MedPath

Carbinoxamine Maleate

Carbinoxamine Maleate Tablets, USP 6 mg

Approved
Approval ID

b25c8f34-0a46-4685-93a5-ba36a23817ac

Product Type

HUMAN PRESCRIPTION DRUG LABEL

Effective Date

Mar 26, 2024

Manufacturers
FDA

Foxland Pharmaceuticals, Inc.

DUNS: 079407828

Products 1

Detailed information about drug products covered under this FDA approval, including NDC codes, dosage forms, ingredients, and administration routes.

CARBINOXAMINE MALEATE

Product Details

FDA regulatory identification and product classification information

FDA Identifiers
NDC Product Code69067-240
Application NumberANDA207484
Product Classification
M
Marketing Category
C73584
G
Generic Name
CARBINOXAMINE MALEATE
Product Specifications
Route of AdministrationORAL
Effective DateMarch 26, 2024
FDA Product Classification

INGREDIENTS (5)

MICROCRYSTALLINE CELLULOSEInactive
Code: OP1R32D61U
Classification: IACT
ANHYDROUS LACTOSEInactive
Code: 3SY5LH9PMK
Classification: IACT
MAGNESIUM STEARATEInactive
Code: 70097M6I30
Classification: IACT
CARBINOXAMINE MALEATEActive
Quantity: 6 mg in 1 1
Code: 02O55696WH
Classification: ACTIB
SODIUM STARCH GLYCOLATE TYPE A POTATOInactive
Code: 5856J3G2A2
Classification: IACT

Drug Labeling Information

PACKAGE LABEL.PRINCIPAL DISPLAY PANEL

LOINC: 51945-4Updated: 12/21/2017

PRINCIPAL DISPLAY PANEL - 6 mg Tablet Bottle Label

NDC 69067-240-20

Carbinoxamine
** Maleate**
** Tablets, USP**

6 mg

Rx Only
** 20 Tablets**

Foxland
PHARMACEUTICALS, INC.

PRINCIPAL DISPLAY PANEL - 6 mg Tablet Bottle Label

INDICATIONS & USAGE SECTION

LOINC: 34067-9Updated: 12/21/2017

INDICATIONS AND USAGE

Carbinoxamine maleate is effective for the symptomatic treatment of:

Seasonal and perennial allergic rhinitis.

Vasomotor rhinitis.

Allergic conjunctivitis due to inhalant allergens and foods.

Mild, uncomplicated allergic skin manifestations of urticaria and angioedema.

Dermatographism.

As therapy for anaphylactic reactions adjunctive to epinephrine and other standard measures after the acute manifestations have been controlled.

Amelioration of the severity of allergic reactions to blood or plasma.

CONTRAINDICATIONS SECTION

LOINC: 34070-3Updated: 12/21/2017

CONTRAINDICATIONS

Carbinoxamine maleate is contraindicated in children younger than 2 years of age.

Carbinoxamine maleate is contraindicated in nursing mothers.

Carbinoxamine maleate is contraindicated in patients who are hypersensitive to the drug or on monoamine oxidase inhibitor therapy (seeDrug Interactions).

ADVERSE REACTIONS SECTION

LOINC: 34084-4Updated: 12/21/2017

ADVERSE REACTIONS

The most frequent adverse reactions are underlined:

Body as a whole:Urticaria, drug rash, anaphylactic shock, photosensitivity, excessive perspiration, chills, dryness of mouth, nose and throat

Cardiovascular:Hypotension, headache, palpitations, tachycardia, extrasystoles

Hematologic:Hemolytic anemia, thrombocytopenia, agranulocytosis

Central nervous system:Sedation, sleepiness, dizziness, disturbed coordination, fatigue, confusion, restlessness, excitation, nervousness, tremor, irritability, insomnia, euphoria, paresthesia, blurred vision, diplopia, vertigo, tinnitus, acute labyrinthitis, hysteria, neuritis, convulsions

Gastrointestinal:Epigastric distress, anorexia, nausea, vomiting, diarrhea, constipation

Urogenital:Urinary frequency, difficult urination, urinary retention, early menses

Respiratory:Thickening of bronchial secretions, tightness of chest and wheezing, nasal stuffiness.

Call your doctor for medical advice about side effects. To report side effects, contact Foxland Pharmaceuticals, Inc. at 1-205-655-3446.

