MedPath

Cleocin Hydrochloride

CLEOCIN HCl clindamycin hydrochloride capsules, USP

Approved
Approval ID

df9a2a41-b132-4f43-8940-b2d773b1369a

Product Type

HUMAN PRESCRIPTION DRUG LABEL

Effective Date

Nov 9, 2022

Manufacturers
FDA

Pharmacia & Upjohn Company LLC

DUNS: 618054084

Products 3

Detailed information about drug products covered under this FDA approval, including NDC codes, dosage forms, ingredients, and administration routes.

clindamycin hydrochloride

Product Details

FDA regulatory identification and product classification information

FDA Identifiers
NDC Product Code0009-0395
Application NumberNDA050162
Product Classification
M
Marketing Category
C73594
G
Generic Name
clindamycin hydrochloride
Product Specifications
Route of AdministrationORAL
Effective DateNovember 9, 2022
FDA Product Classification

INGREDIENTS (8)

FD&C BLUE NO. 1Inactive
Code: H3R47K3TBD
Classification: IACT
GELATIN, UNSPECIFIEDInactive
Code: 2G86QN327L
Classification: IACT
LACTOSE, UNSPECIFIED FORMInactive
Code: J2B2A4N98G
Classification: IACT
MAGNESIUM STEARATEInactive
Code: 70097M6I30
Classification: IACT
CLINDAMYCIN HYDROCHLORIDEActive
Quantity: 300 mg in 1 1
Code: T20OQ1YN1W
Classification: ACTIM
STARCH, CORNInactive
Code: O8232NY3SJ
Classification: IACT
TALCInactive
Code: 7SEV7J4R1U
Classification: IACT
TITANIUM DIOXIDEInactive
Code: 15FIX9V2JP
Classification: IACT

clindamycin hydrochloride

Product Details

FDA regulatory identification and product classification information

FDA Identifiers
NDC Product Code0009-0225
Application NumberNDA050162
Product Classification
M
Marketing Category
C73594
G
Generic Name
clindamycin hydrochloride
Product Specifications
Route of AdministrationORAL
Effective DateNovember 9, 2022
FDA Product Classification

INGREDIENTS (9)

FD&C BLUE NO. 1Inactive
Code: H3R47K3TBD
Classification: IACT
STARCH, CORNInactive
Code: O8232NY3SJ
Classification: IACT
CLINDAMYCIN HYDROCHLORIDEActive
Quantity: 150 mg in 1 1
Code: T20OQ1YN1W
Classification: ACTIM
FD&C YELLOW NO. 5Inactive
Code: I753WB2F1M
Classification: IACT
GELATIN, UNSPECIFIEDInactive
Code: 2G86QN327L
Classification: IACT
MAGNESIUM STEARATEInactive
Code: 70097M6I30
Classification: IACT
LACTOSE, UNSPECIFIED FORMInactive
Code: J2B2A4N98G
Classification: IACT
TITANIUM DIOXIDEInactive
Code: 15FIX9V2JP
Classification: IACT
TALCInactive
Code: 7SEV7J4R1U
Classification: IACT

clindamycin hydrochloride

Product Details

FDA regulatory identification and product classification information

FDA Identifiers
NDC Product Code0009-0331
Application NumberNDA050162
Product Classification
M
Marketing Category
C73594
G
Generic Name
clindamycin hydrochloride
Product Specifications
Route of AdministrationORAL
Effective DateNovember 9, 2022
FDA Product Classification

INGREDIENTS (8)

CLINDAMYCIN HYDROCHLORIDEActive
Quantity: 75 mg in 1 1
Code: T20OQ1YN1W
Classification: ACTIM
STARCH, CORNInactive
Code: O8232NY3SJ
Classification: IACT
FD&C BLUE NO. 1Inactive
Code: H3R47K3TBD
Classification: IACT
FD&C YELLOW NO. 5Inactive
Code: I753WB2F1M
Classification: IACT
GELATIN, UNSPECIFIEDInactive
Code: 2G86QN327L
Classification: IACT
LACTOSE, UNSPECIFIED FORMInactive
Code: J2B2A4N98G
Classification: IACT
MAGNESIUM STEARATEInactive
Code: 70097M6I30
Classification: IACT
TALCInactive
Code: 7SEV7J4R1U
Classification: IACT

