MedPath

Diflorasone Diacetate

Diflorasone Diacetate Cream USP, 0.05%

Approved
Approval ID

b20c9420-8fb4-4a49-93f0-c0e4074d6d71

Product Type

HUMAN PRESCRIPTION DRUG LABEL

Effective Date

Sep 22, 2025

Manufacturers
FDA

Sun Pharmaceutical Industries, Inc.

DUNS: 146974886

FDA

Taro Pharmaceuticals U.S.A., Inc.

DUNS: 145186370

Products 1

Detailed information about drug products covered under this FDA approval, including NDC codes, dosage forms, ingredients, and administration routes.

Diflorasone Diacetate

Product Details

FDA regulatory identification and product classification information

FDA Identifiers
NDC Product Code51672-1296
Application NumberANDA075508
Product Classification
M
Marketing Category
C73584
G
Generic Name
Diflorasone Diacetate
Product Specifications
Route of AdministrationTOPICAL
Effective DateSeptember 22, 2025
FDA Product Classification

INGREDIENTS (34)

peg-100 stearateInactive
Code: YD01N1999R
Classification: IACT
propylene glycolInactive
Code: 6DC9Q167V3
Classification: IACT
sodium phosphate, monobasic, unspecified formInactive
Code: 3980JIH2SW
Classification: IACT
Diflorasone DiacetateActive
Quantity: 0.5 mg in 1 g
Code: 7W2J09SCWX
Classification: ACTIB
waterInactive
Code: 059QF0KO0R
Classification: IACT
citric acid monohydrateInactive
Code: 2968PHW8QP
Classification: IACT
glyceryl monostearateInactive
Code: 230OU9XXE4
Classification: IACT
mineral oilInactive
Code: T5L8T28FGP
Classification: IACT
lanolin alcoholsInactive
Code: 884C3FA9HE
Classification: IACT
isopropyl myristateInactive
Code: 0RE8K4LNJS
Classification: IACT
cetyl alcoholInactive
Code: 936JST6JCN
Classification: IACT
palm oilInactive
Code: 5QUO05548Z
Classification: IACT
polysorbate 60Inactive
Code: CAL22UVI4M
Classification: IACT
sorbitan monostearateInactive
Code: NVZ4I0H58X
Classification: IACT
polyoxyl 40 stearateInactive
Code: 13A4J4NH9I
Classification: IACT
butylated hydroxytolueneInactive
Code: 1P9D0Z171K
Classification: IACT
soybean oilInactive
Code: 241ATL177A
Classification: IACT
WATERInactive
Code: 059QF0KO0R
Classification: IACT
CITRIC ACID MONOHYDRATEInactive
Code: 2968PHW8QP
Classification: IACT
GLYCERYL MONOSTEARATEInactive
Code: 230OU9XXE4
Classification: IACT
MINERAL OILInactive
Code: T5L8T28FGP
Classification: IACT
LANOLIN ALCOHOLSInactive
Code: 884C3FA9HE
Classification: IACT
ISOPROPYL MYRISTATEInactive
Code: 0RE8K4LNJS
Classification: IACT
CETYL ALCOHOLInactive
Code: 936JST6JCN
Classification: IACT
POLYSORBATE 60Inactive
Code: CAL22UVI4M
Classification: IACT
SORBITAN MONOSTEARATEInactive
Code: NVZ4I0H58X
Classification: IACT
PALM OILInactive
Code: 5QUO05548Z
Classification: IACT
SOYBEAN OILInactive
Code: 241ATL177A
Classification: IACT
PEG-100 STEARATEInactive
Code: YD01N1999R
Classification: IACT
POLYOXYL 40 STEARATEInactive
Code: 13A4J4NH9I
Classification: IACT
BUTYLATED HYDROXYTOLUENEInactive
Code: 1P9D0Z171K
Classification: IACT
PROPYLENE GLYCOLInactive
Code: 6DC9Q167V3
Classification: IACT
SODIUM PHOSPHATE, MONOBASIC, UNSPECIFIED FORMInactive
Code: 3980JIH2SW
Classification: IACT
DIFLORASONE DIACETATEActive
Quantity: 0.5 mg in 1 g
Code: 7W2J09SCWX
Classification: ACTIB

