**abdominal pain, diarrhea; **Infrequent:**gastritis

General Disorders and Administrative Site Conditions:**Rare:**sudden death

Investigations:**Frequent:**CPK increased

Metabolism and Nutritional System Disorders:**Frequent:**decreased appetite

Musculoskeletal and Connective Tissue Disorders:**Rare:**rhabdomyolysis

Nervous System Disorders:**Infrequent:**cerebrovascular accident, dysarthria

Psychiatric Disorders:**Infrequent:**abnormal dreams, panic attack, sleep disorder

Renal and Urinary Disorders:**Infrequent:**dysuria;**Rare:**renal failure

Reproductive System and Breast Disorders:**Infrequent:**amenorrhea, dysmenorrhea;**Rare:**breast enlargement, breast pain, galactorrhea, erectile dysfunction, priapism

Skin and Subcutaneous Tissue Disorders:**Frequent:**rash, pruritus;**Rare: **angioedema

Vascular Disorders:**Frequent:**hypertension

Clinical Laboratory Changes

Schizophrenia

Adults

Serum Creatinine: In short-term, placebo-controlled trials, the mean change from Baseline in serum creatinine was +0.05 mg/dL for lurasidone hydrochloride-treated patients compared to +0.02 mg/dL for placebo-treated patients. A creatinine shift from normal to high occurred in 3.0% (43/1,453) of lurasidone hydrochloride-treated patients and 1.6% (11/681) on placebo. The threshold for high creatinine value varied from >0.79 to >1.3 mg/dL based on the centralized laboratory definition for each study (Table 29).

Table 29: Serum Creatinine Shifts from Normal at Baseline to High at Study End-Point in Adult Schizophrenia Studies

** Laboratory**
** Parameter**

** Placebo**
** (N=708)**

** Lurasidone hydro-chloride**
** 20**
** mg/day**
** (N=71)**

** Lurasidone hydro-chloride**
** 40**
** mg/day**
** (N=487)**

** Lurasidone hydro-chloride**
** 80**
** mg/day**
** (N=538)**

** Lurasidone hydro-chloride**
** 120**
** mg/day**
** (N=291)**

** Lurasidone hydro-chloride**
** 160**
** mg/day**
** (N=121)**

** Serum**
** Creatinine**
** Elevated**

2%

1%

2%

2%

5%

7%

Adolescents

Serum Creatinine: In the short-term, placebo-controlled, adolescent schizophrenia study, the mean change from Baseline in serum creatinine was -0.009 mg/dL for lurasidone hydrochloride tablets-treated patients compared to +0.017 mg/dL for placebo-treated patients. A creatinine shift from normal to high (based on the centralized laboratory definition) occurred in 7.2% (14/194) of lurasidone hydrochloride tablets-treated patients and 2.9% (3/103) on placebo (Table 30).

Table 30: Serum Creatinine Shifts from Normal at Baseline to High at Study End-Point in the Adolescent Schizophrenia Study

** Laboratory Parameter**

** Placebo**

** (N=103)**

** Lurasidone hydro-chloride**

** 40 mg/day**

** (N=97)**

** Lurasidone hydro-chloride**

** 80 mg/day**

** (N=97)**

Serum

Creatinine

Elevated

2.9%

7.2%

7.2%

Bipolar Depression

Adults

Monotherapy

Serum Creatinine: In the adult short-term, flexible-dose, placebo-controlled monotherapy bipolar depression study, the mean change from Baseline in serum creatinine was +0.01 mg/dL for lurasidone hydrochloride-treated patients compared to -0.02 mg/dL for placebo-treated patients. A creatinine shift from normal to high occurred in 2.8% (9/322) of lurasidone hydrochloride-treated patients and 0.6% (1/162) on placebo (Table 31).

Table 31: Serum Creatinine Shifts from Normal at Baseline to High at Study End-Point in the Adult Monotherapy Bipolar Depression Study

** Laboratory Parameter**

** Placebo**
** (N=168)**

** Lurasidone hydrochloride**
** 20 to 60 mg/day**
** (N=164)**

** Lurasidone hydrochloride**
** 80 to 120 mg/day**
** (N=167)**

** Serum Creatinine**
** Elevated**

<1%

2%

4%

Adjunctive Therapy with Lithium or Valproate

Serum Creatinine: In adult short-term, placebo-controlled premarketing adjunctive-studies for bipolar depression, the mean change from Baseline in serum creatinine was +0.04 mg/dL for lurasidone hydrochloride-treated patients compared to -0.01 mg/dL for placebo-treated patients. A creatinine shift from normal to high occurred in 4.3% (15/360) of lurasidone hydrochloride-treated patients and 1.6% (5/334) on placebo (Table 32).

