MedPath

APTENSIO XR

These highlights do not include all the information needed to use APTENSIO XR safely and effectively. See full prescribing information for APTENSIO XR. APTENSIO XR (methylphenidate hydrochloride extended-release) capsules, for oral use, CII Initial U.S. Approval: 1955

Approved
Approval ID

5adedc01-ebf0-11e3-ac10-0800200c9a66

Product Type

HUMAN PRESCRIPTION DRUG LABEL

Effective Date

Sep 25, 2025

Manufacturers
FDA

Rhodes Pharmaceuticals L.P.

DUNS: 831928986

Products 7

Detailed information about drug products covered under this FDA approval, including NDC codes, dosage forms, ingredients, and administration routes.

(methylphenidate hydrochloride)

Product Details

FDA regulatory identification and product classification information

FDA Identifiers
NDC Product Code42858-406
Application NumberNDA205831
Product Classification
M
Marketing Category
C73594
G
Generic Name
(methylphenidate hydrochloride)
Product Specifications
Route of AdministrationORAL
Effective DateSeptember 25, 2025
FDA Product Classification

INGREDIENTS (15)

HYPROMELLOSE, UNSPECIFIEDInactive
Code: 3NXW29V3WO
Classification: IACT
SUCROSEInactive
Code: C151H8M554
Classification: IACT
METHYLPHENIDATE HYDROCHLORIDEActive
Quantity: 50 mg in 1 1
Code: 4B3SC438HI
Classification: ACTIB
STARCH, CORNInactive
Code: O8232NY3SJ
Classification: IACT
POLYETHYLENE GLYCOL, UNSPECIFIEDInactive
Code: 3WJQ0SDW1A
Classification: IACT
WATERInactive
Code: 059QF0KO0R
Classification: IACT
AMMONIO METHACRYLATE COPOLYMER TYPE BInactive
Code: 161H3B14U2
Classification: IACT
TRIETHYL CITRATEInactive
Code: 8Z96QXD6UM
Classification: IACT
METHACRYLIC ACID AND ETHYL ACRYLATE COPOLYMERInactive
Code: NX76LV5T8J
Classification: IACT
TALCInactive
Code: 7SEV7J4R1U
Classification: IACT
SILICON DIOXIDEInactive
Code: ETJ7Z6XBU4
Classification: IACT
D&C YELLOW NO. 10Inactive
Code: 35SW5USQ3G
Classification: IACT
TITANIUM DIOXIDEInactive
Code: 15FIX9V2JP
Classification: IACT
FD&C GREEN NO. 3Inactive
Code: 3P3ONR6O1S
Classification: IACT
GELATIN, UNSPECIFIEDInactive
Code: 2G86QN327L
Classification: IACT

(methylphenidate hydrochloride)

Product Details

FDA regulatory identification and product classification information

FDA Identifiers
NDC Product Code42858-405
Application NumberNDA205831
Product Classification
M
Marketing Category
C73594
G
Generic Name
(methylphenidate hydrochloride)
Product Specifications
Route of AdministrationORAL
Effective DateSeptember 25, 2025
FDA Product Classification

INGREDIENTS (16)

METHYLPHENIDATE HYDROCHLORIDEActive
Quantity: 40 mg in 1 1
Code: 4B3SC438HI
Classification: ACTIB
SUCROSEInactive
Code: C151H8M554
Classification: IACT
POLYETHYLENE GLYCOL, UNSPECIFIEDInactive
Code: 3WJQ0SDW1A
Classification: IACT
STARCH, CORNInactive
Code: O8232NY3SJ
Classification: IACT
HYPROMELLOSE, UNSPECIFIEDInactive
Code: 3NXW29V3WO
Classification: IACT
AMMONIO METHACRYLATE COPOLYMER TYPE BInactive
Code: 161H3B14U2
Classification: IACT
METHACRYLIC ACID AND ETHYL ACRYLATE COPOLYMERInactive
Code: NX76LV5T8J
Classification: IACT
TRIETHYL CITRATEInactive
Code: 8Z96QXD6UM
Classification: IACT
TALCInactive
Code: 7SEV7J4R1U
Classification: IACT
D&C RED NO. 28Inactive
Code: 767IP0Y5NH
Classification: IACT
SILICON DIOXIDEInactive
Code: ETJ7Z6XBU4
Classification: IACT
FD&C RED NO. 40Inactive
Code: WZB9127XOA
Classification: IACT
GELATIN, UNSPECIFIEDInactive
Code: 2G86QN327L
Classification: IACT
TITANIUM DIOXIDEInactive
Code: 15FIX9V2JP
Classification: IACT
WATERInactive
Code: 059QF0KO0R
Classification: IACT
FD&C BLUE NO. 1Inactive
Code: H3R47K3TBD
Classification: IACT

(methylphenidate hydrochloride)

Product Details

FDA regulatory identification and product classification information

FDA Identifiers
NDC Product Code42858-407
Application NumberNDA205831
Product Classification
M
Marketing Category
C73594
G
Generic Name
(methylphenidate hydrochloride)
Product Specifications
Route of AdministrationORAL
Effective DateSeptember 25, 2025
FDA Product Classification

INGREDIENTS (14)

METHYLPHENIDATE HYDROCHLORIDEActive
Quantity: 60 mg in 1 1
Code: 4B3SC438HI
Classification: ACTIB
HYPROMELLOSE, UNSPECIFIEDInactive
Code: 3NXW29V3WO
Classification: IACT
SUCROSEInactive
Code: C151H8M554
Classification: IACT
METHACRYLIC ACID AND ETHYL ACRYLATE COPOLYMERInactive
Code: NX76LV5T8J
Classification: IACT
STARCH, CORNInactive
Code: O8232NY3SJ
Classification: IACT
POLYETHYLENE GLYCOL, UNSPECIFIEDInactive
Code: 3WJQ0SDW1A
Classification: IACT
TRIETHYL CITRATEInactive
Code: 8Z96QXD6UM
Classification: IACT
AMMONIO METHACRYLATE COPOLYMER TYPE BInactive
Code: 161H3B14U2
Classification: IACT
TALCInactive
Code: 7SEV7J4R1U
Classification: IACT
WATERInactive
Code: 059QF0KO0R
Classification: IACT
SILICON DIOXIDEInactive
Code: ETJ7Z6XBU4
Classification: IACT
FERROSOFERRIC OXIDEInactive
Code: XM0M87F357
Classification: IACT
TITANIUM DIOXIDEInactive
Code: 15FIX9V2JP
Classification: IACT
GELATIN, UNSPECIFIEDInactive
Code: 2G86QN327L
Classification: IACT

(methylphenidate hydrochloride)

Product Details

FDA regulatory identification and product classification information

FDA Identifiers
NDC Product Code42858-402
Application NumberNDA205831
Product Classification
M
Marketing Category
C73594
G
Generic Name
(methylphenidate hydrochloride)
Product Specifications
Route of AdministrationORAL
Effective DateSeptember 25, 2025
FDA Product Classification

INGREDIENTS (16)

STARCH, CORNInactive
Code: O8232NY3SJ
Classification: IACT
SUCROSEInactive
Code: C151H8M554
Classification: IACT
METHYLPHENIDATE HYDROCHLORIDEActive
Quantity: 15 mg in 1 1
Code: 4B3SC438HI
Classification: ACTIB
HYPROMELLOSE, UNSPECIFIEDInactive
Code: 3NXW29V3WO
Classification: IACT
POLYETHYLENE GLYCOL, UNSPECIFIEDInactive
Code: 3WJQ0SDW1A
Classification: IACT
METHACRYLIC ACID AND ETHYL ACRYLATE COPOLYMERInactive
Code: NX76LV5T8J
Classification: IACT
AMMONIO METHACRYLATE COPOLYMER TYPE BInactive
Code: 161H3B14U2
Classification: IACT
TRIETHYL CITRATEInactive
Code: 8Z96QXD6UM
Classification: IACT
TALCInactive
Code: 7SEV7J4R1U
Classification: IACT
WATERInactive
Code: 059QF0KO0R
Classification: IACT
SILICON DIOXIDEInactive
Code: ETJ7Z6XBU4
Classification: IACT
TITANIUM DIOXIDEInactive
Code: 15FIX9V2JP
Classification: IACT
GELATIN, UNSPECIFIEDInactive
Code: 2G86QN327L
Classification: IACT
D&C RED NO. 28Inactive
Code: 767IP0Y5NH
Classification: IACT
D&C YELLOW NO. 10Inactive
Code: 35SW5USQ3G
Classification: IACT
FD&C RED NO. 40Inactive
Code: WZB9127XOA
Classification: IACT

(methylphenidate hydrochloride)

Product Details

FDA regulatory identification and product classification information

FDA Identifiers
NDC Product Code42858-401
Application NumberNDA205831
Product Classification
M
Marketing Category
C73594
G
Generic Name
(methylphenidate hydrochloride)
Product Specifications
Route of AdministrationORAL
Effective DateSeptember 25, 2025
FDA Product Classification

INGREDIENTS (14)