Drug Labeling Information

PACKAGE LABEL.PRINCIPAL DISPLAY PANEL

LOINC: 51945-4Updated: 11/9/2022

PRINCIPAL DISPLAY PANEL - 300 mg Capsule Bottle Label

Pfizer
NDC 0009-0395-14

Cleocin HCl**®**

clindamycin hydrochloride
capsules, USP

300 mg*

100 Capsules
Rx only

PRINCIPAL DISPLAY PANEL - 300 mg Capsule Bottle Label

Boxed Warning section

LOINC: 34066-1Updated: 11/9/2022

WARNING

Clostridioides difficile-associated diarrhea (CDAD) has been reported with use of nearly all antibacterial agents, including CLEOCIN HCl and may range in severity from mild diarrhea to fatal colitis. Treatment with antibacterial agents alters the normal flora of the colon, leading to overgrowth of C. difficile.

Because CLEOCIN HCl therapy has been associated with severe colitis which may end fatally, it should be reserved for serious infections where less toxic antimicrobial agents are inappropriate, as described in the** INDICATIONS AND USAGE** section. It should not be used in patients with nonbacterial infections such as most upper respiratory tract infections.

C. difficile produces toxins A and B, which contribute to the development of CDAD. Hypertoxin producing strains of C. difficile cause increased morbidity and mortality, as these infections can be refractory to antimicrobial therapy and may require colectomy. CDAD must be considered in all patients who present with diarrhea following antibiotic use. Careful medical history is necessary since CDAD has been reported to occur over two months after the administration of antibacterial agents.

If CDAD is suspected or confirmed, ongoing antibiotic use not directed against C. difficile may need to be discontinued. Appropriate fluid and electrolyte management, protein supplementation, antibiotic treatment of C. difficile, and surgical evaluation should be instituted as clinically indicated.

INDICATIONS & USAGE SECTION

LOINC: 34067-9Updated: 11/9/2022

INDICATIONS AND USAGE

Clindamycin is indicated in the treatment of serious infections caused by susceptible anaerobic bacteria.

Clindamycin is also indicated in the treatment of serious infections due to susceptible strains of streptococci, pneumococci, and staphylococci. Its use should be reserved for penicillin-allergic patients or other patients for whom, in the judgment of the physician, a penicillin is inappropriate. Because of the risk of colitis, as described in the** BOXED WARNING**, before selecting clindamycin, the physician should consider the nature of the infection and the suitability of less toxic alternatives (e.g., erythromycin).

**Anaerobes:**Serious respiratory tract infections such as empyema, anaerobic pneumonitis, and lung abscess; serious skin and soft tissue infections; septicemia; intra-abdominal infections such as peritonitis and intra-abdominal abscess (typically resulting from anaerobic organisms resident in the normal gastrointestinal tract); infections of the female pelvis and genital tract such as endometritis, nongonococcal tubo-ovarian abscess, pelvic cellulitis, and postsurgical vaginal cuff infection.

**Streptococci:**Serious respiratory tract infections; serious skin and soft tissue infections.

**Staphylococci:**Serious respiratory tract infections; serious skin and soft tissue infections.

**Pneumococci:**Serious respiratory tract infections.

Bacteriologic studies should be performed to determine the causative organisms and their susceptibility to clindamycin.

To reduce the development of drug-resistant bacteria and maintain the effectiveness of CLEOCIN HCl and other antibacterial drugs, CLEOCIN HCl should be used only to treat or prevent infections that are proven or strongly suspected to be caused by susceptible bacteria. When culture and susceptibility information are available, they should be considered in selecting or modifying antibacterial therapy. In the absence of such data, local epidemiology and susceptibility patterns may contribute to the empiric selection of therapy.

CONTRAINDICATIONS SECTION

LOINC: 34070-3Updated: 11/9/2022

CONTRAINDICATIONS

CLEOCIN HCl is contraindicated in individuals with a history of hypersensitivity to preparations containing clindamycin or lincomycin.