Table 32: Serum Creatinine Shifts from Normal at Baseline to High at Study End-Point in the Adult Adjunctive Therapy Bipolar Depression Studies

** Laboratory Parameter**

** Placebo**
** (N=334)**

** Lurasidone hydrochloride**
** 20 to 120 mg/day**
** (N=360)**

** Serum Creatinine**
** Elevated**

2%

4%

Pediatric Patients (10 to 17 years)

Serum Creatinine: In the 6-week, placebo-controlled bipolar depression study in pediatric patients 10 to 17 years, the mean change from Baseline in serum creatinine was +0.021 mg/dL for lurasidone hydrochloride tablets -treated patients compared to +0.009 mg/dL for placebo-treated patients. A creatinine shift from normal to high (based on the centralized laboratory definition) occurred in 6.7% (11/163) of lurasidone hydrochloride tablets -treated patients and 4.5% (7/155) on placebo (Table 33).

Table 33: Serum Creatinine Shifts from Normal at Baseline to High at Study End-Point in the Bipolar Depression Study in Pediatric Patients (10 to 17 years)

Laboratory Parameter

** Placebo**

** (N=155)**

** Lurasidone hydrochloride**

** 20 to 80 mg/day**

** (N=163)**

Serum Creatinine

Elevated

4.5%

6.7%

Pediatric Patients (6 to 17 years)

In a 104-week, open-label study in pediatric patients with schizophrenia, bipolar depression, or autistic disorder, the mean change from baseline to Week 104 in serum creatinine was +0.07 mg/dL. In patients with a normal serum creatinine at baseline, 6% experienced a shift to high at endpoint.

6.2 Postmarketing Experience

The following adverse reactions have been identified during postapproval use of lurasidone hydrochloride tablets. Because these reactions are reported voluntarily from a population of uncertain size, it is not always possible to reliably estimate their frequency or establish a causal relationship to drug exposure.

Hypersensitivity Reactions: Urticaria, throat swelling, tongue swelling, dyspnea, and rash.

Metabolism and Nutrition Disorders: Hyponatremia

Key Highlight

Commonly observed adverse reactions (incidence ≥ 5% and at least twice the rate for placebo) were ( 6.1):

  • Adult patients with schizophrenia: somnolence, akathisia, extrapyramidal symptoms, and nausea
  • Adolescent patients (13 to 17 years) with schizophrenia: somnolence, nausea, akathisia, EPS (non-akathisia), rhinitis (80mg only), and vomiting
  • Adult patients with bipolar depression: akathisia, extrapyramidal symptoms, and somnolence
  • Pediatric patients (10 to 17 years) with bipolar depression: nausea, weight increase, and insomnia.

To report SUSPECTED ADVERSE REACTIONS, contact Torrent Pharma Inc. at 1-800-912-9561 or FDA at 1-800-FDA-1088 orwww.fda.gov/medwatch.

USE IN SPECIFIC POPULATIONS SECTION

LOINC: 43684-0Updated: 4/3/2025

8 USE IN SPECIFIC POPULATIONS

8.1 Pregnancy

Pregnancy Exposure Registry

There is a pregnancy exposure registry that monitors pregnancy outcomes in women exposed to lurasidone hydrochloride tablets during pregnancy. For more information, contact the National Pregnancy Registry for Atypical Antipsychotics at 1-866-961-2388 or visit http://womensmentalhealth.org/clinical-and-research- programs/pregnancyregistry/.

Risk Summary

Neonates exposed to antipsychotic drugs during the third trimester of pregnancy are at risk for extrapyramidal and/or withdrawal symptoms following delivery [see Clinical Considerations]. There are no studies of lurasidone hydrochloride tablets use in pregnant women. The limited available data are not sufficient to inform a drug-associated risk of birth defects or miscarriage. In animal reproduction studies, no teratogenic effects were seen in pregnant rats and rabbits given lurasidone during the period of organogenesis at doses approximately 1.5- and 6-times, the maximum recommended human dose (MRHD) of 160 mg/day, respectively based on mg/m2 body surface area [see Data].