METHYLPHENIDATE HYDROCHLORIDEActive
Quantity: 10 mg in 1 1
Code: 4B3SC438HI
Classification: ACTIB
SUCROSEInactive
Code: C151H8M554
Classification: IACT
STARCH, CORNInactive
Code: O8232NY3SJ
Classification: IACT
POLYETHYLENE GLYCOL, UNSPECIFIEDInactive
Code: 3WJQ0SDW1A
Classification: IACT
HYPROMELLOSE, UNSPECIFIEDInactive
Code: 3NXW29V3WO
Classification: IACT
AMMONIO METHACRYLATE COPOLYMER TYPE BInactive
Code: 161H3B14U2
Classification: IACT
TALCInactive
Code: 7SEV7J4R1U
Classification: IACT
METHACRYLIC ACID AND ETHYL ACRYLATE COPOLYMERInactive
Code: NX76LV5T8J
Classification: IACT
TRIETHYL CITRATEInactive
Code: 8Z96QXD6UM
Classification: IACT
SILICON DIOXIDEInactive
Code: ETJ7Z6XBU4
Classification: IACT
WATERInactive
Code: 059QF0KO0R
Classification: IACT
FD&C BLUE NO. 1Inactive
Code: H3R47K3TBD
Classification: IACT
GELATIN, UNSPECIFIEDInactive
Code: 2G86QN327L
Classification: IACT
TITANIUM DIOXIDEInactive
Code: 15FIX9V2JP
Classification: IACT

(methylphenidate hydrochloride)

Product Details

FDA regulatory identification and product classification information

FDA Identifiers
NDC Product Code42858-404
Application NumberNDA205831
Product Classification
M
Marketing Category
C73594
G
Generic Name
(methylphenidate hydrochloride)
Product Specifications
Route of AdministrationORAL
Effective DateSeptember 25, 2025
FDA Product Classification

INGREDIENTS (15)

METHYLPHENIDATE HYDROCHLORIDEActive
Quantity: 30 mg in 1 1
Code: 4B3SC438HI
Classification: ACTIB
SUCROSEInactive
Code: C151H8M554
Classification: IACT
HYPROMELLOSE, UNSPECIFIEDInactive
Code: 3NXW29V3WO
Classification: IACT
STARCH, CORNInactive
Code: O8232NY3SJ
Classification: IACT
POLYETHYLENE GLYCOL, UNSPECIFIEDInactive
Code: 3WJQ0SDW1A
Classification: IACT
AMMONIO METHACRYLATE COPOLYMER TYPE BInactive
Code: 161H3B14U2
Classification: IACT
METHACRYLIC ACID AND ETHYL ACRYLATE COPOLYMERInactive
Code: NX76LV5T8J
Classification: IACT
TRIETHYL CITRATEInactive
Code: 8Z96QXD6UM
Classification: IACT
TALCInactive
Code: 7SEV7J4R1U
Classification: IACT
SILICON DIOXIDEInactive
Code: ETJ7Z6XBU4
Classification: IACT
WATERInactive
Code: 059QF0KO0R
Classification: IACT
TITANIUM DIOXIDEInactive
Code: 15FIX9V2JP
Classification: IACT
FD&C BLUE NO. 1Inactive
Code: H3R47K3TBD
Classification: IACT
FD&C RED NO. 3Inactive
Code: PN2ZH5LOQY
Classification: IACT
GELATIN, UNSPECIFIEDInactive
Code: 2G86QN327L
Classification: IACT

(methylphenidate hydrochloride)

Product Details

FDA regulatory identification and product classification information

FDA Identifiers
NDC Product Code42858-403
Application NumberNDA205831
Product Classification
M
Marketing Category
C73594
G
Generic Name
(methylphenidate hydrochloride)
Product Specifications
Route of AdministrationORAL
Effective DateSeptember 25, 2025
FDA Product Classification

INGREDIENTS (15)

METHYLPHENIDATE HYDROCHLORIDEActive
Quantity: 20 mg in 1 1
Code: 4B3SC438HI
Classification: ACTIB
SUCROSEInactive
Code: C151H8M554
Classification: IACT
HYPROMELLOSE, UNSPECIFIEDInactive
Code: 3NXW29V3WO
Classification: IACT
STARCH, CORNInactive
Code: O8232NY3SJ
Classification: IACT
POLYETHYLENE GLYCOL, UNSPECIFIEDInactive
Code: 3WJQ0SDW1A
Classification: IACT
TRIETHYL CITRATEInactive
Code: 8Z96QXD6UM
Classification: IACT
AMMONIO METHACRYLATE COPOLYMER TYPE BInactive
Code: 161H3B14U2
Classification: IACT
SILICON DIOXIDEInactive
Code: ETJ7Z6XBU4
Classification: IACT
METHACRYLIC ACID AND ETHYL ACRYLATE COPOLYMERInactive
Code: NX76LV5T8J
Classification: IACT
WATERInactive
Code: 059QF0KO0R
Classification: IACT
D&C RED NO. 33Inactive
Code: 9DBA0SBB0L
Classification: IACT
TALCInactive
Code: 7SEV7J4R1U
Classification: IACT
D&C YELLOW NO. 10Inactive
Code: 35SW5USQ3G
Classification: IACT
TITANIUM DIOXIDEInactive
Code: 15FIX9V2JP
Classification: IACT
GELATIN, UNSPECIFIEDInactive
Code: 2G86QN327L
Classification: IACT

Drug Labeling Information

PACKAGE LABEL.PRINCIPAL DISPLAY PANEL

LOINC: 51945-4Updated: 9/25/2025

PRINCIPAL DISPLAY PANEL - 60 mg Capsule Bottle Label

NDC 42858-407-45

Aptensio XR™
(methylphenidate HCl
extended-release)
capsules

CII

60 mg

Dispense the accompanying
Medication Guide to each patient.

Rhodes

Once Daily

Rx only
90 Capsules

PRINCIPAL DISPLAY PANEL - 60 mg Capsule Bottle Label

BOXED WARNING SECTION

LOINC: 34066-1Updated: 9/25/2025

WARNING: ABUSE, MISUSE, AND ADDICTION

INDICATIONS & USAGE SECTION

LOINC: 34067-9Updated: 9/25/2025

1 INDICATIONS AND USAGE

APTENSIO XR is indicated for the treatment of Attention Deficit Hyperactivity Disorder (ADHD) in patients 6 years and older [see Clinical Studies (14)].

Limitations of Use

The use of Aptensio XR is not recommended in pediatric patients younger than 6 years of age because they had higher plasma exposure and a higher incidence of adverse reactions(e.g., weight loss) than patients 6 years and older at the same dosage [see Warnings and Precautions (5.7), Use in Specific Populations (8.4)].

Key Highlight

APTENSIO XR is a central nervous system (CNS) stimulant indicated for the treatment of Attention Deficit Hyperactivity Disorder (ADHD) in patients 6 years and older. (1)

Limitations of Use:

The use of Aptensio XR is not recommended in pediatric patients younger than 6 years of age because they had higher plasma exposure and a higher incidence of adverse reactions (e.g., weight loss) than patients 6 years and older at the same dosage. (5.7, 8.4)

CONTRAINDICATIONS SECTION

LOINC: 34070-3Updated: 9/25/2025

4 CONTRAINDICATIONS

  • Hypersensitivity to methylphenidate or other components of the product. Hypersensitivity reactions such as angioedema and anaphylactic reactions have been reported in patients treated with methylphenidate products [see Adverse Reactions (6.1)].
  • Concomitant treatment with monoamine oxidase inhibitors, and also within 14 days following discontinuation of treatment with a monoamine oxidase inhibitor, because of the risk of hypertensive crisis [see Drug Interactions (7.1)].
Key Highlight
  • Known hypersensitivity to methylphenidate or product components. (4)
  • Concurrent treatment with a monoamine oxidase inhibitor (MAOI), or use of an MAOI within the preceding 14 days. (4)

WARNINGS AND PRECAUTIONS SECTION

LOINC: 43685-7Updated: 9/25/2025

5 WARNINGS AND PRECAUTIONS

5.1 Abuse, Misuse, and Addiction

APTENSIO XR has a high potential for abuse and misuse. The use of APTENSIO XR exposes individuals to the risks of abuse and misuse, which can lead to the development of a substance use disorder, including addiction. APTENSIO XR can be diverted for non-medical use into illicit channels or distribution [see Drug Abuse and Dependence (9.2)]. Misuse and abuse of CNS stimulants, including APTENSIO XR, can result in overdose and death [see Overdosage (10)], and this risk is increased with higher doses or unapproved methods of administration, such as snorting or injection.

Before prescribing APTENSIO XR, assess each patient's risk for abuse, misuse, and addiction. Educate patients and their families about these risks and proper disposal of any unused drug. Advise patients to store APTENSIO XR in a safe place, preferably locked, and instruct patients to not give APTENSIO XR to anyone else. Throughout APTENSIO XR treatment, reassess each patient's risk of abuse, misuse, and addiction and frequently monitor for signs and symptoms of abuse, misuse, and addiction.

5.2 Risks to Patients with Serious Cardiac Disease

Sudden death has been reported in patients with structural cardiac abnormalities or other serious cardiac disease who were treated with CNS stimulants at the recommended ADHD dosage.

Avoid APTENSIO XR use in patients with known structural cardiac abnormalities, cardiomyopathy, serious heart arrhythmia, coronary artery disease, or other serious cardiac disease.

5.3 Increased Blood Pressure and Heart Rate

CNS stimulants cause an increase in blood pressure (mean increase approximately 2 to 4 mmHg) and heart rate (mean increase approximately 3 to 6 bpm). Some patients may have larger increases.

Monitor all APTENSIO XR-treated patients for hypertension and tachycardia.

5.4 Psychiatric Adverse Reactions

Exacerbation of Pre-Existing Psychosis

CNS stimulants may exacerbate symptoms of behavior disturbance and thought disorder in patients with a pre-existing psychotic disorder.

Induction of a Manic Episode in Patients with Bipolar Disorder

CNS stimulants may induce a manic or mixed episode in patients. Prior to initiating APTENSIO XR treatment, screen patients for risk factors for developing a manic episode (e.g., comorbid or history of depressive symptoms or a family history of suicide, bipolar disorder, or depression).