ADVERSE REACTIONS SECTION

LOINC: 34084-4Updated: 11/9/2022

ADVERSE REACTIONS

The following reactions have been reported with the use of clindamycin.

**Infections and Infestations:**Clostridioides difficile colitis

Gastrointestinal:Abdominal pain, pseudomembranous colitis, esophagitis, nausea, vomiting, and diarrhea (see BOXED WARNING). The onset of pseudomembranous colitis symptoms may occur during or after antibacterial treatment (see** WARNINGS**). Esophageal ulcer has been reported. An unpleasant or metallic taste has been reported after oral administration.

**Hypersensitivity Reactions:**Generalized mild to moderate morbilliform-like (maculopapular) skin rashes are the most frequently reported adverse reactions.

Vesiculobullous rashes, as well as urticaria, have been observed during drug therapy.

Severe skin reactions such as Toxic Epidermal Necrolysis, some with fatal outcome, have been reported (See** WARNINGS**). Cases of Acute Generalized Exanthematous Pustulosis (AGEP), erythema multiforme, some resembling Stevens- Johnson syndrome, anaphylactic shock, anaphylactic reaction and hypersensitivity have also been reported.

Skin and Mucous Membranes:Pruritus, vaginitis, angioedema and rare instances of exfoliative dermatitis have been reported. (See Hypersensitivity Reactions.)

**Liver:**Jaundice and abnormalities in liver function tests have been observed during clindamycin therapy.

Renal:Acute kidney injury (SeeWARNINGS).

**Hematopoietic:**Transient neutropenia (leukopenia) and eosinophilia have been reported. Reports of agranulocytosis and thrombocytopenia have been made. No direct etiologic relationship to concurrent clindamycin therapy could be made in any of the foregoing.

Immune System: Drug reaction with eosinophilia and systemic symptoms (DRESS) cases have been reported.

**Musculoskeletal:**Cases of polyarthritis have been reported.

OVERDOSAGE SECTION

LOINC: 34088-5Updated: 11/9/2022

OVERDOSAGE

Significant mortality was observed in mice at an intravenous dose of 855 mg/kg and in rats at an oral or subcutaneous dose of approximately 2618 mg/kg. In the mice, convulsions and depression were observed.

Hemodialysis and peritoneal dialysis are not effective in removing clindamycin from the serum.

SPL UNCLASSIFIED SECTION

LOINC: 42229-5Updated: 11/9/2022

This product's labeling may have been updated. For the most recent prescribing information, please visit www.pfizer.com.

Logo

LAB-0040-26.0
Revised: 5/2022

DESCRIPTION SECTION

LOINC: 34089-3Updated: 11/9/2022

DESCRIPTION

Clindamycin hydrochloride is the hydrated hydrochloride salt of clindamycin. Clindamycin is a semisynthetic antibiotic produced by a 7(S)-chloro- substitution of the 7(R)-hydroxyl group of the parent compound lincomycin.

CLEOCIN HCl Capsules contain clindamycin hydrochloride equivalent to 75 mg, 150 mg, or 300 mg of clindamycin.

Inactive ingredients:75 mg– corn starch, FD&C blue no. 1, FD&C yellow no. 5, gelatin, lactose, magnesium stearate, and talc;150 mg– corn starch, FD&C blue no. 1, FD&C yellow no. 5, gelatin, lactose, magnesium stearate, talc and titanium dioxide;300 mg– corn starch, FD&C blue no. 1, gelatin, lactose, magnesium stearate, talc, and titanium dioxide.

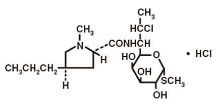
The structural formula is represented below:

Chemical Structure

The chemical name for clindamycin hydrochloride is Methyl 7-chloro-6,7,8-trideoxy-6-(1-methyl- trans-4-propyl-L-2-pyrrolidinecarboxamido)-1-thio-L-threo-α-D-galacto- octopyranoside monohydrochloride.