The estimated background risk of major birth defects and miscarriage for the indicated population(s) is unknown. All pregnancies have a background risk of birth defect, loss or other adverse outcomes. In the U.S. general population, the estimated background risk of major birth defects and miscarriage in clinically recognized pregnancies is 2 to 4% and 15 to 20%, respectively.

Clinical Considerations

Fetal/Neonatal Adverse Reactions

Extrapyramidal and/or withdrawal symptoms, including agitation, hypertonia, hypotonia, tremor, somnolence, respiratory distress and feeding disorder have been reported in neonates who were exposed to antipsychotic drugs during the third trimester of pregnancy. These symptoms have varied in severity. Some neonates recovered within hours or days without specific treatment; others required prolonged hospitalization. Monitor neonates for extrapyramidal and/or withdrawal symptoms and manage symptoms appropriately.

Data

Animal Data

Pregnant rats were treated with oral lurasidone at doses of 3, 10, and 25 mg/kg/day during the period of organogenesis. These doses are 0.2, 0.6, and 1.5 times the MRHD of 160 mg/day based on mg/m2 body surface area. No teratogenic or embryo-fetal effects were observed up to 1.5 times the MRHD of 160 mg/day, based on mg/m 2.

Pregnant rabbits were treated with oral lurasidone at doses of 2, 10, and 50 mg/kg/day during the period of organogenesis. These doses are 0.2, 1.2 and 6 times the MRHD of 160 mg/day based on mg/m2. No teratogenic or embryo-fetal effects were observed up to 6 times the MRHD of 160 mg/day based on mg/m 2.

Pregnant rats were treated with oral lurasidone at doses of 0.4, 2, and 10 mg/kg/day during the periods of organogenesis and lactation. These doses are 0.02, 0.1 and 0.6 times the MRHD of 160 mg/day based on mg/m2. No pre- and postnatal developmental effects were observed up to 0.6 times the MRHD of 160 mg/day, based on mg/m 2.

8.2 Lactation

Risk Summary

Lactation studies have not been conducted to assess the presence of lurasidone in human milk, the effects on the breastfed infant, or the effects on milk production. Lurasidone is present in rat milk. The development and health benefits of breastfeeding should be considered along with the mother's clinical need for lurasidone hydrochloride and any potential adverse effects on the breastfed infant from lurasidone hydrochloride or from the underlying maternal condition.

8.4 Pediatric Use

Schizophrenia

The safety and effectiveness of lurasidone hydrochloride tablets 40-mg/day and 80-mg/day for the treatment of schizophrenia in adolescents (13 to 17 years) was established in a 6-week, placebo-controlled clinical study in 326 adolescent patients [see Dosage and Administration (2.1), Adverse Reactions (6.1), and Clinical Studies (14.1)].

The safety and effectiveness of lurasidone hydrochloride has not been established in pediatric patients less than 13 years of age with schizophrenia.

Bipolar Depression

The safety and effectiveness of lurasidone hydrochloride tablets 20 to 80 mg/day for the treatment of bipolar depression in pediatric patients (10 to 17 years) was established in a 6-week, placebo-controlled clinical study in 347 pediatric patients [see Dosage and Administration (2.2), Adverse Reactions (6.1), and Clinical Studies (14.2)].

The safety and effectiveness of lurasidone hydrochloride has not been established in pediatric patients less than 10 years of age with bipolar depression.

Irritability Associated with Autistic Disorder

The effectiveness of lurasidone hydrochloride in pediatric patients for the treatment of irritability associated with autistic disorder has not been established.

Efficacy was not demonstrated in a 6-week study evaluating lurasidone hydrochloride 20 mg/day and 60 mg/day for the treatment of pediatric patients 6 to 17 years of age with irritability associated with autistic disorder diagnosed by Diagnostic and Statistical Manual of Mental Disorders, 4th Ed., Text Revision [DSM-IV-TR] criteria. The primary objective of the study as measured by improvement from Baseline in the irritability subscale of the Aberrant Behavior Checklist (ABC) at Endpoint (Week 6) was not met. A total of 149 patients were randomized to lurasidone hydrochloride or placebo. Vomiting occurred at a higher rate than reported in other lurasidone hydrochloride studies (4/49 or 8% for 20mg, 14/51 or 27% for 60mg, and 2/49 or 4% for placebo), particularly in children ages 6 to 12 (13 out of 18 patients on lurasidone hydrochloride with vomiting).