New Psychotic or Manic Symptoms

CNS stimulants, at the recommended dosage, may cause psychotic or manic symptoms (e.g., hallucinations, delusional thinking, or mania) in patients without a prior history of psychotic illness or mania. In a pooled analysis of multiple short-term, placebo-controlled studies of CNS stimulants, psychotic or manic symptoms occurred in approximately 0.1% of CNS stimulant-treated patients, compared to 0% of placebo-treated patients. If such symptoms occur, consider discontinuing APTENSIO XR.

5.5 Priapism

Prolonged and painful erections, sometimes requiring surgical intervention, have been reported with methylphenidate use, in both adult and pediatric male patients. Although priapism was not reported with methylphenidate initiation, it developed after some time on methylphenidate, often subsequent to an increase in dosage. Priapism also occured during methylphenidate withdrawal (drug holidays or during discontinuation).

APTENSIO XR patients who develop abnormally sustained or frequent and painful erections should seek immediate medical attention.

5.6 Peripheral Vasculopathy, including Raynaud's Phenomenon

CNS stimulants, including APTENSIO XR, used to treat ADHD are associated with peripheral vasculopathy, including Raynaud's phenomenon. Signs and symptoms are usually intermittent and mild; however, sequelae have included digital ulceration and/or soft tissue breakdown. Effects of peripheral vasculopathy, including Raynaud's phenomenon, were observed in post-marketing reports and at the therapeutic dosages of CNS stimulants in all age groups throughout the course of treatment. Signs and symptoms generally improved after dosage reduction or discontinuation of the CNS stimulant.

Careful observation for digital changes is necessary during APTENSIO XR treatment. Further clinical evaluation (e.g., rheumatology referral) may be appropriate for APTENSIO XR-treated patients who develop signs or symptoms of peripheral vasculopathy.

5.7 Long-Term Suppression of Growth in Pediatric Patients

APTENSIO XR is not approved for use and is not recommended in pediatric patients below 6 years of age [see Use in Specific Populations (8.4)].

CNS stimulants have been associated with weight loss and slowing of growth rate in pediatric patients.

Careful follow-up of weight and height in pediatric patients ages 7 to 10 years who were randomized to either methylphenidate or non-medication treatment groups over 14 months, as well as in naturalistic subgroups of newly methylphenidate-treated and non-medication treated pediatric patients over 36 months (to the ages of 10 to 13 years), suggests that pediatric patients who received methylphenidate for 7 days per week throughout the year had a temporary slowing in growth rate (on average, a total of about 2 cm less growth in height and 2.7 kg less growth in weight over 3 years), without evidence of growth rebound during this development period.

Closely monitor growth (weight and height) in APTENSIO XR-treated pediatric patients. Pediatric patients who are not growing or gaining height or weight as expected may need to have their treatment interrupted.

5.8 Acute Angle Closure Glaucoma

There have been reports of angle closure glaucoma associated with methylphenidate treatment.

Although the mechanism is not clear, APTENSIO XR-treated patients considered at risk for acute angle closure glaucoma (e.g., patients with significant hyperopia) should be evaluated by an ophthalmologist.

5.9 Increased Intraocular Pressure and Glaucoma

There have been reports of an elevation of intraocular pressure (IOP) associated with methylphenidate treatment [see Adverse Reactions (6.2)].

Prescribe APTENSIO XR to patients with open-angle glaucoma or abnormally increased IOP only if the benefit of treatment is considered to outweigh the risk. Closely monitor APTENSIO XR-treated patients with a history of abnormally increased IOP or open angle glaucoma.

5.10 Motor and Verbal Tics, and Worsening of Tourette's Syndrome

CNS stimulants, including methylphenidate, have been associated with the onset or exacerbation of motor and verbal tics. Worsening of Tourette's syndrome has also been reported [see Adverse Reactions (6.2)].

Before initiating APTENSIO XR, assess the family history and clinically evaluate patients for tics or Tourette's syndrome. Regularly monitor APTENSIO XR-treated patients for the emergence or worsening of tics or Tourette's syndrome, and discontinue treatment if clinically appropriate.

Key Highlight
  • Risks to Patients with Serious Cardiac Disease: Avoid use in patients with known structural cardiac abnormalities, cardiomyopathy, serious cardiac arrhythmias, coronary artery disease, or other serious cardiac disease. (5.2)
  • Increased Blood Pressure and Heart Rate: Monitor blood pressure and pulse. (5.3)
  • Psychiatric Adverse Reactions: Prior to initiating APTENSIO XR, screen patients for risk factors for developing a manic episode. If new psychotic or manic symptoms occur, consider discontinuing APTENSIO XR. (5.4)
  • Priapism: If abnormally sustained or frequent and painful erections occur, patients should seek immediate medical attention. (5.5)
  • Peripheral Vasculopathy, including Raynaud's Phenomenon: Careful observation for digital changes is necessary during APTENSION XR treatment. Further clinical evaluation (e.g., rheumatology referral) may be appropriate for patients who develop signs or symptoms of peripheral vasculopathy. (5.6)
  • Long-Term Suppression of Growth in Pediatric Patients: Closely monitor growth (height and weight) in pediatric patients. Pediatric patients not growing or gaining height or weight as expected may need to have their treatment interrupted. (5.7)
  • Acute Angle Closure Glaucoma: APTENSIO XR-treated patients considered at risk for acute angle closure glaucoma (e.g., patients with significant hyperopia) should be evaluated by an ophthalmologist. (5.8)
  • Increased Intraocular Pressure (IOP) and Glaucoma: Prescribe APTENSIO XR to patients with open-angle glaucoma or abnormally increased IOP only if the benefit of treatment is considered to outweigh the risk. Closely monitor patients with a history of increased IOP or open angle glaucoma. (5.9)
  • Motor and Verbal Tics, and Worsening of Tourette's Syndrome: Before initiating APTENSIO XR, assess the family history and clinically evaluate patients for tics or Tourette's syndrome. Regularly monitor patients for the emergence or worsening of tics or Tourette's syndrome. Discontinue treatment if clinically appropriate. (5.10)

ADVERSE REACTIONS SECTION

LOINC: 34084-4Updated: 9/25/2025

6 ADVERSE REACTIONS

The following are discussed in more detail in other sections of the labeling:

  • Abuse, Misuse, and Addiction [see Boxed Warning, Warnings and Precautions (5.1), and Drug Abuse and Dependence (9.2, 9.3)]
  • Hypersensitivity to Methylphenidate [see Contraindications (4)]
  • Hypertensive Crisis with Concomitant Use of Monoamine Oxidase Inhibitors [see Contraindications (4) and Drug Interactions (7.1)]
  • Risks to Patients with Serious Cardiac Disease [see Warnings and Precautions (5.2)]
  • Increased Blood Pressure and Heart Rate [see Warnings and Precautions (5.3)]
  • Psychiatric Adverse Reactions [see Warnings and Precautions (5.4)]
  • Priapism [see Warnings and Precautions (5.5)]
  • Peripheral Vasculopathy, including Raynaud's Phenomenon [see Warnings and Precautions (5.6)]
  • Long-Term Suppression of Growth in Pediatric Patients [see Warnings and Precautions (5.7)]
  • Acute Angle Closure Glaucoma [see Warnings and Precautions (5.8)]
  • Increased Intraocular Pressure and Glaucoma [see Warnings and Precautions (5.9)]
  • Motor and Verbal Tics, and Worsening of Tourette's Syndrome [see Warnings and Precautions (5.10)]

6.1 Clinical Trials Experience

Because clinical trials are conducted under widely varying conditions, adverse reaction rates observed in the clinical trials of a drug cannot be directly compared to rates in the clinical trials of another drug and may not reflect the rates observed in clinical practice.

Adverse Reactions in Studies with Other Methylphenidate Products in Children, Adolescents, and Adults with ADHD

Commonly reported (≥2% of the methylphenidate group and at least twice the rate of the placebo group) adverse reactions from placebo-controlled trials of methylphenidate products include: decreased appetite, decreased weight, nausea, abdominal pain, dyspepsia, dry mouth, vomiting, insomnia, anxiety, nervousness, restlessness, affect lability, agitation, irritability, dizziness, vertigo, tremor, blurred vision, increased blood pressure, increased heart rate, tachycardia, palpitations, hyperhidrosis, and pyrexia.

Adverse Reactions in Studies with APTENSIO XR in Pediatric Patients with ADHD

The safety data in this section is based on data from two one-week controlled clinical studies of APTENSIO XR in pediatric patients with ADHD, one in children ages 6 to 12 years (RP-BP-EF001, hereafter "Study 1"), and one in children and adolescents ages 6 to 17 years (RP-BP-EF002, hereafter "Study 2").

Two APTENSIO XR clinical studies evaluated a total of 256 patients with ADHD. Two hundred and forty-three (243) patients participated in the double-blind phase of these two clinical studies.

Study 1 was a randomized, double-blind, single center, placebo-controlled, flexible-dose, cross-over study to evaluate the time of onset, duration of efficacy, tolerability and safety of APTENSIO XR 15 mg, 20 mg, 30 mg, or 40 mg administered for one week in 26 pediatric patients aged 6 to 12 years who met DSM-IV criteria for ADHD [see Clinical Studies (14)].

Most Common Adverse Reactions (incidence of ≥ 5% and at a rate at least twice placebo): abdominal pain, pyrexia and headache.

Adverse Reactions Leading to Discontinuation: No subjects discontinued due to adverse reactions during the double-blind phase of this study.