CLINICAL PHARMACOLOGY SECTION

LOINC: 34090-1Updated: 11/9/2022

CLINICAL PHARMACOLOGY

Human Pharmacology

Absorption

Pharmacokinetic studies with a 150 mg oral dose of clindamycin hydrochloride in 24 normal adult volunteers showed that clindamycin was rapidly absorbed after oral administration. An average peak serum concentration of 2.50 mcg/mL was reached in 45 minutes; serum concentrations averaged 1.51 mcg/mL at 3 hours and 0.70 mcg/mL at 6 hours. Absorption of an oral dose is virtually complete (90%), and the concomitant administration of food does not appreciably modify the serum concentrations; serum concentrations have been uniform and predictable from person to person and dose to dose. Pharmacokinetic studies following multiple doses of CLEOCIN HCl for up to 14 days show no evidence of accumulation or altered metabolism of drug. Doses of up to 2 grams of clindamycin per day for 14 days have been well tolerated by healthy volunteers, except that the incidence of gastrointestinal side effects is greater with the higher doses.

Distribution

Concentrations of clindamycin in the serum increased linearly with increased dose. Serum concentrations exceed the MIC (minimum inhibitory concentration) for most indicated organisms for at least six hours following administration of the usually recommended doses. Clindamycin is widely distributed in body fluids and tissues (including bones). No significant concentrations of clindamycin are attained in the cerebrospinal fluid, even in the presence of inflamed meninges.

Metabolism

In vitro studies in human liver and intestinal microsomes indicated that clindamycin is predominantly metabolized by Cytochrome P450 3A4 (CYP3A4), with minor contribution from CYP3A5, to form clindamycin sulfoxide and a minor metabolite, N-desmethylclindamycin.

Excretion

The average biological half-life is 2.4 hours. Approximately 10% of the bioactivity is excreted in the urine and 3.6% in the feces; the remainder is excreted as bioinactive metabolites.

Specific Populations

Patients with Renal/Hepatic Impairment

The elimination half-life of clindamycin is increased slightly in patients with markedly reduced renal or hepatic function. Hemodialysis and peritoneal dialysis are not effective in removing clindamycin from the serum. Dosage schedules do not need to be modified in patients with renal disease.

Geriatric Patients

Pharmacokinetic studies in elderly volunteers (61–79 years) and younger adults (18–39 years) indicate that age alone does not alter clindamycin pharmacokinetics (clearance, elimination half-life, volume of distribution, and area under the serum concentration-time curve) after IV administration of clindamycin phosphate. After oral administration of clindamycin hydrochloride, the average elimination half-life is increased to approximately 4.0 hours (range 3.4–5.1 h) in the elderly compared to 3.2 hours (range 2.1 – 4.2 h) in younger adults. The extent of absorption, however, is not different between age groups and no dosage alteration is necessary for the elderly with normal hepatic function and normal (age-adjusted) renal function1.

**Obese Pediatric Patients Aged 2 to Less than 18 Years and Obese Adults

Aged 18 to 20 Years**

An analysis of pharmacokinetic data in obese pediatric patients aged 2 to less than 18 years and obese adults aged 18 to 20 years demonstrated that clindamycin clearance and volume of distribution, normalized by total body weight, are comparable regardless of obesity.

Microbiology

Mechanism of Action

Clindamycin inhibits bacterial protein synthesis by binding to the 23S RNA of the 50S subunit of the ribosome. Clindamycin is bacteriostatic.

Resistance

Resistance to clindamycin is most often caused by modification of specific bases of the 23S ribosomal RNA. Cross-resistance between clindamycin and lincomycin is complete. Because the binding sites for these antibacterial drugs overlap, cross-resistance is sometimes observed among lincosamides, macrolides and streptogramin B. Macrolide-inducible resistance to clindamycin occurs in some isolates of macrolide-resistant bacteria. Macrolide-resistant isolates of staphylococci and beta-hemolytic streptococci should be screened for induction of clindamycin resistance using the D-zone test.