In a long-term, open-label study that enrolled pediatric patients (age 6 to 17 years) with schizophrenia, bipolar depression, or autistic disorder from three short-term, placebo-controlled trials, 54% (378/701) received lurasidone for 104 weeks. There was one adverse event in this trial that was considered possibly drug-related and has not been reported in adults receiving lurasidone: a 10 year old male experienced a prolonged, painful erection, consistent with priapism, that led to treatment discontinuation.

In this trial, the mean increase in height from open-label baseline to Week 104 was 4.94 cm. To adjust for normal growth, z-scores were derived (measured in standard deviations [SD]), which normalize for the natural growth of children and adolescents by comparisons to age- and sex-matched population standards. A z-score change <0.5 SD is considered not clinically significant. In this trial, the mean change in height z-score from open-label baseline to Week 104 was +0.05 SD, indicating minimal deviation from the normal growth curve.

Juvenile animal studies

Adverse effects were seen on growth, physical and neurobehavioral development at doses as low as 0.2 times the MRHD based on mg/m 2. Lurasidone was orally administered to rats from postnatal days 21 through 91 (this period corresponds to childhood, adolescence, and young adulthood in humans) at doses of 3, 30, and 150 (males) or 300 (females) mg/kg/day which are 0.2 to 10 times (males) and 20 times (females) the maximum recommended adult human dose (MRHD) of 160 mg/day based on mg/m 2. The adverse effects included dose-dependent decreases in femoral length, bone mineral content, body and brain weights at 2 times the MRHD in both sexes, and motor hyperactivity at 0.2 and 2 times the MRHD in both sexes based on mg/m 2. In females, there was a delay in attainment of sexual maturity at 2 times the MRHD, associated with decreased serum estradiol. Mortality occurred in both sexes during early post- weaning period and some of the male weanlings died after only 4 treatments at doses as low as 2 times the MRHD based on mg/m 2. Histopathological findings included increased colloid in the thyroids and inflammation of the prostate in males at 10 times MRHD based on mg/m 2 and mammary gland hyperplasia, increased vaginal mucification, and increased ovarian atretic follicles at doses as low as 0.2 times the MRHD based on mg/m 2. Some of these findings were attributed to transiently elevated serum prolactin which was seen in both sexes at all doses. However, there were no changes at any dose level in reproductive parameters (fertility, conception indices, spermatogenesis, estrous cycle, gestation length, parturition, number of pups born). The no effect dose for neurobehavioral changes in males is 0.2 times the MRHD based on mg/m 2 and could not be determined in females. The no effect dose for growth and physical development in both sexes is 0.2 times the MRHD based on mg/m 2.

8.5 Geriatric Use

Clinical studies with lurasidone hydrochloride did not include sufficient numbers of patients aged 65 and older to determine whether or not they respond differently from younger patients. In elderly patients with psychosis (65 to 85), lurasidone hydrochloride concentrations (20 mg/day) were similar to those in young subjects. It is unknown whether dose adjustment is necessary on the basis of age alone.

Elderly patients with dementia-related psychosis treated with lurasidone hydrochloride are at an increased risk of death compared to placebo. Lurasidone hydrochloride is not approved for the treatment of patients with dementia-related psychosis [see Boxed Warning, Warnings and Precautions ( 5.1, 5.3)].

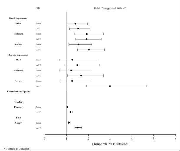
8.6 Renal Impairment

Reduce the maximum recommended dosage in patients with moderate or severe renal impairment (CLcr<50 mL/minute). Patients with impaired renal function (CLcr<50 mL/minute) had higher exposure to lurasidone than patients with normal renal function [ see Clinical Pharmacology ( 12.3) ]. Greater exposure may increase the risk of lurasidone hydrochloride-associated adverse reactions [ see Dosage and Administration ( 2.4) ]

8.7 Hepatic Impairment

Reduce the maximum recommended dosage in patients with moderate to severe hepatic impairment (Child-Pugh score ≥7). Patients with moderate to severe hepatic impairment (Child-Pugh score ≥7) generally had higher exposure to lurasidone than patients with normal hepatic function [ see Clinical Pharmacology ( 12.3) ]. Greater exposure may increase the risk of lurasidone hydrochloride-associated adverse reactions [ see Dosage and Administration ( 2.5) ].