WARNINGS SECTION

LOINC: 34071-1Updated: 12/21/2017

WARNINGS

Deaths have been reported in children less than 2 years of age who were taking antihistamines, including carbinoxamine-containing drug products, therefore, carbinoxamine maleate is contraindicated in children younger than 2 years of age (seeCONTRAINDICATIONS).

Antihistamines should be used with considerable caution in patients with: narrow angle glaucoma, stenosing peptic ulcer, symptomatic prostatic hypertrophy, bladder neck obstruction, pyloroduodenal obstruction.

PRECAUTIONS SECTION

LOINC: 42232-9Updated: 12/21/2017

PRECAUTIONS

General

As many other antihistamines, carbinoxamine maleate has an atropine-like action and, therefore, should be used with caution in patients with: increased intraocular pressure, hyperthyroidism, cardiovascular disease, hypertension.

Antihistamines such as carbinoxamine maleate should not be used to treat lower respiratory tract symptoms, including asthma.

Information for Patients

Carbinoxamine maleate may cause drowsiness; alcohol, sedatives, and tranquilizers may increase the drowsiness effect. Avoid alcoholic beverages while taking this product. Do not take this product if you are taking sedatives or tranquilizers, without first consulting your doctor. Use caution when driving a motor vehicle or operating machinery.

Drug Interactions

Monoamine oxidase inhibitors prolong and intensify the anticholinergic (drying) effects of antihistamines. Carbinoxamine maleate has additive effects with alcohol and other CNS depressants (hypnotics, sedatives, tranquilizers, etc.).

Carcinogenesis, Mutagenesis, Impairment of Fertility

No long-term studies in animals have been performed to determine the possible effects of carbinoxamine maleate on carcinogenesis, mutagenesis, and fertility.

Pregnancy

Teratogenic Effects

Pregnancy Category C

Animal reproductive studies have not been conducted with carbinoxamine maleate. It is also not known whether carbinoxamine maleate can cause fetal harm when administered to a pregnant woman or can affect reproductive capacity. Carbinoxamine maleate should be given to a pregnant woman only if clearly needed.

Nursing Mothers

Because of the higher risk of antihistamines for infants generally and for newborns and prematures in particular, use of carbinoxamine maleate is contraindicated in nursing mothers (seeCONTRAINDICATIONS).

Pediatric Use

Carbinoxamine maleate is contraindicated in children younger than 2 years of age (seeCONTRAINDICATIONS).

Neonates have an increased susceptibility to anticholinergic side effects, such as CNS excitation, which may lead to convulsions.

Carbinoxamine maleate may diminish mental alertness in children. In the young child, particularly, they may produce excitation.

Geriatric Use

Carbinoxamine maleate is more likely to cause dizziness, sedation, and hypotension in elderly patients (approximately 60 years or older). Sedating drugs may also cause confusion and over sedation in the elderly. Therefore, dose selection for an elderly patient should be cautious, usually starting at the low end of the dosing range, reflecting the greater frequency of decreased hepatic, renal, or cardiac function, and of concomitant disease or other drug therapy.

DOSAGE & ADMINISTRATION SECTION

LOINC: 34068-7Updated: 12/21/2017

DOSAGE AND ADMINISTRATION

Carbinoxamine maleate is contraindicated in children younger than 2 years of age (seeCONTRAINDICATIONS).

Carbinoxamine maleate should be taken on an empty stomach with water.

DOSAGE SHOULD BE INDIVIDUALIZED ACCORDING TO THE NEEDS AND THE RESPONSE OF THE PATIENT.

Carbinoxamine maleate dosage should be based on the severity of the condition and the response of the patient. The drug is well tolerated in adults in doses as high as 24 mg daily, in divided doses, over prolonged periods. On the other hand, some patients respond to as little as 4 mg daily.

Clinical experience suggests the following dosage schedule:

Usual Adult Dosage: 1 tablet (6 mg) 3 to 4 times daily.

HOW SUPPLIED SECTION

LOINC: 34069-5Updated: 12/21/2017

HOW SUPPLIED

Carbinoxamine maleate tablets, USP, 6 mg are supplied as a white, round tablet, debossed "404" on one side and "ADG" on the other side, in bottles of 20 tablets, NDC 69067-240-20.

Store at 20° to 25°C (68° to 77°F) [see USP Controlled Room Temperature].

Dispense in a tight, light-resistant container with a child-resistant closure as defined in the official compendium.