Antimicrobial Activity

Clindamycin has been shown to be active against most of the isolates of the following microorganisms, both in vitro and in clinical infections [see Indications and Usage (1)]:

Gram-positive bacteria

 Staphylococcus aureus (methicillin-susceptible strains)
 Streptococcus pneumoniae (penicillin-susceptible strains)
 Streptococcus pyogenes
**Anaerobic bacteria**
 Clostridium perfringens
 Fusobacterium necrophorum
 Fusobacterium nucleatum
 Peptostreptococcus anaerobius
 Prevotella melaninogenica

The following in vitro data are available, but their clinical significance is unknown. At least 90 percent of the following bacteria exhibit an in vitro minimum inhibitory concentration (MIC) less than or equal to the susceptible breakpoint for clindamycin against isolates of a similar genus or organism group. However, the efficacy of clindamycin in treating clinical infections due to these bacteria has not been established in adequate and well-controlled clinical trials.

Gram-positive bacteria

 Staphylococcus epidermidis (methicillin-susceptible strains)
 Streptococcus agalactiae
 Streptococcus anginosus
 Streptococcus mitis
 Streptococcus oralis

Anaerobic bacteria

 Actinomyces israelii
 Clostridium clostridioforme
 Eggerthella lenta
 Finegoldia (Peptostreptococcus) magna
 Micromonas (Peptostreptococcus) micros
 Prevotella bivia
 Prevotella intermedia
 Cutibacterium acnes

Susceptibility Testing

For specific information regarding susceptibility test interpretive criteria and associated test methods and quality control standards recognized by FDA for this drug, please see: https://www.fda.gov/STIC.

WARNINGS SECTION

LOINC: 34071-1Updated: 11/9/2022

WARNINGS

See** BOXED WARNING**

Clostridioides difficile-Associated Diarrhea

Clostridioides difficile-associated diarrhea (CDAD) has been reported with use of nearly all antibacterial agents, including CLEOCIN HCl, and may range in severity from mild diarrhea to fatal colitis. Treatment with antibacterial agents alters the normal flora of the colon, leading to overgrowth of C. difficile.

C. difficile produces toxins A and B, which contribute to the development of CDAD. Hypertoxin producing strains of C. difficile cause increased morbidity and mortality, as these infections can be refractory to antimicrobial therapy and may require colectomy. CDAD must be considered in all patients who present with diarrhea following antibiotic use. Careful medical history is necessary since CDAD has been reported to occur over two months after the administration of antibacterial agents.

If CDAD is suspected or confirmed, ongoing antibiotic use not directed against C. difficile may need to be discontinued. Appropriate fluid and electrolyte management, protein supplementation, antibiotic treatment of C. difficile, and surgical evaluation should be instituted as clinically indicated.

Anaphylactic and Severe Hypersensitivity Reactions

Anaphylactic shock and anaphylactic reactions have been reported (see** ADVERSE REACTIONS**).

Severe hypersensitivity reactions, including severe skin reactions such as toxic epidermal necrolysis (TEN), drug reaction with eosinophilia and systemic symptoms (DRESS), and Stevens-Johnson syndrome (SJS), some with fatal outcome, have been reported (see** ADVERSE REACTIONS**).

In case of such an anaphylactic or severe hypersensitivity reaction, discontinue treatment permanently and institute appropriate therapy.

A careful inquiry should be made concerning previous sensitivities to drugs and other allergens.

Nephrotoxicity

Clindamycin is potentially nephrotoxic and cases with acute kidney injury have been reported. Consider monitoring of renal function particularly in patients with pre-existing renal dysfunction or those taking concomitant nephrotoxic drugs. In case of acute kidney injury, discontinue CLEOCIN HCl when no other etiology is identified.

Usage in Meningitis

Since clindamycin does not diffuse adequately into the cerebrospinal fluid, the drug should not be used in the treatment of meningitis.

PRECAUTIONS SECTION

LOINC: 42232-9Updated: 11/9/2022

PRECAUTIONS

General

Review of experience to date suggests that a subgroup of older patients with associated severe illness may tolerate diarrhea less well. When clindamycin is indicated in these patients, they should be carefully monitored for change in bowel frequency.

CLEOCIN HCl should be prescribed with caution in individuals with a history of gastrointestinal disease, particularly colitis.

CLEOCIN HCl should be prescribed with caution in atopic individuals.