Drug Labeling Information

PACKAGE LABEL.PRINCIPAL DISPLAY PANEL

LOINC: 51945-4Updated: 8/31/2015

PRINCIPAL DISPLAY PANEL - 30 g Tube Carton

NDC 51672-1296-2

30 g

Diflorasone Diacetate
** Cream USP, 0.05%**

FOR EXTERNAL USE ONLY.
NOT FOR OPHTHALMIC USE.

Rx only

Keep this and all medications out of the reach of children.

PRINCIPAL DISPLAY PANEL - 30 g Tube Carton

SUN label

ADVERSE REACTIONS SECTION

LOINC: 34084-4Updated: 8/31/2015

ADVERSE REACTIONS

The following local adverse reactions have been reported infrequently with other topical corticosteroids, and they may occur more frequently with the use of occlusive dressings, especially with higher potency corticosteroids. These reactions are listed in an approximate decreasing order of occurrence: burning, itching, irritation, dryness, folliculitis, acneiform eruptions, hypopigmentation, perioral dermatitis, allergic contact dermatitis, secondary infections, skin atrophy, striae, and miliaria.

To report SUSPECTED ADVERSE REACTIONS, contact Sun Pharmaceutical Industries, Inc. at 1-866-923-4914 or FDA at 1-800-FDA-1088 or www.fda.gov/medwatch.

SPL UNCLASSIFIED SECTION

LOINC: 42229-5Updated: 8/31/2015

Mfd. by: Sun Pharma Canada Inc., Brampton, Ontario, Canada L6T 1C1

Dist. by:Sun Pharmaceutical Industries, Inc., Cranbury, NJ 08512

Revised: September 2025

5264420-0925-01 358

CLINICAL PHARMACOLOGY SECTION

LOINC: 34090-1Updated: 8/31/2015

CLINICAL PHARMACOLOGY

Like other topical corticosteroids, diflorasone diacetate has anti- inflammatory, anti-pruritic, and vasoconstrictive actions. The mechanism of the anti-inflammatory activity of the topical corticosteroids, in general, is unclear. However, corticosteroids are thought to act by the induction of phospholipase A 2inhibitory proteins collectively called lipocortins. It is postulated that these proteins control the biosynthesis of potent mediators of inflammation such as prostaglandins and leukotrienes by inhibiting the release of their common precursor, arachidonic acid. Arachidonic acid is released from membrane phospholipids by phospholipase A 2.

Pharmacokinetics

The extent of percutaneous absorption of topical corticosteroids is determined by many factors including the vehicle and the integrity of the epidermal barrier. Occlusive dressings with hydrocortisone for up to 24 hours have not been demonstrated to increase penetration; however, occlusion of hydrocortisone for 96 hours markedly enhances penetration. Topical corticosteroids can be absorbed from normal intact skin. Inflammation and/or other disease processes in the skin may increase percutaneous absorption. Studies performed with diflorasone diacetate cream indicate that it is in the high range of potency as compared with other topical corticosteroids.

PRECAUTIONS SECTION

LOINC: 42232-9Updated: 8/31/2015

PRECAUTIONS

General

Systemic absorption of topical corticosteroids can produce reversible hypothalamic-pituitary-adrenal (HPA) axis suppression with the potential for glucocorticosteroid insufficiency after withdrawal of treatment. Manifestations of Cushing's syndrome, hyperglycemia, and glucosuria can also be produced in some patients by systemic absorption of topical corticosteroids while on treatment.

Patients receiving a large dose of a higher potency topical steroid applied to a large surface area or under an occlusive dressing should be evaluated periodically for evidence of HPA axis suppression. This may be done by using the ACTH-stimulation, A.M. plasma cortisol, and urinary free-cortisol tests.