SPL UNCLASSIFIED SECTION

LOINC: 42229-5Updated: 12/21/2017

Rxonly

Manufactured for:
Foxland Pharmaceuticals, Inc.
Trussville, AL 35173

FI-240-01
Code 1159C00
Rev. 11/2017

DESCRIPTION SECTION

LOINC: 34089-3Updated: 12/21/2017

DESCRIPTION

Carbinoxamine maleate is a histamine-H 1receptor blocking agent.

Each tablet contains 6 mg carbinoxamine maleate and the following inactive ingredients: anhydrous lactose, magnesium stearate, microcrystalline cellulose, and sodium starch glycolate.

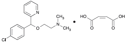
Carbinoxamine maleate is freely soluble in water. Its structure is:

Chemical Structure

2-[(4-chlorophenyl)-2-pyridinylmethoxy]-N, N-dimethylethanamine (Z)-2-butenedioate (1:1)

C 16H 19ClN 2O∙C 4H 4O 4

MW=406.86

CLINICAL PHARMACOLOGY SECTION

LOINC: 34090-1Updated: 12/21/2017

CLINICAL PHARMACOLOGY

Mechanism of Actions

Carbinoxamine maleate, an ethanolamine derivative, is an antihistamine with anticholinergic (drying) and sedative properties. Carbinoxamine appears to compete with histamine (type H1) for receptor sites on effector cells in the gastrointestinal tract, blood vessels and respiratory tract.

Pharmacokinetics and Metabolism

Carbinoxamine is well absorbed from the GI tract and appears to be extensively metabolized by the liver, and excreted in the urine as inactive metabolites within 24 hours. Virtually no intact drug is extended in the urine.

In a study comparing a controlled release suspension and a solution of carbinoxamine, healthy volunteers were administered a single dose of 8 mg carbinoxamine. A time to maximum concentration (Tmax) was between 1.5 hours to 5 hours, a peak plasma concentration (Cmax) of about 24 ng/mL was observed, and extent of exposure (AUC) was about 286 ng hr/mL. The serum half-life is reported to be 10 to 20 hours.

Drug/Food Interactions

Carbinoxamine should not be used in patients with hypersensitivity to carbinoxamine. Carbinoxamine may increase the effects of other drugs such as barbiturates, TCAs, MAO inhibitors such as Phenelzine (Nardil), Tranylcypromine (Parnate), or Selegiline (Eldepryl), alcohol, other antihistamines, and CNS depressants. Carbinoxamine can be taken with or without food.

Cardiovascular Effects

Cardiac effects, including prolongation of QT interval have not been adequately studied. Unlike other newer antihistamines, severe adverse cardiovascular effects are uncommon, and usually limited to over dosage situations.

Special Populations

Pediatric Patients

Carbinoxamine should not be used in newborn or premature infants. Neonates have an increased susceptibility to anticholinergic side effects, such as CNS excitation, which may lead to convulsions.

Pregnancy and Lactation

Safe use of carbinoxamine during pregnancy has not been established. Therefore, carbinoxamine should not be used in women who are, or may become pregnant. Carbinoxamine is in the FDA pregnancy Category C. Women who are breast-feeding should avoid use of carbinoxamine, since small amounts appear to be distributed into breast milk.

Geriatric Patients

Carbinoxamine is more likely to cause dizziness, sedation, and hypotension in elderly patients. The incidence of adverse reactions is higher in the elderly; therefore, a dosing adjustment may be necessary in this subpopulation.

OVERDOSAGE SECTION

LOINC: 34088-5Updated: 12/21/2017

OVERDOSAGE

Manifestations

Antihistamine overdosage reactions may vary from central nervous system depression to stimulation. Stimulation is particularly likely in children. Atropine-like signs and symptoms - dry mouth; fixed, dilated pupils; flushing; and gastrointestinal symptoms may also occur.

Especially in infants and children, antihistamine overdosage may cause hallucinations, convulsions, or death.

The oral LD 50of carbinoxamine maleate in guinea pigs is 411 mg/kg.

Treatment

The treatment of overdosage with carbinoxamine maleate is essentially symptomatic and supportive. Vital signs (including respiration, pulse, blood pressure, and temperature) and EKG should be monitored. Induction of vomiting is not recommended. Activated charcoal should be given and gastric lavage should be considered after ingestion of a potentially life-threatening amount of drug. In the presence of severe anticholinergic effects, physostigmine may be useful. Vasopressors may be used to treat hypotension.

MedPath

Empowering clinical research with data-driven insights and AI-powered tools.

© 2025 MedPath, Inc. All rights reserved.

Carbinoxamine Maleate - FDA Drug Approval Details