Indicated surgical procedures should be performed in conjunction with antibiotic therapy.

The use of CLEOCIN HCl occasionally results in overgrowth of nonsusceptible organisms—particularly yeasts. Should superinfections occur, appropriate measures should be taken as indicated by the clinical situation.

Clindamycin dosage modification is not necessary in patients with renal disease. In patients with moderate to severe liver disease, prolongation of clindamycin half-life has been found. However, it was postulated from studies that when given every eight hours, accumulation should rarely occur. Therefore, dosage modification in patients with liver disease may not be necessary. However, periodic liver enzyme determinations should be made when treating patients with severe liver disease.

The 75 mg and 150 mg capsules contain FD&C yellow no. 5 (tartrazine), which may cause allergic-type reactions (including bronchial asthma) in certain susceptible individuals. Although the overall incidence of FD&C yellow no. 5 (tartrazine) sensitivity in the general population is low, it is frequently seen in patients who also have aspirin hypersensitivity.

Prescribing CLEOCIN HCl in the absence of a proven or strongly suspected bacterial infection or a prophylactic indication is unlikely to provide benefit to the patient and increases the risk of the development of drug- resistant bacteria.

Information for Patients

Patients should be counseled that antibacterial drugs, including CLEOCIN HCl, should only be used to treat bacterial infections. They do not treat viral infections (e.g., the common cold). When CLEOCIN HCl is prescribed to treat a bacterial infection, patients should be told that although it is common to feel better early in the course of therapy, the medication should be taken exactly as directed. Skipping doses or not completing the full course of therapy may (1) decrease the effectiveness of the immediate treatment and (2) increase the likelihood that bacteria will develop resistance and will not be treatable by CLEOCIN HCl or other antibacterial drugs in the future.

Diarrhea is a common problem caused by antibiotics which usually ends when the antibiotic is discontinued. Sometimes after starting treatment with antibiotics, patients can develop watery and bloody stools (with or without stomach cramps and fever) even as late as two or more months after having taken the last dose of the antibiotic. If this occurs, patients should contact their physician as soon as possible.

Laboratory Tests

During prolonged therapy, periodic liver and kidney function tests and blood counts should be performed.

Drug Interactions

Clindamycin has been shown to have neuromuscular blocking properties that may enhance the action of other neuromuscular blocking agents. Therefore, it should be used with caution in patients receiving such agents.

Clindamycin is metabolized predominantly by CYP3A4, and to a lesser extent by CYP3A5, to the major metabolite clindamycin sulfoxide and minor metabolite N-desmethylclindamycin. Therefore, inhibitors of CYP3A4 and CYP3A5 may increase plasma concentrations of clindamycin and inducers of these isoenzymes may reduce plasma concentrations of clindamycin. In the presence of strong CYP3A4 inhibitors, monitor for adverse reactions. In the presence of strong CYP3A4 inducers such as rifampicin, monitor for loss of effectiveness.

In vitro studies indicate that clindamycin does not inhibit CYP1A2, CYP2C9, CYP2C19, CYP2E1 or CYP2D6 and only moderately inhibits CYP3A4.

Carcinogenesis, Mutagenesis, Impairment of Fertility

Long-term studies in animals have not been performed with clindamycin to evaluate carcinogenic potential. Genotoxicity tests performed included a rat micronucleus test and an Ames Salmonella reversion test. Both tests were negative.

Fertility studies in rats treated orally with up to 300 mg/kg/day (approximately 1.6 times the highest recommended adult human dose based on mg/m2) revealed no effects on fertility or mating ability.

Pregnancy

Teratogenic effects

In clinical trials with pregnant women, the systemic administration of clindamycin during the second and third trimesters, has not been associated with an increased frequency of congenital abnormalities.

Clindamycin should be used during the first trimester of pregnancy only if clearly needed. There are no adequate and well-controlled studies in pregnant women during the first trimester of pregnancy. Because animal reproduction studies are not always predictive of the human response, this drug should be used during pregnancy only if clearly needed.