8.8 Other Specific Populations

No dosage adjustment for lurasidone hydrochloride is required on the basis of a patient's sex, race, or smoking status [ see Clinical Pharmacology ( 12.3) ].

Key Highlight

• Pregnancy: May cause extrapyramidal and or/withdrawal symptoms in neonates with third trimester exposure ( 8.1).

OVERDOSAGE SECTION

LOINC: 34088-5Updated: 8/22/2022

10 OVERDOSAGE

10.1 Human Experience

In premarketing clinical studies, accidental or intentional overdosage of lurasidone hydrochloride was identified in one patient who ingested an estimated 560 mg of lurasidone hydrochloride. This patient recovered without sequelae. This patient resumed lurasidone hydrochloride treatment for an additional two months.

10.2 Management of Overdosage

No specific antidotes for lurasidone hydrochloride are known. In managing overdose, provide supportive care, including close medical supervision and monitoring, and consider the possibility of multiple drug involvement. If an overdose occurs, consult a Certified Poison Control Center (1-800-222-1222 or www.poison.org).

Cardiovascular monitoring should commence immediately, including continuous electrocardiographic monitoring for possible arrhythmias. If antiarrhythmic therapy is administered, disopyramide, procainamide, and quinidine carry a theoretical hazard of additive QT-prolonging effects when administered in patients with an acute overdose of lurasidone hydrochloride. Similarly, the alpha-blocking properties of bretylium might be additive to those of lurasidone hydrochloride, resulting in problematic hypotension.

Hypotension and circulatory collapse should be treated with appropriate measures. Epinephrine and dopamine should not be used, or other sympathomimetics with beta-agonist activity, since beta stimulation may worsen hypotension in the setting of lurasidone hydrochloride-induced alpha blockade. In case of severe extrapyramidal symptoms, anticholinergic medication should be administered.

Gastric lavage (after intubation if patient is unconscious) and administration of activated charcoal together with a laxative should be considered.

The possibility of obtundation, seizures, or dystonic reaction of the head and neck following overdose may create a risk of aspiration with induced emesis.

CLINICAL PHARMACOLOGY SECTION

LOINC: 34090-1Updated: 4/3/2025

12 CLINICAL PHARMACOLOGY

12.1 Mechanism of Action

The mechanism of action of lurasidone in the treatment of schizophrenia and bipolar depression is unclear. However, its efficacy in schizophrenia and bipolar depression could be mediated through a combination of central dopamine D2 and serotonin Type 2 (5HT2A) receptor antagonism.

12.2 Pharmacodynamics

Lurasidone is an antagonist with high affinity binding at the dopamine D2 receptors (Ki of 1 nM) and the serotonin 5-HT2A (Ki of 0.5 nM) and 5-HT7 (Ki of 0.5 nM) receptors. It also binds with moderate affinity to the human α2C adrenergic receptors (Ki of 11 nM), is a partial agonist at serotonin 5-HT1A (Ki of 6.4 nM) receptors, and is an antagonist at the α2A adrenergic receptors (Ki of 41 nM). Lurasidone exhibits little or no affinity for histamine H1 and muscarinic M1 receptors (IC50> 1,000 nM).

ECG Changes

The effects of lurasidone hydrochloride on the QTc interval were evaluated in a randomized, double-blind, multiple-dose, parallel-dedicated thorough QT study in 43 patients with schizophrenia or schizoaffective disorder, who were treated with lurasidone hydrochloride doses of 120 mg daily, 600 mg daily and completed the study. The maximum mean (upper 1-sided, 95% CI) increase in baseline-adjusted QTc intervals based on individual correction method (QTcI) was 7.5 (11.7) ms and 4.6 (9.5) ms, for the 120 mg and 600 mg dose groups respectively, observed at 2 to 4 hours after dosing. In this study, there was no apparent dose (exposure)-response relationship.

In short-term, placebo-controlled studies in schizophrenia and bipolar depression, no post-baseline QT prolongations exceeding 500 msec were reported in patients treated with lurasidone hydrochloride or placebo.

12.3 Pharmacokinetics

Adults

The activity of lurasidone hydrochloride is primarily due to the parent drug. The pharmacokinetics of lurasidone hydrochloride is dose-proportional within a total daily dose range of 20 mg to 160 mg. Steady-state concentrations of lurasidone hydrochloride are reached within 7 days of starting lurasidone hydrochloride.