Study 2 was a randomized, double-blind, multicenter, placebo-controlled, parallel group, fixed-dose study of 10 mg, 15 mg, 20 mg, and 40 mg of APTENSIO XR administered for one week in 221 pediatric patients (6 to 17 years of age) who met DSM-IV criteria for ADHD [see Clinical Studies (14)].

Most Common Adverse Reactions (incidence of ≥ 5% and at a rate of at least twice placebo): abdominal pain, decreased appetite, headache and insomnia.

Adverse Reactions Leading to Discontinuation: Two patients (4.4%) in the APTENSIO XR 40 mg group discontinued due to insomnia, nausea and rapid heart rate, respectively during the double-blind phase of the study.

Table 1: Common Adverse Reactions Occurring in ≥ 2% of Pediatric Patients (6 to 17 years of age) with ADHD Taking APTENSIO XR and at a Rate Greater than Placebo (Study 2)

System Organ Class
Adverse Reaction

Aptensio XR
(n=183)

Placebo
(n=47)

Nervous System Disorders

Headache

10.9%

8.5%

Insomnia

9.8%

2.1%

Dizziness

2.2%

2.1%

Gastrointestinal Disorders

Abdominal pain upper

8.2%

0%

Nausea

3.8%

2.1%

Vomiting

3.8%

0%

Metabolism and Nutritional

Decreased Appetite

4.9%

0%

6.2 Post-Marketing Experience

The following adverse reactions have been identified during post approval use of methylphenidate products. Because these reactions are reported voluntarily from a population of uncertain size, it is not possible to reliably estimate their frequency or establish a causal relationship to drug exposure. These adverse reactions are as follows:

Blood and Lymphatic System Disorders: Pancytopenia, Thrombocytopenia, Thrombocytopenic purpura

Cardiac Disorders: Angina pectoris, Bradycardia, Extrasystole, Supraventricular tachycardia, Ventricular extrasystole

Eye Disorders: Diplopia, Increased intraocular pressure, Mydriasis, Visual impairment

General Disorders: Chest pain, Chest discomfort, Hyperpyrexia

Immune System Disorders: Hypersensitivity reactions such as Angioedema, Anaphylactic reactions, Auricular swelling, Bullous conditions, Exfoliative conditions, Urticarias, Pruritus NEC, Rashes, Eruptions, and Exanthems NEC

Investigations: Alkaline phosphatase increased, Bilirubin increased, Hepatic enzyme increased, Platelet count decreased, White blood cell count abnormal, severe hepatic injury

Musculoskeletal, Connective Tissue and Bone Disorders: Arthralgia, Myalgia, Muscle twitching, Rhabdomyolysis

Nervous System: Convulsion, Grand mal convulsion, Dyskinesia, serotonin syndrome in combination with serotonergic drugs, Motor and Verbal Tics

Psychiatric Disorders: Disorientation, Libido changes

Skin and Subcutaneous Tissue Disorders: Alopecia, Erythema

Key Highlight

The most common adverse reactions in double-blind clinical trials (> 5% and twice the rate of placebo) in pediatric patients 6 to 17 years were abdominal pain, decreased appetite, headache and insomnia. (6.1)

To report SUSPECTED ADVERSE REACTIONS, contact Rhodes Pharmaceuticals at (1-888-827-0616); or FDA at 1-800-FDA-1088 or www.fda.gov/medwatch

DRUG INTERACTIONS SECTION

LOINC: 34073-7Updated: 9/25/2025

7 DRUG INTERACTIONS

7.1 Clinically Important Interactions with APTENSIO XR

Monoamine Oxidase Inhibitors (MAOIs)

Do not administer APTENSIO XR concomitantly or within 14 days after discontinuing MAOI treatment. Concomitant use of MAOIs and CNS stimulants can cause hypertensive crisis. Potential outcomes include death, stroke, myocardial infarction, aortic dissection, ophthalmological complications, eclampsia, pulmonary edema, and renal failure [see Contraindications (4)].

Antihypertensive Drugs

Aptensio XR may decrease the effectiveness of drugs used to treat hypertension. Monitor blood pressure and adjust the dosage of the antihypertensive drug as needed [see Warnings and Precautions (5.3)].

Halogenated Anesthetics

Concomitant use of halogenated anesthetics and APTENSIO XR may increase the risk of sudden blood pressure and heart rate increase during surgery. Avoid use of APTENSIO XR in patients being treated with anesthetics on the day of surgery.

Risperidone

Combined use of methylphenidate with risperidone when there is a change, whether an increase or decrease, in dosage of either or both medications, may increase the risk of extrapyramidal symptoms (EPS). Monitor for signs of EPS.

Key Highlight

Antihypertensive Drugs: Monitor blood pressure. Adjust dosage of antihypertensive drug as needed. (7)

RECENT MAJOR CHANGES SECTION

LOINC: 43683-2Updated: 9/25/2025

RECENT MAJOR CHANGES

Indications and Usage (1)

09/2025

Warnings and Precautions (5.7)

09/2025

DOSAGE & ADMINISTRATION SECTION

LOINC: 34068-7Updated: 9/25/2025

2 DOSAGE AND ADMINISTRATION

2.1 Pretreatment Screening

Prior to treating patients with APTENSIO XR, assess:

  • for the presence of cardiac disease (i.e., perform a careful history, family history of sudden death or ventricular arrhythmia, and physical exam) [see Warnings and Precautions 5.2].
  • the family history and clinically evaluate patients for motor or verbal tics or Tourette's syndrome before initiating APTENSIO XR [see Warnings and Precautions (5.10)].

2.2 Recommended Dosage

The recommended starting dose of APTENSIO XR in patients 6 years and older is 10 mg once daily orally in the morning with or without food. Advise patients to establish a routine pattern with regard to meals. The dose should be individualized according to the needs and response of the patient.

The dose may be titrated weekly in increments of 10 mg. Daily doses above 60 mg have not been studied and are not recommended.

2.3 Administration Instructions

APTENSIO XR may be taken whole or the capsule may be opened and the entire contents sprinkled onto applesauce. If the patient is using the sprinkled administration method, the sprinkled applesauce should be consumed immediately; it should not be stored. Patients should take the applesauce with sprinkled beads in its entirety without chewing. The dose of a single capsule should not be divided. The contents of the entire capsule should be taken, and patients should not take anything less than one capsule per day.

2.4 Dosage Reduction and Discontinuation

If paradoxical aggravation of symptoms or other adverse reactions occur; the dosage should be reduced, or, if necessary, discontinue APTENSIO XR.

If improvement is not observed after appropriate dosage adjustment over a one- month period, discontinue APTENSIO XR.

Key Highlight
  • Recommended starting dose for patients 6 years and older: 10 mg once daily with or without food in the morning. Dosage may be increased weekly in increments of 10 mg per day. Daily dosage above 60 mg is not recommended. (2.1)
  • Capsules may be swallowed whole or opened and the entire contents sprinkled onto applesauce. (2.1)

DOSAGE FORMS & STRENGTHS SECTION

LOINC: 43678-2Updated: 9/25/2025

3 DOSAGE FORMS AND STRENGTHS

*10 mg Extended-Release Capsules – light turquoise blue cap/white body
(imprinted with "APTENSIO XR" on cap and "10 mg" on the body)

*15 mg Extended-Release Capsules – orange cap/white body
(imprinted with "APTENSIO XR" on cap and "15 mg" on the body)

*20 mg Extended-Release Capsules – yellow cap/white body
(imprinted with "APTENSIO XR" on cap and "20 mg" on the body)

*30 mg Extended-Release Capsules – blue violet cap/white body
(imprinted with "APTENSIO XR" on cap and "30 mg" on the body)

*40 mg Extended-Release Capsules – pink cap/white body
(imprinted with "APTENSIO XR" on cap and "40 mg" on the body)

*50 mg Extended-Release Capsules – green cap/white body
(imprinted with "APTENSIO XR" on cap and "50 mg" on the body)

*60 mg Extended-Release Capsules – gray cap/white body
(imprinted with "APTENSIO XR" on cap and "60 mg" on the body)

Key Highlight

Extended-release capsules: 10 mg, 15 mg, 20 mg, 30 mg, 40 mg, 50 mg, and 60 mg of methylphenidate hydrochloride, which is equivalent to 8.6 mg, 13.0 mg, 17.3 mg, 25.9 mg, 34.6 mg, 43.2 mg, and 51.9 mg of methylphenidate free base, respectively, per capsule. (3)

USE IN SPECIFIC POPULATIONS SECTION

LOINC: 43684-0Updated: 9/25/2025

8 USE IN SPECIFIC POPULATIONS

8.1 Pregnancy

Pregnancy Exposure Registry

There is a pregnancy exposure registry that monitors pregnancy outcomes in women exposed to APTENSIO XR during pregnancy. Healthcare providers are encouraged to register patients by calling the National Pregnancy Registry for Psychostimulants at 1-866-961-2388.

Risk Summary

Limited published studies report on the use of methylphenidate in pregnant women; however, the data are insufficient to inform any drug-associated risks. No effects on morphological development were observed in embryo-fetal development studies with oral administration of methylphenidate to pregnant rats and rabbits during organogenesis at doses up to 10 and 15 times, respectively, the maximum recommended human dose (MRHD) of 60 mg/day given to adolescents on a mg/m2 basis. However, spina bifida was observed in rabbits at a dose 52 times the MRHD given to adolescents. A decrease in pup body weight was observed in a pre- and post-natal development study with oral administration of methylphenidate to rats throughout pregnancy and lactation at the highest dose of 60 mg/kg/day (6 times the MRHD given to adolescents) [see Data]. The background risk of major birth defects and miscarriage for the indicated population are unknown. However, the background risk in the U.S. general population of major birth defects is 2% to 4% and of miscarriage is 15% to 20% of clinically recognized pregnancies.