Reproduction studies performed in rats and mice using oral doses of clindamycin up to 600 mg/kg/day (3.2 and 1.6 times the highest recommended adult human dose based on mg/m2, respectively) or subcutaneous doses of clindamycin up to 250 mg/kg/day (1.3 and 0.7 times the highest recommended adult human dose based on mg/m2, respectively) revealed no evidence of teratogenicity.

Nursing Mothers

Limited published data based on breast milk sampling reports that clindamycin appears in human breast milk in the range of less than 0.5 to 3.8 mcg/mL. Clindamycin has the potential to cause adverse effects on the breast-fed infant's gastrointestinal flora. If oral or intravenous clindamycin is required by a nursing mother, it is not a reason to discontinue breastfeeding, but an alternate drug may be preferred. Monitor the breast-fed infant for possible adverse effects on the gastrointestinal flora, such as diarrhea, candidiasis (thrush, diaper rash) or rarely, blood in the stool indicating possible antibiotic-associated colitis.

The developmental and health benefits of breastfeeding should be considered along with the mother's clinical need for clindamycin and any potential adverse effects on the breast-fed child from clindamycin or from the underlying maternal condition.

Pediatric Use

When CLEOCIN HCl is administered to the pediatric population (birth to 16 years), appropriate monitoring of organ system functions is desirable.

Geriatric Use

Clinical studies of clindamycin did not include sufficient numbers of patients age 65 and over to determine whether they respond differently from younger patients. However, other reported clinical experience indicates that antibiotic-associated colitis and diarrhea (due to Clostridioides difficile) seen in association with most antibiotics occur more frequently in the elderly (>60 years) and may be more severe. These patients should be carefully monitored for the development of diarrhea.

Pharmacokinetic studies with clindamycin have shown no clinically important differences between young and elderly subjects with normal hepatic function and normal (age-adjusted) renal function after oral or intravenous administration.

DOSAGE & ADMINISTRATION SECTION

LOINC: 34068-7Updated: 11/9/2022

DOSAGE AND ADMINISTRATION

If significant diarrhea occurs during therapy, this antibiotic should be discontinued (see** BOXED WARNING**).

**Adults:**Serious infections – 150 to 300 mg every 6 hours. More severe infections – 300 to 450 mg every 6 hours.

** Pediatric Patients (for children who are able to swallow capsules):** Serious infections – 8 to 16 mg/kg/day (4 to 8 mg/lb/day) divided into three or four equal doses. More severe infections – 16 to 20 mg/kg/day (8 to 10 mg/lb/day) divided into three or four equal doses. Clindamycin should be dosed based on total body weight regardless of obesity.

To avoid the possibility of esophageal irritation, CLEOCIN HCl Capsules should be taken with a full glass of water.

CLEOCIN HCl Capsules are not suitable for children who are unable to swallow them whole. The capsules do not provide exact mg/kg doses therefore it may be necessary to use the clindamycin palmitate oral solution in some cases.

Serious infections due to anaerobic bacteria are usually treated with CLEOCIN PHOSPHATE® Sterile Solution. However, in clinically appropriate circumstances, the physician may elect to initiate treatment or continue treatment with CLEOCIN HCl Capsules.

In cases of β-hemolytic streptococcal infections, treatment should continue for at least 10 days.

HOW SUPPLIED SECTION

LOINC: 34069-5Updated: 11/9/2022

HOW SUPPLIED

CLEOCIN HCl Capsules are available in the following strengths, colors and sizes:

75 mg Green

Bottles of 100

NDC 0009-0331-02

150 mg Light Blue and Green

Bottles of 100

NDC 0009-0225-02

300 mg Light Blue

Bottles of 100

NDC 0009-0395-14

Store at controlled room temperature 20° to 25° C (68° to 77° F) [see USP].

REFERENCES SECTION

LOINC: 34093-5Updated: 11/9/2022

REFERENCES

Smith RB, Phillips JP: Evaluation of CLEOCIN HCl and CLEOCIN Phosphate in an Aged Population. Upjohn TR 8147-82-9122-021, December 1982.

MedPath

Empowering clinical research with data-driven insights and AI-powered tools.

© 2025 MedPath, Inc. All rights reserved.