This product has a greater ability to produce adrenal suppression than does diflorasone diacetate ointment USP, 0.05%. At 30 g per day (applied as 15 g twice daily) diflorasone diacetate cream USP, 0.05% was shown to cause inhibition of the HPA axis in one of two patients following application for one week to psoriatic skin. At 15 g per day (applied as 7.5 g twice daily) diflorasone diacetate cream USP, 0.05% was shown to cause mild inhibition of the HPA axis in one of five patients following application for one week to diseased skin (psoriasis or atopic dermatitis). These effects were reversible upon discontinuation of treatment. By comparison, diflorasone diacetate ointment USP, 0.05% did not produce significant HPA axis suppression when used in divided doses at 30 g per day for one week in patients with psoriasis or atopic dermatitis.

If HPA axis suppression is noted, an attempt should be made to withdraw the drug, to reduce the frequency of application, or to substitute a less potent corticosteroid. Recovery of HPA axis function is generally prompt and complete upon discontinuation of topical corticosteroids. Infrequently, signs and symptoms of glucocorticosteroid insufficiency may occur, requiring supplemental systemic corticosteroids. For information on systemic supplementation, see prescribing information for those products.

Pediatric patients may be more susceptible to systemic toxicity from equivalent doses due to their larger skin surface to body mass ratios (see PRECAUTIONS: Pediatric Use).

If irritation develops, diflorasone diacetate cream USP should be discontinued and appropriate therapy instituted. Allergic contact dermatitis with corticosteroids is usually diagnosed by observing failure to heal rather than noting a clinical exacerbation as with most topical products not containing corticosteroids. Such an observation should be corroborated with appropriate diagnostic patch testing.

If concomitant skin infections are present or develop, an appropriate antifungal or antibacterial agent should be used. If a favorable response does not occur promptly, use of diflorasone diacetate cream USP should be discontinued until the infection has been adequately controlled.

Diflorasone diacetate cream USP, 0.05% should not be used in the treatment of rosacea or perioral dermatitis, and it should not be used on the face, groin, or axillae.

Information for Patients

Patients using topical corticosteroids should receive the following information and instructions:

  1. The medication is to be used as directed by the physician. It is for external use only. Avoid contact with the eyes.
  2. The medication should not be used for any disorder other than that for which it was prescribed.
  3. The treated skin area should not be bandaged or otherwise covered or wrapped so as to be occlusive unless directed by the physician.
  4. Patients should report to their physician any signs of local adverse reactions.

Laboratory Tests

The following tests may be helpful in evaluating patients for HPA axis suppression:

  • ACTH-stimulation test
  • A.M. plasma-cortisol test
  • Urinary free-cortisol test

Carcinogenesis, Mutagenesis, Impairment of Fertility

Long-term animal studies have not been performed to evaluate the carcinogenic potential of diflorasone diacetate.

Diflorasone diacetate was not found to be mutagenic in a micronucleus test in rats at dosages of 2400 mg/kg.

Studies in the rat following topical administration at doses up to 0.5 mg/kg revealed no effects on fertility.

Pregnancy

Teratogenic effects

Pregnancy Category C

Corticosteroids have been shown to be teratogenic in laboratory animals when administered systemically at relatively low dosage levels. Some corticosteroids have been shown to be teratogenic after dermal application to laboratory animals.

Diflorasone diacetate has been shown to be teratogenic (cleft palate) in rats when applied topically at a dose of approximately 0.001 mg/kg/day to the shaven thorax of pregnant animals. This is approximately 0.3 times the human topical dose of diflorasone diacetate cream USP, 0.05%. When pregnant rats were treated topically with approximately 0.5 mg/kg/day, uterine deaths were higher in the treated animals than in control animals.