Clinical Considerations

Fetal/Neonatal adverse reactions

CNS stimulants, such as APTENSIO XR, can cause vasoconstriction and thereby decrease placental perfusion. No fetal and/or neonatal adverse reactions have been reported with the use of therapeutic doses of methylphenidate during pregnancy; however, premature delivery and low birth weight infants have been reported in amphetamine-dependent mothers.

Data

Animal Data

In embryo-fetal development studies conducted in rats and rabbits, methylphenidate was administered orally at doses of up to 75 and 200 mg/kg/day, respectively, during the period of organogenesis. Malformations (increased incidence of fetal spina bifida) were observed in rabbits at the highest dose, which is approximately 52 times the maximum recommended human dose (MRHD) of 60 mg/day given to adolescents on a mg/m2 basis. The no effect level for embryo-fetal development in rabbits was 60 mg/kg/day (15 times the MRHD given to adolescents on a mg/m2 basis). There was no evidence of morphological development effects in rats, although increased incidences of fetal skeletal variations were seen at the highest dose level (10 times the MRHD of 60 mg/day given to adolescents on a mg/m2 basis), which was also maternally toxic. The no effect level for embryo-fetal development in rats was 25 mg/kg/day (2 times the MRHD on a mg/m2 basis). When methylphenidate was administered to rats throughout pregnancy and lactation at doses of up to 45 mg/kg/day, offspring body weight gain was decreased at the highest dose (6 times the MRHD of 60 mg/day given to adolescents on a mg/m2 basis), but no other effects on postnatal development were observed. The no effect level for pre- and postnatal development in rats was 15 mg/kg/day (1.5 times the MRHD given to adolescents on a mg/m2 basis).

8.2 Lactation

Risk Summary

Limited published literature, based on breast milk sampling from five mothers, reports that methylphenidate is present in human milk, which resulted in infant doses of 0.16% to 0.7% of the maternal weight-adjusted dosage and a milk/plasma ratio ranging between 1.1 and 2.7. There are no reports of adverse effects on the breastfed infant and no effects on milk production. However, long-term neurodevelopmental effects on infants from stimulant exposure are unknown. The developmental and health benefits of breastfeeding should be considered along with the mother's clinical need for APTENSIO XR and any potential adverse effects on the breastfed infant from APTENSIO XR or from the underlying maternal condition.

Clinical Considerations

Monitor breastfeeding infants for adverse reactions, such as agitation, anorexia, and reduced weight gain.

8.4 Pediatric Use

The safety and effectiveness of APTENSIO XR have not been established in pediatric patients below the age of 6 years.

Safety and efficacy of APTENSIO XR were evaluated in a multicenter, placebo- controlled, double-blind, parallel group study in 119 children 4 to <6 years of age with ADHD followed by a 12-month open-label extension in 44 of these children. In these studies, patients experienced high rates of adverse reactions, most notably weight loss. Comparing weights prior to initiation of APTENSIO XR (in the safety and efficacy study) to weights after 12 months of treatment (in the open-label extension), 20 of 39 patients with data (50%) had lost enough weight to decrease 10 or more percentiles on a Centers for Disease Control growth chart for weight. In addition, systemic drug exposures in patients 4 to <6 years of age were higher than those observed in older children and adolescents at the same dose (2 to 3 fold higher Cmax and AUC). Therefore, the benefits of APTENSIO XR do not outweigh the risks in pediatric patients 4 to <6 years of age.

The safety and effectiveness of APTENSIO XR have been established in pediatric patients ages 6 to 17 years in two adequate and well-controlled clinical trials [see Clinical Studies (14)].

Long Term Suppression of Growth

Growth should be monitored during treatment with stimulants, including APTENSIO XR. Pediatric patients who are not growing or gaining weight as expected may need to have their treatment interrupted [see Warnings and Precautions (5.7)].

Juvenile Animal Toxicity Data

Rats treated with methylphenidate early in the postnatal period through sexual maturation demonstrated a decrease in spontaneous locomotor activity in adulthood. A deficit in acquisition of a specific learning task was observed in females only. The doses at which these findings were observed are at least 6 times the maximum recommended human dose (MRHD) of 60 mg/day given to children on a mg/m2 basis.

In the study conducted in young rats, methylphenidate was administered orally at doses of up to 100 mg/kg/day for 9 weeks, starting early in the postnatal period (postnatal day 7) and continuing through sexual maturity (postnatal week 10). When these animals were tested as adults (postnatal weeks 13-14), decreased spontaneous locomotor activity was observed in males and females previously treated with 50 mg/kg/day (approximately 6 times the MRHD of 60 mg/day given to children on a mg/m2 basis) or greater, and a deficit in the acquisition of a specific learning task was observed in females exposed to the highest dose (8 times the MRHD given to children on a mg/m2 basis). The no effect level for juvenile neurobehavioral development in rats was 5 mg/kg/day (approximately 0.5 times the MRHD given to children on a mg/m2 basis). The clinical significance of the long-term behavioral effects observed in rats is unknown.

8.5 Geriatric Use

Clinical trials of APTENSIO XR did not include any patients aged 65 years and over. In general, dose selection for an elderly patient start at the low end of the dosing range, reflecting the greater frequency of decreased hepatic, renal, or cardiac function and of concomitant disease or other drug therapy.

OVERDOSAGE SECTION

LOINC: 34088-5Updated: 9/25/2025

10 OVERDOSAGE

Clinical Effects of Overdose

Overdose of CNS stimulants is characterized by the following sympathomimetic effects:

  • Cardiovascular effects including tachyarrhythmias, and hypertension or hypotension. Vasospasm, myocardial infarction, or aortic dissection may precipitate sudden cardiac death. Takotsubo cardiomyopathy may develop.
  • CNS effects including psychomotor agitation, confusion, and hallucinations. Serotonin syndrome, seizures, cerebral vascular accidents, and coma may occur.
  • Life-threatening hyperthermia (temperatures greater than 104°F) and rhabdomyolysis may develop.

Overdose Management

Consider the possibility of multiple drug ingestion. The pharmacokinetic profile of APTENSIO XR should be considered when treating patients with overdose. Because methylphenidate has a large volume of distribution and is rapidly metabolized, dialysis is not useful. Consider contacting the Poison Help line (1-800-222-1222) or a medical toxicologist for additional overdose management recommendations.

DESCRIPTION SECTION

LOINC: 34089-3Updated: 9/25/2025

11 DESCRIPTION

APTENSIO XR contains methylphenidate hydrochloride, a central nervous system (CNS) stimulant. APTENSIO XR capsules contain multi layered beads, which are composed of an immediate-release layer which contains approximately 40% of the methylphenidate dose, and a controlled release layer which contains approximately 60% of the methylphenidate dose. APTENSIO XR is available in seven capsule strengths. Each extended-release capsule for once-a-day oral administration contains 10 mg, 15 mg, 20 mg, 30 mg, 40 mg, 50 mg, or 60 mg of methylphenidate HCl USP, which is equivalent to 8.6 mg, 13.0 mg, 17.3 mg, 25.9 mg, 34.6 mg, 43.2 mg, or 51.9 mg of methylphenidate free base, respectively. Chemically, methylphenidate HCl is d,l (racemic) methyl α-phenyl-2-piperidineacetate hydrochloride. Its molecular formula is C14H19NO2∙HCl. Its structural formula is:

Chemical Structure

Methylphenidate hydrochloride USP is a white to off-white, odorless, fine crystalline powder. Its solutions are acid to litmus. It is freely soluble in water and in methanol, soluble in alcohol, and slightly soluble in chloroform and in acetone. Its molecular weight is 269.77.

Inactive Ingredients: ammonio methacrylate copolymer, type B; colloidal silicon dioxide (added if necessary); gelatin; hypromelloses; methacrylic acid copolymer, type C; polyethylene glycol; sugar spheres; talc; titanium oxide; and triethyl citrate.

Each strength capsule also contains colorant ingredients in the capsule shell as follows:

10 mg: FD&C Blue No. 1

15 mg: D&C Red No. 28, D&C Yellow No. 10, FD&C Red No. 40

20 mg: D&C Red No. 33, D&C Yellow No. 10

30 mg: FD&C Blue No. 1, FD&C Red No. 3

40 mg: D&C Red No. 28, FD&C Blue No. 1, FD&C Red No. 40

50 mg: D&C Yellow No. 10, FD&C Green No. 3

60 mg: Black Iron Oxide

CLINICAL PHARMACOLOGY SECTION

LOINC: 34090-1Updated: 9/25/2025

12 CLINICAL PHARMACOLOGY

12.1 Mechanism of Action

Methylphenidate HCl is a central nervous system (CNS) stimulant. The mode of therapeutic action in ADHD is not known.

12.2 Pharmacodynamics

Methylphenidate is a racemic mixture comprised of the d- and l-isomers. The d-isomer is more pharmacologically active than the l-isomer. Methylphenidate blocks the reuptake of norepinephrine and dopamine into the presynaptic neuron and increase the release of these monoamines into the extraneuronal space.

12.3 Pharmacokinetics

Absorption

Following oral administration of APTENSIO XR in adults, plasma methylphenidate concentrations increase rapidly, reaching an initial maximum at about 2 hours, followed by gradual descending concentrations over the next 4 to 6 hours, after which a gradual increase begins, reaching a second peak at approximately 8 hours (Figure 1). The relative bioavailability of APTENSIO XR given once daily as compared to a methylphenidate immediate-release oral product given three times daily in adults is comparable. The relative bioavailability is 102%.