Following administration of 40 mg of lurasidone hydrochloride, the mean (%CV) elimination half-life was 18 (7) hours.

Absorption and Distribution: Lurasidone hydrochloride is absorbed and reaches peak serum concentrations in approximately 1 to 3 hours. It is estimated that 9 to 19% of an administered dose is absorbed. Following administration of 40 mg of lurasidone hydrochloride, the mean (%CV) apparent volume of distribution was 6,173 (17.2) L. Lurasidone hydrochloride is highly bound (~99%) to serum proteins.

In a food effect study, lurasidone hydrochloride mean C max and AUC were about 3-times and 2-times, respectively, when administered with food compared to the levels observed under fasting conditions. Lurasidone hydrochloride exposure was not affected as meal size was increased from 350 to 1,000 calories and was independent of meal fat content [see Dosage and Administration ( 2.3)] .

In clinical studies, establishing the safety and efficacy of lurasidone hydrochloride, patients were instructed to take their daily dose with food [see Dosage and Administration ( 2.3)] .

Metabolism and Elimination: Lurasidone hydrochloride is metabolized mainly via CYP3A4. The major biotransformation pathways are oxidative N-dealkylation, hydroxylation of norbornane ring, and S-oxidation. Lurasidone hydrochloride is metabolized into two active metabolites (ID-14283 and ID-14326) and two major non-active metabolites (ID-20219 and ID-20220). Based on in vitro studies, lurasidone hydrochloride is not a substrate of CYP1A1, CYP1A2, CYP2A6, CYP4A11, CYP2B6, CYP2C8, CYP2C9, CYP2C19, CYP2D6 or CYP2E1 enzymes. Because lurasidone hydrochloride is not a substrate for CYP1A2, smoking is not expected to have an effect on the pharmacokinetics of lurasidone hydrochloride.

Transporter proteins: In vitro studies suggest lurasidone hydrochloride is not a substrate of OATP1B1 or OATP1B3, however, is probably a substrate of P-gp and BCRP. In vitro studies indicate that lurasidone hydrochloride is not expected to inhibit transporters OATP1B1, OATP1B3, OCT1, OCT2, OAT1, OAT3, MATE1, MATE2-K and BSEP at clinically relevant concentrations. Lurasidone hydrochloride is not a clinically significant inhibitor of P-gp. However, it may inhibit BCRP.

Total excretion of radioactivity in urine and feces combined was approximately 89%, with about 80% recovered in feces and 9% recovered in urine, after a single dose of [ 14C]-labeled lurasidone hydrochloride.

Following administration of 40 mg of lurasidone hydrochloride, the mean (%CV) apparent clearance was 3,902 (18.0) mL/min.

Drug Interaction Studies

Effects of other drugs on the exposure of lurasidone are summarized in Figure

  1. A population PK analyses concluded that coadministration of lithum 300 to 2,400 mg/day or valproate 300 to 2,000 mg/day with lurasidone for up to 6 weeks has minimal effect on lurasidone exposure.

And the effects of lurasidone hydrochloride on the exposures of other drugs are summarized in Figure 2. A population PK analyses concluded that coadministration of lurasidone has minimal effect on lithium and valproate exposure when it is coadministered with lithium 300 to 2,400 mg/day or valproate 300 to 2,000 mg/day.

** Figure 1: Impact of Other Drugs on Lurasidone Hydrochloride Pharmacokinetics**

Image

** Figure 2: Impact of Lurasidone Hydrochloride on Other Drugs**

Image

Studies in Specific Populations

The effect of intrinsic patient factors on the pharmacokinetics of lurasidone hydrochloride is presented in Figure 3.

Pediatric Patients

Lurasidone hydrochloride tablets exposure (i.e., steady-state Cmax and AUC) in children and adolescent patients (10 to 17 years of age) was generally similar to that in adults across the dose range from 40 to 160 mg, without adjusting for body weight.

Figure 3: Impact of Other Patient Factors on Lurasidone Hydrochloride Pharmacokinetics

Figure 3: Impact of Other Patient Factors on Lurasidone Hydrochloride Pharmacokinetics

MedPath

Empowering clinical research with data-driven insights and AI-powered tools.

© 2025 MedPath, Inc. All rights reserved.

Lurasidone Hydrochloride - FDA Drug Approval Details