In rabbits, cleft palate was seen when diflorasone diacetate was applied in topical doses as low as 20 mg/kg/day. In addition, fetal weight was depressed and litter sizes were smaller.

There are no adequate and well-controlled studies of the teratogenic potential of diflorasone diacetate in pregnant women. Diflorasone diacetate cream USP should be used during pregnancy only if the potential benefit justifies the potential risk to the fetus.

Nursing Mothers

Systemically administered corticosteroids appear in human milk and could suppress growth, interfere with endogenous corticosteroid production, or cause other untoward effects. It is not known whether topical administration of corticosteroids could result in sufficient systemic absorption to produce detectable quantities in human milk. Because many drugs are excreted in human milk, caution should be exercised when diflorasone diacetate cream USP is administered to a nursing woman.

Pediatric Use

Safety and effectiveness of diflorasone diacetate cream USP, 0.05% in pediatric patients have not been established. Because of a higher ratio of skin surface area to body mass, pediatric patients are at a greater risk than adults of HPA-axis suppression when they are treated with topical corticosteroids. They are, therefore, also at greater risk of glucocorticosteroid insufficiency after withdrawal of treatment and of Cushing's syndrome while on treatment. Adverse effects including striae have been reported with inappropriate use of topical corticosteroids in pediatric patients.

HPA axis suppression, Cushing's syndrome, and intracranial hypertension have been reported in pediatric patients receiving topical corticosteroids. Manifestations of adrenal suppression in pediatric patients include linear growth retardation, delayed weight gain, low plasma cortisol levels, and absence of response to ACTH stimulation. Manifestations of intracranial hypertension include bulging fontanelles, headaches, and bilateral papilledema.

DESCRIPTION SECTION

LOINC: 34089-3Updated: 8/31/2015

DESCRIPTION

Diflorasone diacetate cream USP, 0.05% contains the active compound diflorasone diacetate, a synthetic corticosteroid for topical dermatological use.

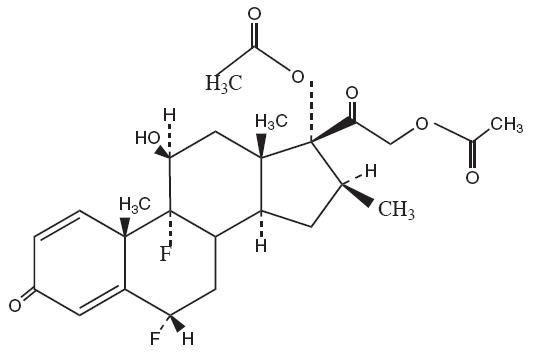
Chemically, diflorasone diacetate is 6α, 9α-difluoro-11β,17,21-trihydroxy-16-methylpregna-1,4-diene-3,20-dione 17,21 diacetate, with the empirical formula C 26H 32F 2O 7, a molecular weight of 494.5, and the following structural formula:

Chemical Structure

Each gram of diflorasone diacetate cream USP, 0.05% contains 0.5 mg diflorasone diacetate in a cream base consisting of butylated hydroxytoluene, cetyl alcohol, citric acid, glyceryl stearate/PEG 100 stearate, isopropyl myristate, lanolin alcohol, mineral oil, monobasic sodium phosphate, polyoxyl 40 stearate, polysorbate 60, propylene glycol, purified water, sorbitan monostearate and vegetable oil.

HOW SUPPLIED SECTION

LOINC: 34069-5Updated: 8/31/2015

HOW SUPPLIED

Diflorasone diacetate cream USP, 0.05% is available in 15 g (NDC 51672-1296-1), 30 g (NDC 51672-1296-2) and 60 g (NDC 51672-1296-3) tubes.

Store at 20°to 25°C (68°to 77°F)[see USP Controlled Room Temperature]. Keep tightly closed.

MedPath

Empowering clinical research with data-driven insights and AI-powered tools.

© 2025 MedPath, Inc. All rights reserved.

Diflorasone Diacetate - FDA Drug Approval Details