The pharmacokinetic profiles and parameters of methylphenidate are similar when APTENSIO XR is administered either as a whole capsule or sprinkled onto applesauce in subjects under fasting conditions (see Table 2 and Figure 1).

Table 2: The Single Dose Pharmacokinetics of d,l-Methylphenidate* ER Capsule and Sprinkle following an Oral Dose of 80 mg APTENSIO XR under Fasted Conditions in Healthy Adults

Pharmacokinetic Parameters

Capsule

Sprinkle

  • d,l (racemic) methylphenidate HCl †

    Cmax, AUC (0-t) AUC (0-inf) presented as mean ± SD ‡

    data presented as median (range)

Cmax****
(ng/mL)

23.47 ± 11.4

21.78 ± 9.5

AUC**(0-t)******
(ng.hr/mL)

262.7 ± 135

262.9 ± 128

AUC**(0-inf )******
(ng.hr/mL)

258.1 ± 94.2

258.0 ± 84.4

Tmax (hr)

2.0

2.0

Half-life (hr)

5.09

5.43

Relative bioavailability

102%

101%

Figure 1: Meand,l-Methylphenidate Plasma Concentration-Time Profiles following 80 mg Administered as Capsule and Sprinkle Dose in Healthy Adults

Figure 1

Metabolism and Excretion

In humans, methylphenidate is metabolized primarily via deesterification to alpha-phenyl-piperidine acetic acid (PPAA). The metabolite has little or no pharmacologic activity.

After oral dosing of radiolabeled methylphenidate in humans, about 90% of the radioactivity was recovered in urine. The main urinary metabolite was PPAA, accounting for approximately 80% of the dose.

Food Effects

Administration of APTENSIO XR with high fat meal showed a decreased or diminished second peak. A high-fat meal also increased the average Cmax of methylphenidate by about 28% and the AUC by about 19%. In the clinical trials of APTENSIO XR, it was administered without regard to meals.

Alcohol Effect

At an alcohol concentration up to 40%, there was 96% release of methylphenidate from APTENSIO XR 80 mg capsule within two hours. The results with the 80 mg capsule are considered to be representative of the other available capsules strengths.

Studies in Specific Populations

Gender

There is insufficient experience with the use of APTENSIO XR to detect gender variations in pharmacokinetics.

Race

There is insufficient experience with the use of APTENSIO XR to detect ethnic variations in pharmacokinetics.

Age

The pharmacokinetics of methylphenidate after APTENSIO XR administration was studied in pediatric patients with ADHD between 6 and 12 years of age. Following administration of APTENSIO XR, the bi-phasic plasma methylphenidate concentration profile was qualitatively similar in healthy adult volunteers and pediatric patients with ADHD. The bi-phasic profile in both groups is characterized by an early peak due to rapid absorption of the immediate- release component followed by a delayed, secondary peak due to the controlled- release component of APTENSIO XR.

Renal Insufficiency

There is no experience with the use of APTENSIO XR in patients with renal insufficiency. After oral administration of radiolabeled methylphenidate in humans, methylphenidate was extensively metabolized and approximately 80% of the radioactivity was excreted in the urine in the form of ritalinic acid metabolite. Since renal clearance is not an important route of methylphenidate clearance, renal insufficiency is expected to have little effect on the pharmacokinetics of APTENSIO XR.

Hepatic Insufficiency

There is no experience with the use of APTENSIO XR in patients with hepatic insufficiency.

NONCLINICAL TOXICOLOGY SECTION

LOINC: 43680-8Updated: 9/25/2025

13 NONCLINICAL TOXICOLOGY

13.1 Carcinogenesis, Mutagenesis, Impairment of Fertility

Carcinogenesis

In a lifetime carcinogenicity study carried out in B6C3F1 mice, methylphenidate caused an increase in hepatocellular adenomas and, in males only, an increase in hepatoblastomas, at a daily dose of approximately 60 mg/kg/day. This dose is approximately 2 times the maximum recommended human dose (MRHD) of 60 mg/day given to children on a mg/m2 basis. Hepatoblastoma is a relatively rare rodent malignant tumor type. There was no increase in total malignant hepatic tumors. The mouse strain used is sensitive to the development of hepatic tumors, and the significance of these results to humans is unknown.

Methylphenidate did not cause any increase in tumors in a lifetime carcinogenicity study carried out in F344 rats; the highest dose used was approximately 45 mg/kg/day, which is approximately 4 times the MRHD (children) on a mg/m2 basis.

Mutagenesis

Methylphenidate was not mutagenic in the in vitro Ames reverse mutation assay or in the in vitro mouse lymphoma cell forward mutation assay. Sister chromatid exchanges and chromosome aberrations were increased, indicative of a weak clastogenic response, in an in vitro assay in cultured Chinese Hamster Ovary (CHO) cells. Methylphenidate was negative in vivo in males and females in the mouse bone marrow micronucleus assay.

Impairment of Fertility

Methylphenidate did not impair fertility in male or female mice that were fed diets containing the drug in an 18-week Continuous Breeding study. The study was conducted at doses of up to 160 mg/kg/day, approximately 10 times the maximum recommended human dose of 60 mg/day given to adolescents on a mg/m2 basis.

CLINICAL STUDIES SECTION

LOINC: 34092-7Updated: 9/25/2025

14 CLINICAL STUDIES

The efficacy of APTENSIO XR for the treatment of ADHD was established in a randomized, double-blind, single center, placebo-controlled, flexible-dose, cross-over trial in pediatric patients aged 6 to 12 years and a second randomized, double-blind, multicenter, placebo-controlled, fixed–dose trial in pediatric patients 6 to 17 years.

Pediatric Patients

A randomized, double-blind, placebo-controlled, flexible-dose, cross-over, analog classroom study (Study 1) was conducted in pediatric patients ages 6 to 12 years (N=26) who met DSM-IV-TR criteria for ADHD inattentive, hyperactive- impulsive or combined inattentive/hyperactive-impulsive subtypes.

Following a 2 to 4 week open-label dose optimization phase in which patients received flexible-dose APTENSIO XR 15 mg, 20 mg, 30 mg, or 40 mg administered once daily in the morning, patients were randomly assigned to APTENSIO XR (dose from open-label phase) or placebo. After 1-week of treatment, patients were evaluated over a period of 12 hours. Subsequently, patients were given the opposite treatment for 1-week and returned for the second evaluation. Patients could then enter an open-label extension phase for up to 21 months.

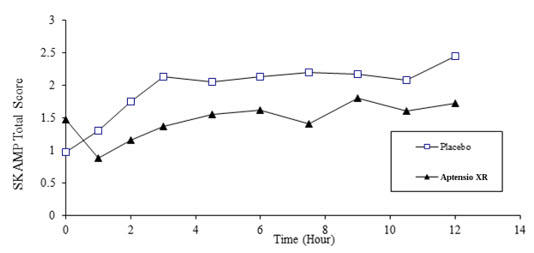
Efficacy assessments were conducted at 1, 2, 3, 4.5, 6, 7.5, 9, 10.5 and 12 hours post-dose using the Swanson, Kotkin, Agler, M. Flynn, and Pelham Total score (SKAMP). The primary efficacy endpoint was the average SKAMP Total Score, comparing APTENSIO XR to placebo. SKAMP is a validated 13-item teacher- rated scale that assesses manifestations of ADHD in a classroom setting.

The SKAMP Total Scores were statistically significantly better (lower) for APTENSIO XR than for placebo at the test day average and at all time points (1, 2, 3, 4.5, 6, 7.5, 9, 10.5 and 12 hours) post-dosing (see Figure 2).

Figure 2: Absolute SKAMP- Total Score after treatment with APTENSIO XR or Placebo (Study 1).

Figure 2

A randomized, double-blind, multicenter, placebo-controlled, parallel-group, fixed-dose study (Study 2) was conducted in pediatric patients age 6 to 17 years (N=230) who met DSM-IV-TR criteria for ADHD inattentive, hyperactive- impulsive or combined inattentive/hyperactive-impulsive subtypes.

The ADHD-RS-IV is an 18-item questionnaire with a score range of 0 to 54 points that measures the core symptoms of ADHD and includes both hyperactive/impulsive and inattentive subscales.

Patients were randomized to a daily morning dose of APTENSIO XR 10 mg, 15 mg, 20 mg, or 40 mg, or placebo for 1 week. An 11-week open label phase followed the double-blind phase. Patients could then enter another open-label phase for up to 21 months.

The primary efficacy endpoint was the mean decrease from baseline to the end of Week 1 in the ADHD-RS-IV Total Score. Each of the four APTENSIO XR doses (10 mg, 15 mg, 20 mg, and 40 mg/day) was compared to placebo at the end of week 1. For both the 20 mg/day and the 40 mg/day doses, APTENSIO XR was superior to placebo in reduction of the ADHD-RS-IV Total Score, but not for the 10 mg/day or the 15 mg/day doses.

A total of 221 patients completed the 1-week double-blind phase. Among those, 200 (90.5%) completed the 11-week open label phase and 173 (86.5%) patients continued into the 21-month open-label extension phase.

Table 3: Summary of Parallel-Group Study

Study Number

Treatment Group

Primary Efficacy Measure: ADHD-RS-IV Total Score

Mean Baseline Score (SD)

LS Mean Reduction from Baseline (SE)

Placebo-subtracted Difference* (95% CI)

Note: SD: standard deviation; SE: standard error; LS Mean: least-squares mean;
CI: confidence interval, not adjusted for multiple comparisons.

  • Difference (placebo minus drug) in least-squares mean change from baseline. Positive numbers indicate reduction (improvement). †

    Doses that are demonstrated to be effective.

Study 2
(Pediatric)

APTENSIO XR 10 mg/day

37.6 (8.32)

9.1 (1.40)

3.7 (-0.31, 7.66)

APTENSIO XR 15 mg/day

38.0 (8.64)

10.3 (1.59)

4.9 (0.63, 9.07)

APTENSIO XR 20 mg/day†

36.2 (8.46)

11.4 (1.49)

6.0 (1.92, 10.02)

APTENSIO XR 40 mg/day†

35.6 (9.16)

12.8 (1.49)

7.4 (3.38, 11.45)

Placebo

33.4 (11.01)

5.4 (1.48)

--

SPL UNCLASSIFIED SECTION

LOINC: 42229-5Updated: 9/26/2025

Marketed by:
Rhodes Pharmaceuticals
Wilson, NC 27893

Manufactured by:
Purdue Pharma L.P.
Stamford, CT 06901

APTENSIO XR® is a trademark of Rhodes Pharmaceuticals.

This product is covered by US patents including US Patents No. 6,419,960, 7,083,808, 7,247,318, 8,580,310, 9,066,869 and 9,801,823.

xxxxxx-0x

INFORMATION FOR PATIENTS SECTION

LOINC: 34076-0Updated: 9/25/2025

17 PATIENT COUNSELING INFORMATION

Advise patients to read the FDA-approved patient labeling (Medication Guide).

Abuse, Misuse, and Addiction

Educate patients and their families about the risks of abuse, misuse, and addiction of APTENSIO XR, which can lead to overdose and death, and proper disposal of any unused drug [see Warnings and Precautions (5.1),Drug Abuse and Dependence (9.2), Overdosage (10)]. Advise patients to store APTENSIO XR in a safe place, preferably locked, and instruct patients to not give APTENSIO XR to anyone else.

Dosage and Administration Instructions

Advise patients that APTENSIO XR can be taken with or without food and that they should establish a routine pattern of taking APTENSIO XR with regard to meals. For patients who take APTENSIO XR sprinkled over applesauce, the contents of the entire capsule should be consumed immediately; it should not be stored. Patients should take the applesauce with sprinkled beads in its entirety without chewing. When initiating treatment with APTENSIO XR, provide dosage escalation and administration instructions [see Dosage and Administration (2.2)].

Risks to Patients with Serious Cardiac Disease

Advise patients that there are potential risks to patient with serious cardiac disease, including sudden death, with APTENSIO XR use. Instruct patients to contact a healthcare provider immediately if they develop symptoms such as exertional chest pain, unexplained syncope, or other symptoms suggestive of cardiac disease [see Warnings and Precautions (5.2)].

Increased Blood Pressure and Heart Rate

Instruct patients that APTENSIO XR can cause elevations of their blood pressure and pulse rate [see Warnings and Precautions (5.3)].

Psychiatric Adverse Reactions

Advise patients that APTENSIO XR, at recommended doses, can cause psychotic or manic symptoms, even in patients without prior history of psychotic symptoms or mania [see Warnings and Precautions (5.4)].

Priapism

Advise patients of the possibility of painful or prolonged penile erections (priapism). Instruct them to seek immediate medical attention in the event of priapism [see Warnings and Precautions (5.5)].

Circulation problems in fingers and toes [Peripheral vasculopathy, including Raynaud's phenomenon]

Instruct patients beginning treatment with APTENSIO XR about the risk of peripheral vasculopathy, including Raynaud's Phenomenon, and associated signs and symptoms: fingers or toes may feel numb, cool, painful, and/or may change from pale, to blue, to red. Instruct patients to report to their physician any new numbness, pain, skin color change, or sensitivity to temperature in fingers or toes.

Instruct patients to call their physician immediately with any signs of unexplained wounds appearing on fingers or toes while taking APTENSIO XR. Further clinical evaluation (e.g. rheumatology referral) may be appropriate for certain patients [see Warnings and Precautions (5.6)].

Long-Term Suppression of Growth in Pediatric Patients

Advise patients that APTENSIO XR may cause slowing of growth and weight loss [see Warnings and Precautions (5.7)].

Increased Intraocular Pressure (IOP) and Glaucoma

Advise patients that IOP and glaucoma may occur during treatment with APTENSIO XR [see Warnings and Precautions (5.9)].

Motor and Verbal Tics, and Worsening of Tourette's Syndrome

Advise patients that motor and verbal tics and worsening of Tourette's syndrome may occur during treatment with APTENSIO XR. Instruct patients to notify their healthcare provider if emergence of new tics or worsening of tics or Tourette's syndrome occurs [see Warnings and Precautions (5.10)].

Alcohol Effect

Advise patients to avoid alcohol while taking APTENSIO XR. Consumption of alcohol while taking APTENSIO XR may result in a more rapid release of the dose of methylphenidate [see Clinical Pharmacology (12.3)].

Pregnancy Registry

Advise patients that there is a pregnancy exposure registry that monitors pregnancy outcomes in women exposed to APTENSIO XR during pregnancy [see Use in Specific Populations (8.1)].

DRUG ABUSE AND DEPENDENCE SECTION

LOINC: 42227-9Updated: 9/25/2025

9 DRUG ABUSE AND DEPENDENCE

9.1 Controlled Substance

APTENSIO XR contains methylphenidate, a Schedule II controlled substance.

9.2 Abuse

APTENSIO XR has a high potential for abuse and misuse which can lead to the development of a substance use disorder, including addiction [see Warnings and Precautions (5.1)]. APTENSIO XR can be diverted for non-medical use into illicit channels or distribution.

Abuse is the intentional non-therapeutic use of a drug, even once, to achieve a desired psychological or physiological effect. Misuse is the intentional use, for therapeutic purposes, of a drug by an individual in a way other than prescribed by a health care provider or for whom it was not prescribed. Drug addiction is a cluster of behavioral, cognitive, and physiological phenomena that may include a strong desire to take the drug, difficulties in controlling drug use (e.g., continuing drug use despite harmful consequences, giving a higher priority to drug use than other activities and obligations), and possible tolerance or physical dependence.

Misuse and abuse of methylphenidate may cause increased heart rate, respiratory rate, or blood pressure; sweating; dilated pupils; hyperactivity; restlessness; insomnia; decreased appetite; loss of coordination; tremors; flushed skin; vomiting; and/or abdominal pain. Anxiety, psychosis, hostility, aggression, and suicidal or homicidal ideation have also been observed with CNS stimulants abuse and/or misuse. Misuse and abuse of CNS stimulants, including APTENSIO XR, can result in overdose and death [see Overdosage (10)], and this risk is increased with higher doses or unapproved methods of administration, such as snorting or injection.

9.3 Dependence

Physical Dependence

APTENSIO XR may produce physical dependence. Physical dependence is a state that develops as a result of physiological adaptation in response to repeated drug use, manifested by withdrawal signs and symptoms after abrupt discontinuation or a significant dose reduction of a drug.

Withdrawal signs and symptoms after abrupt discontinuation or dose reduction following prolonged use of CNS stimulants including APTENSIO XR include dysphoric mood; depression; fatigue; vivid, unpleasant dreams; insomnia or hypersomnia; increased appetite; and psychomotor retardation or agitation.

Tolerance

APTENSIO XR may produce tolerance. Tolerance is a physiological state characterized by a reduced response to a drug after repeated administration (i.e., a higher dose of a drug is required to produce the same effect that was once obtained at a lower dose).

HOW SUPPLIED SECTION

LOINC: 34069-5Updated: 9/25/2025

16 HOW SUPPLIED/STORAGE AND HANDLING

APTENSIO XR (methylphenidate hydrochloride extended-release) capsules are available as follows:

10 mg Capsules – light turquoise blue cap/white body, (imprinted with "APTENSIO XR" on cap and "10 mg" on the body)

Bottles of 90

NDC 42858-401-45

15 mg Capsules – orange cap/white body, (imprinted with "APTENSIO XR" on cap and "15 mg" on the body)

Bottles of 90

NDC 42858-402-45

20 mg Capsules – yellow cap/white body, (imprinted with "APTENSIO XR" on cap and "20 mg" on the body)

Bottles of 90

NDC 42858-403-45

30 mg Capsules – blue violet cap/white body, (imprinted with "APTENSIO XR" on cap and "30 mg" on the body)

Bottles of 90

NDC 42858-404-45

40 mg Capsules – pink cap/white body, (imprinted with "APTENSIO XR" on cap and "40 mg" on the body)

Bottles of 90

NDC 42858-405-45

50 mg Capsules – green cap/white body, (imprinted with "APTENSIO XR" on cap and "50 mg" on the body)

Bottles of 90

NDC 42858-406-45

60 mg Capsules – gray cap/white body, (imprinted with "APTENSIO XR" on cap and "60 mg" on the body)

Bottles of 90

NDC 42858-407-45

Storage and Handling

APTENSIO XR (methylphenidate hydrochloride extended-release) capsules should be stored at 20°C to 25°C (68°F to 77°F) [see USP Controlled Room Temperature]. Protect from moisture.

Dispense in tight container (USP).

SPL MEDGUIDE SECTION

LOINC: 42231-1Updated: 9/26/2025

MEDICATION GUIDE
APTENSIO XR® (App-ten-see-o)
(methylphenidate hydrochloride extended-release)
capsules, CII

This Medication Guide has been approved by the U.S. Food and Drug Administration.

Revised: 09/2025

What is the most important information I should know about APTENSIO XR?
APTENSIO XR may cause serious side effects, including:

Abuse, misuse, and addiction. APTENSIO XR has a high chance for abuse and misuse and may lead to substance use problems, including addiction. Misuse and abuse of APTENSIO XR, other methylphenidate containing medicines, and amphetamine containing medicines, can lead to overdose and death. The risk of overdose and death is increased with higher doses of APTENSIO XR or when it is used in ways that are not approved, such as snorting or injection. * Your healthcare provider should check you or your child's risk for abuse, misuse, and addiction before starting treatment with APTENSIO XR and will monitor you or your child during treatment. * APTENSIO XR may lead to physical dependence after prolonged use, even if taken as directed by your healthcare provider. * Do not give APTENSIO XR to anyone else. See "What is APTENSIO XR?" for more information. * Keep APTENSIO XR in a safe place and properly dispose of any unused medicine. See*"****How should I store APTENSIO XR?**" for more information. * Tell your healthcare provider if you or your child have ever abused or been dependent on alcohol, prescription medicines, or street drugs. *Risks for people with serious heart disease. Sudden death has happened in people who have heart defects or other serious heart disease.
Your healthcare provider should check you or your child carefully for heart problems before starting treatment with APTENSIO XR. Tell your healthcare provider if you or your child have any heart problems, heart disease, or heart defects.
Your healthcare provider should check you or your child's blood pressure and heart rate regularly during treatment with APTENSIO XR.
Call your healthcare provider or go the nearest hospital emergency room right away if you or your child have any signs of heart problems such as chest pain, shortness of breath, or fainting during treatment with APTENSIO XR.

*Increased blood pressure and heart rate.
Your healthcare provider should check your or your child's blood pressure and heart rate regularly during treatment with APTENSIO XR.

*Mental (psychiatric) problems, including: * new or worse behavior and thought problems * new or worse bipolar illness * new psychotic symptoms (such as hearing voices, or seeing or believing things that are not real) or new manic symptoms Tell your healthcare provider about any mental problems you or your child have, or about a family history of suicide, bipolar illness, or depression.
Call your healthcare provider right away if you or your child have any new or worsening mental symptoms or problems during treatment with APTENSIO XR, especially hearing voices, seeing or believing things that are not real, or new manic symptoms.

What is APTENSIO XR?

APTENSIO XR is a central nervous system (CNS) stimulant prescription medicine used for the treatment of Attention Deficit Hyperactivity Disorder (ADHD) in people 6 years of age and older. APTENSIO XR may help increase attention and decrease impulsiveness and hyperactivity in people with ADHD.

*APTENSIO XR is not recommended for use in children under 6 years of age.

APTENSIO XR is a federally controlled substance (CII) because it contains methylphenidate that can be a target for people who abuse prescription medicines or street drugs. Keep APTENSIO XR in a safe place to protect it from theft. Never give your APTENSIO XR to anyone else, because it may cause death or harm them. Selling or giving away APTENSIO XR may harm others and is against the law.

Do not take APTENSIO XR if you or your child are:

  • allergic to methylphenidate hydrochloride or any of the ingredients in APTENSIO XR. See the end of this Medication Guide for a complete list of ingredients in APTENSIO XR.
  • taking or have stopped taking within the past 14 days a medicine used to treat depression called a monoamine oxidase inhibitor (MAOI).

Before taking APTENSIO XR tell your healthcare provider about all medical conditions, including if you or your child:

  • have heart problems, heart disease, heart defects, or high blood pressure
  • have mental problems including psychosis, mania, bipolar illness, or depression, or have a family history of suicide, bipolar illness, or depression
  • have circulation problems in fingers and toes
  • have eye problems, including increased pressure in your eye, glaucoma, or problems with your close-up vision (farsightedness)
  • have or had repeated movements or sounds (tics) or Tourette's syndrome, or have a family history of tics or Tourette's syndrome
  • are pregnant or plan to become pregnant. It is not known if APTENSIO XR will harm your unborn baby.
    • There is a pregnancy registry for females who are exposed to APTENSIO XR during pregnancy. The purpose of the registry is to collect information about the health of females exposed to APTENSIO XR and their baby. If you or your child becomes pregnant during treatment with APTENSIO XR, talk to your healthcare provider about registering with the National Pregnancy Registry for Psychostimulants at 1-866-961-2388.
  • are breastfeeding or plan to breastfeed. APTENSIO XR passes into breast milk. Talk to your healthcare provider about the best way to feed the baby during treatment with APTENSIO XR.

Tell your healthcare provider about all the medicines that you or your child take, including prescription and over-the-counter medicines, vitamins, and herbal supplements.
APTENSIO XR and some medicines may interact with each other and cause serious side effects. Sometimes the doses of other medicines will need to be changed during treatment with APTENSIO XR. Your healthcare provider will decide whether APTENSIO XR can be taken with other medicines.
Especially tell your healthcare provider if you or your child take a medicine used to treat depression called monoamine oxidase inhibitor (MAOI).
Know the medicines that you or your child take. Keep a list of the medicines with you to show your healthcare provider and pharmacist.Do not start any new medicine during treatment with APTENSIO XR without talking to your healthcare provider first.

How should APTENSIO XR be taken?

  • Take APTENSIO XR exactly as prescribed by your healthcare provider.
  • Your healthcare provider may change the dose if needed.
  • Take APTENSIO XR by mouth 1 time each day in the morning.
  • APTENSIO XR can be taken with or without food but take it the same way each time.
  • Swallow APTENSIO XR capsules whole, or if APTENSIO XR capsules cannot be swallowed whole, the capsules may be opened and sprinkled onto a tablespoonful of applesauce. Make sure to sprinkle all the medicine onto the applesauce. The APTENSIO XR dose should not be divided.
    • swallow all the applesauce and medicine mixture without chewing right away or within 10 minutes *do not chew the applesauce and medicine mixture *do not store applesauce and medicine mixture
  • If a dose of APTENSIO XR is missed, do not take the dose later in the day or take an extra dose to make up for the missed dose, wait until the next morning to take the next scheduled dose.

If you or your child take too much APTENSIO XR, call your healthcare provider or Poison Help line at 1-800-222-1222 or go to the nearest hospital emergency room right away.

What should be avoided during treatment with APTENSIO XR?
Avoid drinking alcohol during treatment with APTENSIO XR. This may cause a faster release of the APTENSIO XR medicine.

What are possible side effects of APTENSIO XR?
APTENSIO XR may cause serious side effects, including:
See**"What is the most important information I should know about APTENSIO XR?"**

*Painful and prolonged erections (priapism). Priapism has happened in males who take products that contain methylphenidate.If you or your child develop priapism, get medical help right away. *Circulation problems in fingers and toes (peripheral vasculopathy, including Raynaud's phenomenon). Signs and symptoms may include: * fingers or toes may feel numb, cool, painful * fingers or toes may change color from pale, to blue, to red

Tell your healthcare provider if you have or your child have numbness, pain, skin color change, or sensitivity to temperature in the fingers or toes.
Call your healthcare provider right away if you have or your child have any signs of unexplained wounds appearing on fingers or toes during treatment with APTENSIO XR.

*Slowing of growth (height and weight) in children. Children should have their height and weight checked often during treatment with APTENSIO XR. APTENSIO XR treatment may be stopped if your child is not growing or gaining weight. *Eye problems (increased pressure in the eye and glaucoma). Call your healthcare provider right away if you or your child develop changes in your vision or eye pain, swelling, or redness. *New or worsening tics or worsening Tourette's syndrome. Tell your healthcare provider if you or your child get any new or worsening tics or worsening Tourette's syndrome during treatment with APTENSIO XR.

The most common side effects of APTENSIO XR in children 6 to 17 years of age include stomach pain, decreased appetite, headache, trouble sleeping.
These are not all the possible side effects of APTENSIO XR.
Call your doctor for medical advice about side effects. You may report side effects to FDA at 1-800-FDA-1088.
You may also report side effects to Rhodes Pharmaceuticals at 1-888-827-0616.

How should I store APTENSIO XR?

  • Store APTENSIO XR at room temperature between 68°F to 77°F (20°C to 25°C).
  • Store APTENSIO XR in a safe place, like a locked cabinet. Protect from moisture.
  • Dispose of remaining, unused, or expired APTENSIO XR by a medicine take-back program at a U.S. Drug Enforcement Administration (DEA) authorized collection site. If no take-back program or DEA authorized collector is available, mix APTENSIO XR with an undesirable, nontoxic substance such as dirt, cat litter, or used coffee grounds to make it less appealing to children and pets. Place the mixture in a container such as a sealed plastic bag and throw away APTENSIO XR in the household trash. Visit www.fda.gov/drugdisposal for additional information on disposal of unused medicines.

Keep APTENSIO XR and all medicines out of the reach of children.

General information about the safe and effective use of APTENSIO XR.
Medicines are sometimes prescribed for purposes other than those listed in a Medication Guide. Do not use APTENSIO XR for a condition for which it was not prescribed. Do not give APTENSIO XR to other people, even if they have the same symptoms. It may harm them and it is against the law. You can ask your healthcare provider or pharmacist for information about APTENSIO XR that is written for healthcare professionals.

What are the ingredients in APTENSIO XR?
Active Ingredient: methylphenidate hydrochloride
Inactive Ingredients: ammonio methacrylate copolymer, type B; colloidal silicon dioxide (added if necessary); gelatin; hypromelloses; methacrylic acid copolymer, type C; polyethylene glycol; sugar spheres; talc; titanium oxide; and triethyl citrate.
Manufactured by: Purdue Pharma L.P., Stamford, CT 06901
For more information, call Rhodes Pharmaceuticals (the distributor for APTENSIO XR) at 1-888-827-0616.

MedPath

Empowering clinical research with data-driven insights and AI-powered tools.

© 2025 MedPath, Inc. All rights reserved.

APTENSIO XR - FDA Drug Approval Details